Paul Bradshaw Senior Lecturer, Online Journalism, Magazines and New Media, School of Media, Birmingham City University, UK (mediacourses.com) Blogger,  Online Journalism Blog Journalism blogging
Neil McIntosh,  Head of Editorial Development, The Guardian “ If you enter the jobs market without [a blog], no matter how good your degree, you’re increasingly likely to lose out to people who better present all they can do, and have the experience of creating and curating their own site.” … also see the 37 comments at  http://bit.ly/U3wgJ
Are blogs mainstream? 85% UK news orgs have blogs 70% US newspapers (95% of top 100) 44% European news orgs (stats from Jan 2008)
How it happened
 
1998: Drudge Report
2001: September 11
2002:  Trent Lott
2003: Salam Pax
2003:  Christopher Allbritton
 
2004: Memogate
2004:  Asian tsunami
2005: London bombings
2007: Talking Points Memo
 
2007: Dave Winer wins a bet
2007: Myanmar protests
2008: Chinese earthquake
Is blogging a genre?
Is this blogging?
Is this blogging?
Is this blogging?
Is this blogging?
Is this blogging?
Is this blogging?
1.  Conversational, social, networked?
2.  Incomplete, open,  ongoing?
3.  Personal, informal, reflective?
“ Pre-surfed web”
Expert analysis
Synthesis
Opinion
Anything you want it to be.
It’s just a platform really.
Why blog?
3 reasons
Editorial Leads,  speed,  space
2. Commercial SEO, distribution, accountability
3. Professional Networking Pulling power Development
how  to blog
Regularly?
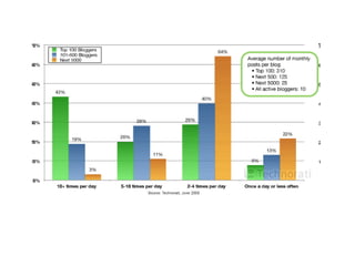
“ The majority of the  Top 100   blogs tracked by Technorati post five or more times per day, and a full 43 percent post more than 10 times per day. Meanwhile, 64 percent of the 5,000 blogs ranked lower than 600 post two to four times a day, which is still a serious commitment.” ( source )
 
“ Daily posts are a legacy of a Web 1.0 mindset and early Web 2.0 days” ( Eric  Kintz )
6 of Kintz’s 10 reasons why frequency doesn’t matter Traffic is generated by participating in the community  Traffic is irrelevant to your blog’s success anyway  Frequent posting is actually starting to have a negative impact on loyalty  Frequent posting drives poor content quality  Frequent posting threatens the credibility of the blogosphere  Frequent posting will push corporate bloggers into the hands of PR agencies
Link
Comment
Transparency
Tags
Community (blogosphere)
White = blog; green = 1 way link; blue = reciprocal Daily Kos BoingBoing LiveJournal Michelle Malkin Porn Sports fans
A hook.
3 broad types?
1.  ‘Behind the scenes’ reflections
2.  The niche news service
3.  The running story
But don’t be afraid to mix it up.
13 ideas for blog posts ( http:// bit.ly/KqqcU )   Interview someone Respond to something elsewhere  Blog an event Reflect on something Do something visual (photos, video, slideshow with commentary) Make a list Write a how-to Let someone else post Ask a question Suggest an idea Pick a fight (in a nice way) Write a glossary or A-Z guide Find, analyse & explain data
Do something now (2 mins) Think of an idea for a blog. Is it going to be about… Your life as a journalist – leads, ideas, what didn’t make it into publication, mistakes, issues, community? Your specialist area – what’s going on, backgrounders, rumours, community? A challenge, a goal, a format – interview 100 major figures; reviews; go eco; swap lifestyles, etc?
Do something now Write your post: ‘5 things I’m going to try on the blog this month’ Link to your sources whenever you mention something from them Link to your social bookmarking (Delicious) account! Tweak and edit – structure, grammar, spelling, links. Work the intro and the ending (chopping first par sometimes works).
Explore, network, socialise Create a blogroll of related sites  Post some comments on other blogs where you can contribute something (useful links, tips, questions, encouragement) Sign up with Technorati Explore and play with your Wordpress dashboard (e.g. Presentation > Widgets)
Do more Rohit Bhargava’s 25 basic styles of blogging Technorati – State of the Blogosphere 2008 Dan Gillmor – We The Media  See bookmarks at  delicious.com/paulb/blogging
Twitter.com/paulbradshaw

Journalism Blogging