METABOLISM OF STARCH
B Y H A F S A A R S H A D
B B O F 1 7 M 0 0 6
Add a Footer 2
SUBMITTED TO: MAM
NAIMA AAMIR
D e p a r t m e n t o f B o t a n y
U n i v e r s i t y o f S a r g o d h a
Add a Footer 3
 Starch
 Starch is made up of
 Amylose
 Amylopectin
 Calvin cycle
 Starch biosynthesis pathway
 ADP glucose phosphorylation
 Starch synthase
CONTENTS
Add a Footer 4
 Starch branching enzyme
 Starch debranching enzyme
 Starch degradation
 From sucrose to starch
 Sucrose synthesis regulation
 Starch biosynthesis is regulated by
ADP glucose phosphorylose
CONTENTS
STARCH
 is a polymer of α-D-glucose.
 Occurs in two main forms: amylose, consisting of
predominantly linear chains of glucose monomers linked
by α1,4-glycosidic bonds, and amylopectin, in which the
chains are branched by the addition of α1,6-glycosidic
bonds.
 Fewer branches than glycogen.
 is synthesized in the chloroplast (stroma).
 Precursor is Activated ADP-glucose.
Add a Footer 5
 Starch granules are classified as transitory or reserve.
Transitory starch granules accumulate for only a short period of time before
they are degraded, e.g.
a) Starch forms in leaf chloroplasts during the day.
b) hydrolyzed and transported to other plant parts at night as simple sugar.
Reserve starch, an energy storage for germination, a major component of food
and feed, and an industrial starting material, is formed in amyloplasts.
Add a Footer 6
STARCH IS MADE IN PHOTOSYNTHETIC AND
NON-PHOTOSYNTHETIC CELLS
Photosynthetic cells
 transitory starch
storage
 green leaves
Non-photosynthetic cells:
 long-term starch storage.
 roots, tubers, seeds .
Sucrose
Starch
 A linear polymer of α-D-glucose with α1,4-linkage .
 May have a low level of branching (~one branch per 1000 residues) with an
α1,6-linkage.
 Comprises between 11 and 37% of the starch found in plants (depending
upon the species and the site of storage)
 Much lower in molecular weight than amylopectin.
 Highly branched polymer of α-D-glucose with α1,4& α1,6
linkages .
 Consists of 10,000 - 100,000 glucose units.
 highly branched, 20 - 25 glucoses/branch
 It makes up ~65% of starch.
 Much higher molecular weight than amylose.
STARCH BIOSYNTHESIS
PATHWAY
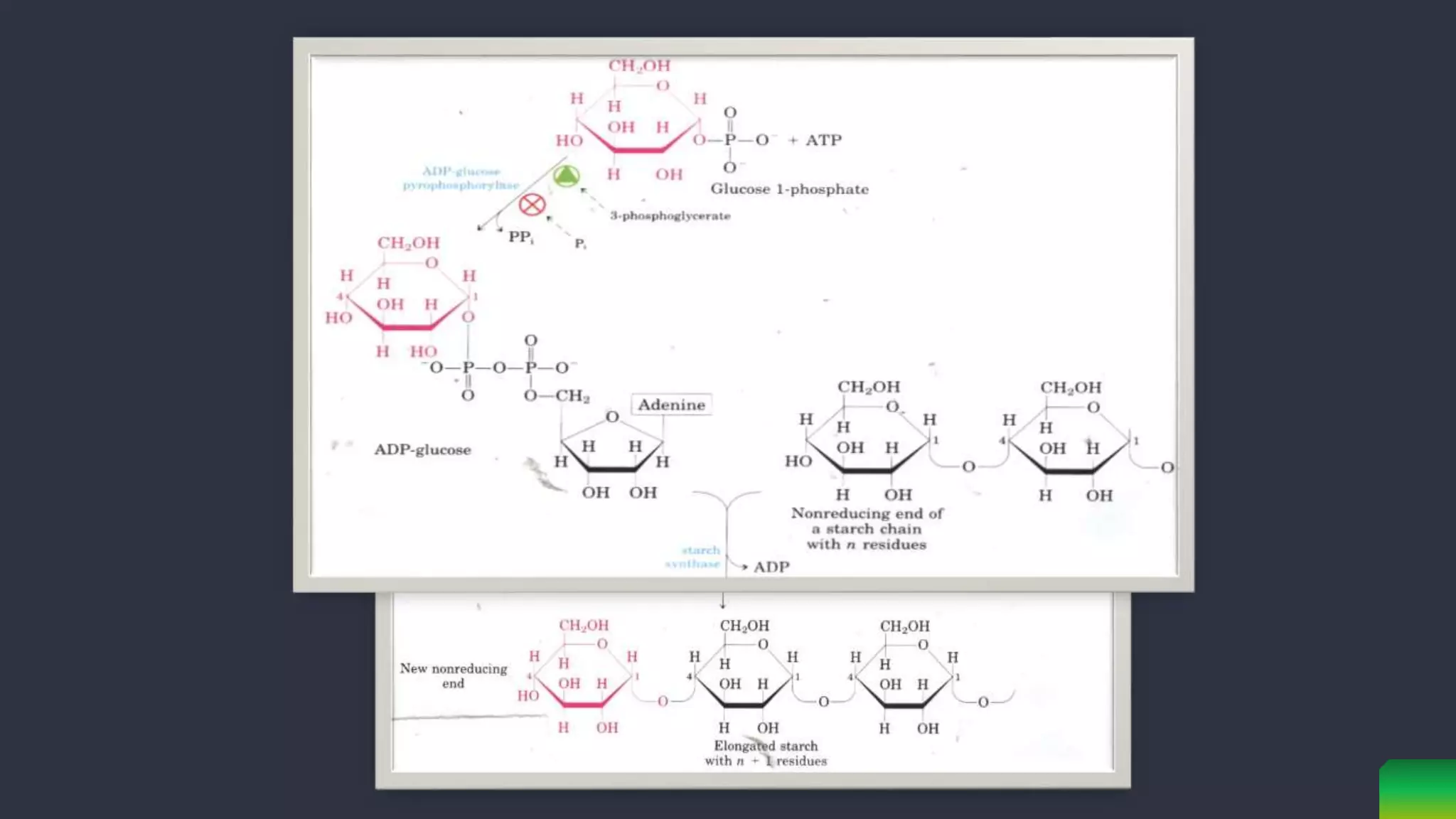
 ADP-glucose is used as the precursor.
 Starch synthase transfers the glucose unit to the nonreducing
end of a preexisting primer.
 Branches in amylopectin are synthesized using branching
enzyme.
 The synthesis of ADP-Glucose, catalyzed by ADP-glucose
pyrophosphorylase, is rate limiting.
• AGPase brings about the first committed step in the biosynthetic pathway
leading to starch production in all the plants.
• AGPase is a heterotetramer of 2 large (54-60Kd) and 2 small (51-55 Kd)
subunits.
• Both subunits required for activity. Small subunit thought to be main
catalytic activity, large subunit is regulatory.
• Generally, this enzyme is allosterically regulated by 3-phosphoglycerate
(activator) and inorganic orthophosphate (inhibitor).
Starch Synthase(SS) catalyzes a 1,4- linkage between
nonreducing end of glucan chain & Glc from ADP-Glc.
SS can use both amylose and amylopectin as acceptors.
Priming event not known: some evidence for protein primer,
some evidence for de novo synthesis.
ADP-Glc acts as the glucosyl donor for different classes of
starch synthases (SS), which elongate the a-1,4-linked glucan
chains of the two insoluble starch polymers amylose and
amylopectin of which the granule is composed.
Five distinct SS classes are known in plants: granule-bound
SS, which is responsible for the synthesis of amylose; and
soluble SS I to IV, responsible for amylopectin synthesis.
Both granule bound SS (GBSSI) and soluble SS are found in
amyloplasts.
Intriguingly, SS III and SS IV have recently been implicated to
be responsible for starch granule initiation.
 Starch Synthase catalyzes α 1,4- linkage between nonreducing end
of glucan chain & Glc from ADP-Glc.
 Soluble starch synthase (SSS) responsible for amylopectin
synthesis.
 Granule-bond starch synthase (GBSS) responsible for amylose
synthesis.
SBE hydrolyzes α1,4-linkage in glucan chain in stable double helical
conformation & catalyzes formation of α1,6- linkage between reducing
end of “cut” chain and Glc in another chain.
Two classes of BE (BEI and BEII) that differ in terms of the lengths of
chains transferred in vitro, with BEII transferring shorter chains than BEI.
 In cereals, there are two closely related forms of BEII (BEIIa and BEIIb).
These also differ in chain-length specificity in vitro, with BEIIb
transferring shorter chains than BEIIa during extended incubation.
 Interestingly, starch synthesis also involves two types of debranching enzymes
(isoamylase; glycogen 6- glucanohydrolase), which cleave branch points and are
probably involved in tailoring the branched glucans into a form capable of
crystallization within the granule
STARCH DEGRADATION
 The starch granule is attacked by the endoamylase
α‐amylase, which releases soluble linear and branched
glucans.
 These are acted on by the debranching
enzyme limit dextrinase and the
exoamylase β‐amylase to produce maltose.
 Maltose is then hydrolyzed to glucose
by an α‐glucosidase (maltase).
SUCROSE SYNTHESIS
REGULATION
Fructose 2,6-bisphosphate
as regulator of
sucrose synthesis.
In dark: ↑ Pi, ↑ F2,6BP, ↑ F1,6BP →
glycolysis
In light: ↑ triose phosphates, ↓ F2,6BP, ↑
F6P → sucrose biosynthesis
Regulation of sucrose phosphate synthase by
phosphorylation
STARCH BIOSYNTHESIS IS REGULATED
BY ADP-GLUCOSE
PYROPHOSPHORYLASE
THANK YOU
Add a Footer 26
Thank you

Metabolism of starch synthesis

  • 1.
    METABOLISM OF STARCH BY H A F S A A R S H A D B B O F 1 7 M 0 0 6
  • 2.
    Add a Footer2 SUBMITTED TO: MAM NAIMA AAMIR D e p a r t m e n t o f B o t a n y U n i v e r s i t y o f S a r g o d h a
  • 3.
    Add a Footer3  Starch  Starch is made up of  Amylose  Amylopectin  Calvin cycle  Starch biosynthesis pathway  ADP glucose phosphorylation  Starch synthase CONTENTS
  • 4.
    Add a Footer4  Starch branching enzyme  Starch debranching enzyme  Starch degradation  From sucrose to starch  Sucrose synthesis regulation  Starch biosynthesis is regulated by ADP glucose phosphorylose CONTENTS
  • 5.
    STARCH  is apolymer of α-D-glucose.  Occurs in two main forms: amylose, consisting of predominantly linear chains of glucose monomers linked by α1,4-glycosidic bonds, and amylopectin, in which the chains are branched by the addition of α1,6-glycosidic bonds.  Fewer branches than glycogen.  is synthesized in the chloroplast (stroma).  Precursor is Activated ADP-glucose. Add a Footer 5
  • 6.
     Starch granulesare classified as transitory or reserve. Transitory starch granules accumulate for only a short period of time before they are degraded, e.g. a) Starch forms in leaf chloroplasts during the day. b) hydrolyzed and transported to other plant parts at night as simple sugar. Reserve starch, an energy storage for germination, a major component of food and feed, and an industrial starting material, is formed in amyloplasts. Add a Footer 6
  • 7.
    STARCH IS MADEIN PHOTOSYNTHETIC AND NON-PHOTOSYNTHETIC CELLS Photosynthetic cells  transitory starch storage  green leaves Non-photosynthetic cells:  long-term starch storage.  roots, tubers, seeds . Sucrose Starch
  • 8.
     A linearpolymer of α-D-glucose with α1,4-linkage .  May have a low level of branching (~one branch per 1000 residues) with an α1,6-linkage.  Comprises between 11 and 37% of the starch found in plants (depending upon the species and the site of storage)  Much lower in molecular weight than amylopectin.
  • 9.
     Highly branchedpolymer of α-D-glucose with α1,4& α1,6 linkages .  Consists of 10,000 - 100,000 glucose units.  highly branched, 20 - 25 glucoses/branch  It makes up ~65% of starch.  Much higher molecular weight than amylose.
  • 11.
    STARCH BIOSYNTHESIS PATHWAY  ADP-glucoseis used as the precursor.  Starch synthase transfers the glucose unit to the nonreducing end of a preexisting primer.  Branches in amylopectin are synthesized using branching enzyme.  The synthesis of ADP-Glucose, catalyzed by ADP-glucose pyrophosphorylase, is rate limiting.
  • 14.
    • AGPase bringsabout the first committed step in the biosynthetic pathway leading to starch production in all the plants. • AGPase is a heterotetramer of 2 large (54-60Kd) and 2 small (51-55 Kd) subunits. • Both subunits required for activity. Small subunit thought to be main catalytic activity, large subunit is regulatory. • Generally, this enzyme is allosterically regulated by 3-phosphoglycerate (activator) and inorganic orthophosphate (inhibitor).
  • 15.
    Starch Synthase(SS) catalyzesa 1,4- linkage between nonreducing end of glucan chain & Glc from ADP-Glc. SS can use both amylose and amylopectin as acceptors. Priming event not known: some evidence for protein primer, some evidence for de novo synthesis.
  • 16.
    ADP-Glc acts asthe glucosyl donor for different classes of starch synthases (SS), which elongate the a-1,4-linked glucan chains of the two insoluble starch polymers amylose and amylopectin of which the granule is composed. Five distinct SS classes are known in plants: granule-bound SS, which is responsible for the synthesis of amylose; and soluble SS I to IV, responsible for amylopectin synthesis. Both granule bound SS (GBSSI) and soluble SS are found in amyloplasts. Intriguingly, SS III and SS IV have recently been implicated to be responsible for starch granule initiation.
  • 17.
     Starch Synthasecatalyzes α 1,4- linkage between nonreducing end of glucan chain & Glc from ADP-Glc.  Soluble starch synthase (SSS) responsible for amylopectin synthesis.  Granule-bond starch synthase (GBSS) responsible for amylose synthesis.
  • 18.
    SBE hydrolyzes α1,4-linkagein glucan chain in stable double helical conformation & catalyzes formation of α1,6- linkage between reducing end of “cut” chain and Glc in another chain. Two classes of BE (BEI and BEII) that differ in terms of the lengths of chains transferred in vitro, with BEII transferring shorter chains than BEI.  In cereals, there are two closely related forms of BEII (BEIIa and BEIIb). These also differ in chain-length specificity in vitro, with BEIIb transferring shorter chains than BEIIa during extended incubation.
  • 20.
     Interestingly, starchsynthesis also involves two types of debranching enzymes (isoamylase; glycogen 6- glucanohydrolase), which cleave branch points and are probably involved in tailoring the branched glucans into a form capable of crystallization within the granule
  • 21.
    STARCH DEGRADATION  Thestarch granule is attacked by the endoamylase α‐amylase, which releases soluble linear and branched glucans.  These are acted on by the debranching enzyme limit dextrinase and the exoamylase β‐amylase to produce maltose.  Maltose is then hydrolyzed to glucose by an α‐glucosidase (maltase).
  • 23.
    SUCROSE SYNTHESIS REGULATION Fructose 2,6-bisphosphate asregulator of sucrose synthesis. In dark: ↑ Pi, ↑ F2,6BP, ↑ F1,6BP → glycolysis In light: ↑ triose phosphates, ↓ F2,6BP, ↑ F6P → sucrose biosynthesis
  • 24.
    Regulation of sucrosephosphate synthase by phosphorylation
  • 25.
    STARCH BIOSYNTHESIS ISREGULATED BY ADP-GLUCOSE PYROPHOSPHORYLASE
  • 26.
    THANK YOU Add aFooter 26 Thank you

Editor's Notes

  • #24 The concentration of the allosteric regulator fructose 2,6-bisphosphate in plant cells is regulated by the products of photosynthetic carbon assimilation and by Pi. Dihydroxyacetone phosphate and 3-phosphoglycerate produced by CO2 assimilation inhibit phosphofructokinase-2 (PFK-2), the enzyme that synthesizes the regulator; Pi stimulates PFK-2. The concentration of the regulator is therefore inversely proportional to the rate of photosynthesis. In the dark, the concentration of fructose 2,6-bisphosphate increases and stimulates the glycolytic enzyme PPi-dependent phosphofructokinase-1 (PP-PFK-1), while inhibiting the gluconeogenic enzyme fructose 1,6-bisphosphatase (FBPase-1). When photosynthesis is active (in the light), the concentration of the regulator drops and the synthesis of fructose 6-phosphate and sucrose is favored.
  • #25 A protein kinase (SPS kinase) specific for sucrose phosphate synthase (SPS) phosphorylates a Ser residue in SPS, inactivating it; a specific phosphatase (SPS phosphatase) reverses this inhibition. The kinase is inhibited allosterically by glucose 6-phosphate, which also activates SPS allosterically. The phosphatase is inhibited by Pi, which also inhibits SPS directly. Thus when the concentration of glucose 6-phosphate is high as a result of active photosynthesis, SPS is activated and produces sucrose phosphate. A high Pi concentration, which occurs when photosynthetic conversion of ADP to ATP is slow, inhibits sucrose phosphate synthesis.
  • #26 This enzyme, which produces the precursor for starch synthesis, is rate-limiting in starch production. The enzyme is stimulated allosterically by 3-phosphoglycerate (3-PGA) and inhibited by Pi; in effect, the ratio [3-PGA]/[Pi], which rises with increasing rates of photosynthesis, controls starch synthesis at this step.