[1] SemIV Unit I (PA Nagpure)
INTERFERENCE OF LIGHT
Light Waves:
A light wave is an electromagnetic progressive wave consisting of electric wave and
magnetic wave (periodically varying electric field E and magnetic field H) oscillating at right
angles to each other and also to the direction of propagation of the wave figure.
The electric wave and magnetic wave are of equal importance, even though electric wave is
often represented as light wave.
The light wave (electric wave) shown in figure is mathematically represented by the
expression:
sin( )oE E kx t 
Features of the light wave:
1. The wave has a single definite frequency. In optics, waves having single frequency
and wavelength are called monochromatic waves.
2. It is harmonic progressive wave.
3. The amplitude of the wave Eo stays constant as the wave propagates through air.
Hence it is plane wave and its wave front is normal to x-axis.
4. The electric vector E of the wave oscillates always parallel to fixed direction in space,
i.e. y-direction.
5. A light travels slower in an optical medium than in air or vacuum. It travels with
velocity v, which is less than c.
6. The wavelength of light wave decreases in medium, while its frequency remains
constant.
7. Optical path length: optical path length indicates the number of light waves fit in to
that path. Optical path length is related to geometric path length and the relation may
found as follows.
The distance travelled by light in a medium of refractive index µ in time t is given by
𝐿 = 𝑣 𝑡
[2] SemIV Unit I (PA Nagpure)
Where, v is the velocity of the light in the medium. The distance travelled by the light
in vacuum in the same time t is
𝛥 = 𝑐 𝑡 = 𝑐
𝐿
𝑣
= 𝜇 𝐿
The distance L is called the geometric path length, 𝛥 is equivalent distance in a
vacuum and is called optical path length.
8. The waves travelling from rarer to denser medium and reflected from denser medium
undergo additional phase change of π radians or travels additional path λ/2.
9. If two or more light waves maintain constant phase difference over a long distance
and time, then they are said to be coherent. Sources which produce coherent waves,
are called coherent sources.
10. The light waves follow the principle of superposition of waves.
Superposition of Waves:
According to principle of superposition of waves:
“When two or more waves arrive at point in the medium simultaneously then each wave
produces its own displacement independently and resultant displacement is the sum of the
displacements due to each wave”.
The principle of superposition of waves can apply to electromagnetic waves also. In case of
the electromagnetic waves, the term displacement refers to the amplitude of the electric field
vector.
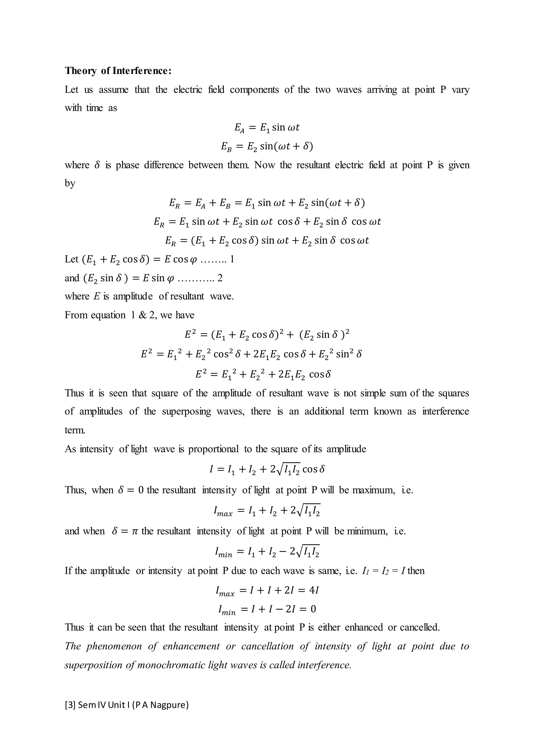
Interference:
If two or more light waves of the same frequency overlap at a point, the resultant effect
depends on the phases of the waves as well as their amplitudes. The resultant wave at any
point at any instant of time is given by the principle of superposition. i.e. the amplitude of the
resultant wave is the vector sum of the amplitudes of each wave.
Figure: Amplitude of resultant wave at point P
[3] SemIV Unit I (PA Nagpure)
Theory of Interference:
Let us assume that the electric field components of the two waves arriving at point P vary
with time as
𝐸𝐴 = 𝐸1 sin 𝜔𝑡
𝐸 𝐵 = 𝐸2 sin(𝜔𝑡 + 𝛿)
where 𝛿 is phase difference between them. Now the resultant electric field at point P is given
by
𝐸 𝑅 = 𝐸𝐴 + 𝐸 𝐵 = 𝐸1 sin 𝜔𝑡 + 𝐸2 sin(𝜔𝑡 + 𝛿)
𝐸 𝑅 = 𝐸1 sin 𝜔𝑡 + 𝐸2 sin 𝜔𝑡 cos 𝛿 + 𝐸2 sin 𝛿 cos 𝜔𝑡
𝐸 𝑅 = (𝐸1 + 𝐸2 cos 𝛿) sin 𝜔𝑡 + 𝐸2 sin 𝛿 cos 𝜔𝑡
Let (𝐸1 + 𝐸2 cos 𝛿) = 𝐸 cos 𝜑 …….. 1
and (𝐸2 sin 𝛿 ) = 𝐸 sin 𝜑 ……….. 2
where E is amplitude of resultant wave.
From equation 1 & 2, we have
𝐸2
= (𝐸1 + 𝐸2 cos 𝛿)2
+ (𝐸2 sin 𝛿 )2
𝐸2
= 𝐸1
2
+ 𝐸2
2
cos2
𝛿 + 2𝐸1 𝐸2 cos 𝛿 + 𝐸2
2
sin2
𝛿
𝐸2
= 𝐸1
2
+ 𝐸2
2
+ 2𝐸1 𝐸2 cos𝛿
Thus it is seen that square of the amplitude of resultant wave is not simple sum of the squares
of amplitudes of the superposing waves, there is an additional term known as interference
term.
As intensity of light wave is proportional to the square of its amplitude
𝐼 = 𝐼1 + 𝐼2 + 2√𝐼1 𝐼2 cos 𝛿
Thus, when 𝛿 = 0 the resultant intensity of light at point P will be maximum, i.e.
𝐼 𝑚𝑎𝑥 = 𝐼1 + 𝐼2 + 2√𝐼1 𝐼2
and when 𝛿 = 𝜋 the resultant intensity of light at point P will be minimum, i.e.
𝐼 𝑚𝑖𝑛 = 𝐼1 + 𝐼2 − 2√𝐼1 𝐼2
If the amplitude or intensity at point P due to each wave is same, i.e. I1 = I2 = I then
𝐼 𝑚𝑎𝑥 = 𝐼 + 𝐼 + 2𝐼 = 4𝐼
𝐼 𝑚𝑖𝑛 = 𝐼 + 𝐼 − 2𝐼 = 0
Thus it can be seen that the resultant intensity at point P is either enhanced or cancelled.
The phenomenon of enhancement or cancellation of intensity of light at point due to
superposition of monochromatic light waves is called interference.
[4] SemIV Unit I (PA Nagpure)
If the waves are in phase reaching at a point then there will be enhancement of resultant
intensity of light, known as constructive interference.
If the waves are 1800 out of phase reaching at a point then there will be cancellation of
resultant intensity of light, known as destructive interference.
If the path difference between light waves from the source to a point is 0, λ, 2λ…. nλ.. then
these waves are in phase at that point, i.e. produces constructive interference.
If the path difference between light waves from the source to a point is λ/2, 3λ/2, 5λ/2 …
(2n+1)λ/2..then these wave are 1800 out of phase at that point, i.e. produces destructive
interference.
Thin Film:
An optical medium is called a thin film when its thickness is about the order of wavelength of
light in visible region. Thus, a film of thickness in the range 0.5 µm to 10 µm may be
considered as thin film. A thin film may be a thin sheet of transparent material such as glass,
mica, an air film enclosed between two transparent plates or a soap bubble.
Interference Due to Reflected Light from Thin Film:
Let us consider transparent film of uniform thickness t. Let the refractive index of the
medium of the film be µ. The film is surrounded by air on both sides. Let a plane waves from
a monochromatic source incident on the film at an angle of incidence i along AB. The waves
at B partly reflect along BC and partly refract along BD. The refracted waves reflect back
into the film along DE and transmit into air along EF. Since the film boundaries are parallel,
the waves along BC and EF will be parallel to each other. The waves travelling along the
paths BC and BDEF are coherent and can produce interference if they are made to overlap by
a condensing lens or the eye.
Geometrical Path Difference: From figure the geometrical path difference
 BD DE BHG   
[5] SemIV Unit I (PA Nagpure)
Optical Path Difference: Since the path (BD+DE) is through the medium of refractive index
µ and path BH through air.
 BD DE 1(BH)O     ……. (1)
To calculate path length (BD+DE), consider  BDG
cos
BD
t
r  where: r is angle of refraction
BD
cos
t
r
 
As BD = DE,
2
(BD+DE)
cos
t
r
  …… (2)
In  BEH,
BH
sin
BE
i 
BH BEsini  …….. (3)
In  BDG,
BG
tan
BG tan
r
t
t r

 
But BE = BG + GE and BG = GE
sin
BE 2 tan 2
cos
r
t r t
r
   ……. (4)
Using in equation (4) in equation (3), we have
BH 2 tan sint r i  …….. (5)
According to Snell’s law,
sin
sin
sin sin
i
r
i r



 
Using in equation (5), we have
sin
BH 2 sin
cos
r
t r
r

2
sin
BH 2
cos
r
t
r
  ……. (6)
Using equation (2) and (6) in equation (1), we have
[6] SemIV Unit I (PA Nagpure)
2
2
2
2 2 sin
cos cos
2
(1 sin )
cos
2
cos
cos
2 cos
O
O
O
O
t t r
r r
t
r
r
t
r
r
t r
 



  
  
 
 
Correction on Account of Phase Change at Reflection:
When ray is reflected from denser medium, a path change of λ/2 occurs for the ray BC.
Therefore corrected path difference is given by,
2 cos
2
t r

   ……..(7)
Conditions for Constructive (Brightness) and Destructive (Darkness) Interference :
The constructive interference occurs when path difference n  . Thus condition for
constructive interference is given by
2 cos
2
2 cos (2 1)
2
t r n
t r n

 


 
  
The destructive interference occurs when path difference (2 1)
2
n

   . Thus condition for
destructive interference is given by
2 cos (2 1)
2 2
2 cos
t r n
t r n
 

 
  
 
Interference Due to Transmitted Light through Thin Film:
Let us consider transparent film of uniform thickness t. Let the refractive index of the
medium of the film be µ. The film is surrounded by air on both sides. Let a plane waves from
a monochromatic source incident on the film at an angle of incidence i along AB. The waves
at B refract along BC. The refracted waves at C partly reflect along CD and transmit into air
along CH. Since the film boundaries are parallel, the waves along BC and EF will be parallel
to each other. The waves at D reflect back in to film along DE and transmit into air along EF.
The transmitted waves travelling along the paths CH and CDEF are coherent and can produce
interference if they are made to overlap by a condensing lens or the eye.
[7] SemIV Unit I (PA Nagpure)
Geometrical Path Difference: From figure the geometrical path difference
 CD DE EHG   
Optical Path Difference: Since the path (CD+DE) is through the medium of refractive index
µ and path EH through air.
 CD DE 1(EH)O     ……. (1)
To calculate path length (CD+DE), consider  CDM
cos
CD
t
r  where: r is angle of refraction
CD
cos
t
r
 
As CD = DE,
2
(CD+DE)
cos
t
r
  …… (2)
In  CEH,
CH
sin
CE
i 
CH CEsini  …….. (3)
In  CDM,
CM
tan
CM tan
r
t
t r

 
But CE = CM + ME and CM = ME
sin
CE 2 tan 2
cos
r
t r t
r
   ……. (4)
Using in equation (4) in equation (3), we have
[8] SemIV Unit I (PA Nagpure)
CH 2 tan sint r i  …….. (5)
According to Snell’s law,
sin
sin
sin sin
i
r
i r



 
Using in equation (5), we have
sin
CH 2 sin
cos
r
t r
r

2
sin
CH 2
cos
r
t
r
  ……. (6)
Using equation (2) and (6) in equation (1), we have
2
2
2
2 2 sin
cos cos
2
(1 sin )
cos
2
cos
cos
2 cos
O
O
O
O
t t r
r r
t
r
r
t
r
r
t r
 



  
  
 
 
Conditions for Constructive (Brightness) and Destructive (Darkness) Interference :
The constructive interference occurs when path difference n  . Thus condition for
constructive interference is given by
2 cost r n 
The destructive interference occurs when path difference (2 1)
2
n

   . Thus condition for
destructive interference is given by
2 cos (2 1)
2
t r n

  
Variable Thickness (Wedge-Shaped) film:
A thin film having zero thickness at one end and progressively increasing at the other end is
called wedge shaped film.
A thin wedge of air film can be formed by two glass slides resting on each other at one end
and separated by a thin spacer at opposite end. When it is illuminated by parallel beam of
[9] SemIV Unit I (PA Nagpure)
monochromatic light from above, the straight, parallel and equidistant interference fringes
can be seen if it is observed normally through a microscope.
Consider wedged shaped air film, as shown in figure. A parallel beam of monochromatic
light incident on the wedge along AB, at B it is partly reflected along BC and partly refracted
into the film along BD. At D it is reflected back into the film along DE and transmitted into
air along EF. The waves along BC and EF interfere if they are made to overlap by a
condensing lens or the eye.
The optical path difference between the two rays is given by
2 cos
2
t r

  
Constructive interference (bright fringe) occurs when Δ = nλ and destructive interference
(dark fringe) occurs when Δ = (2n-1) λ/2.
Since the thickness of the film is progressively increasing alternate dark and bright
interference fringe pattern is formed.
[10] SemIV UnitI (P A Nagpure)
Expression for Fringe Width:
We have the condition for getting dark interference fringe from the reflected light from
wedge shaped film
2µt cos r = nλ
For air film µ=1 and for normal incidence cos r=1.
2t = nλ
Let nth dark fringe is produced at point A shown in figure. If the thickness of the film at A is
t1
∴ 2𝑡1 = 𝑛𝜆 …………….(1)
Let (n+1)th dark fringe is produced at point B shown in figure. If the thickness of the film at B
is t2
∴ 2𝑡2 = (𝑛 + 1)𝜆 ……………..(2)
From equation (1) and (2)
2𝑡2 − 2𝑡1 = ( 𝑛 + 1) 𝜆 − 𝑛𝜆
𝑡2 − 𝑡1 = 𝜆/2 ……… (3)
In ΔCDE, tan 𝜃 =
DE
CD
From figure DE = 𝑡2 − 𝑡1 and CD = β is a fringe width (distance between successive dark fringes).
∴ tan 𝜃 =
𝜆/2
β
∴ β =
𝜆/2
tan θ
(Since 𝜃 is very small)
∴ β =
𝜆
2θ
This is the expression for fringe width for the interference fringes formed by the reflected light from
wedged shaped air film.
[11] SemIV UnitI (P A Nagpure)
Newton’s Rings:
The pattern of circular concentric alternate dark and bright interference fringes formed by
reflected light from the air film formed between convex surface of plano-convex lens and
plane glass plate are called Newtons rings.
Experimental arrangement to study Newton’s ring:
It consists of source of S monochromatic light. The light from the source rendered parallel by
lens L1. It is then allowed incident on plane glass plate G1, inclined at angle of 450. The
reflected light then incident normally on the air film formed between convex surface of
plano-convex lens L2 and plane glass plate G2 as shown in figure. The pattern of circular
concentric alternate dark and bright interference fringes can be observed, when viewed
normally using travelling microscope M.
Theory of Newton’s Rings:
The Newton’s rings are formed because of the interference between the waves reflected from
the top and bottom surfaces of the air film formed between the plates as shown in figure. The
fringes are circular because the air film has circular symmetry about the point of contact (i.e.
at the equidistant points about the point of contact, the air film has same thickness). The locus
of such points will form a dark or bright circular fringe.
[12] SemIV UnitI (P A Nagpure)
Now let us calculate the diameters of these fringes. Let LOL’ be the lens placed on the glass
plate AB. Let the curved surface LOL’ is part of the spherical surface of radius R with the
centre at C. Let rn be the radius of nth Newton’s ring corresponding to constant film thickness
t (at points P and Q in figure).
From figure in ∆NPC, according to Pythagoras theorem
2 2 2
( ) ( ) ( )CP NP CN 
2 2 2
( )nR r R t  
2 2 2 2
2nR r R Rt t    2
t is neglected
2
2nr Rt 
If Dn is the diameter of the nth
ring, therefore
2
8nD Rt
2
8
nD
t
R
  …………. (1)
For bright ring, we have
[13] SemIV UnitI (P A Nagpure)
2 cos
2
n t r

  
For normal incidence of light r = 0 and for air film µ =1, therefore
2
2
n t

  
(2 1)
4
t n

  …………. (2)
Comparing eq (1) & (2)
2
(2 1)
8 4
nD
n
R

  
2
(2 1)2nD n R  
(2 1) 2nD n R  
Thus diameters of the bright rings are proportional to the square root of odd numbers.
Similarly for dark rings, we get
2nD n R 
Thus diameters of the dark rings are proportional to the square root of natural numbers.
At the centre, (point of contact of convex surface and plane glass plate) the thickness of the
air film t = 0. Hence at centre the condition of destructive interference (dark ring) is satisfied,
therefore centre of the Newton’s rings obtained by reflected light is dark.
Since respective conditions for destructive and constructive interference due to transmitted
light are exactly reverse to that for reflected light from the thin film, the centre of the
Newton’s rings obtained from transmitted light is bright.
Determination of wavelength of mono-chromatic light using Newton’s ring:
Experimental arrangement consists of source S of monochromatic light of wavelength λ (to
be determined). The light from the source rendered parallel by lens L1. It is then allowed
incident on plane glass plate G1, inclined at angle of 450. The reflected light then incident
normally on the air film formed between convex surface of plano-convex lens L2 and plane
glass plate G2 as shown in figure. The pattern of circular concentric alternate dark and bright
interference fringes can be observed, when viewed normally using travelling microscope M.
Bring the centre of the cross wire at the centre of the dark spot, which is at the centre of the
circular rings. Rotate the screw of travelling microscope so that it slowly moves towards one
side (right). As the cross wire move in the field of view, count the dark rings. Stop the
movement when 15th dark ring is reached. Now move the microscope in opposite direction
[14] SemIV UnitI (P A Nagpure)
and bring the cross wire tangent to the 13th , 11th , 9th ……1st dark rings and note the
corresponding readings on the graduated scale attached to the travelling microscope. Now
travelling microscope quickly move on other side (left) of the centre and bring the cross wire
tangent to the 1st , 3rd , 5th ……..13th dark rings and note the corresponding readings. Tabulate
the readings in the following table.
Number of
the ring (n)
Reading on the scale of T.M. Diameter of
the ring
Dn = X – Y
(Dn)2
Right (X) Left (Y)
13
11
9
7
5
3
1
Plot the graph of (Dn)2 against n. A straight line would be obtained as shown in figure. We
have for diameter of nth dark ring
𝐷 𝑛
2
= 4𝑛𝜆𝑅
For diameter of (n+p)th dark ring
𝐷 𝑛+𝑝
2
= 4(𝑛 + 𝑝)𝜆𝑅
∴ 𝐷 𝑛+𝑝
2
− 𝐷 𝑛
2
= 4𝑝𝜆𝑅
∴
𝐷 𝑛+𝑝
2
− 𝐷 𝑛
2
𝑝
= 4𝜆𝑅
The left hand side is slope of the straight line, it gives the value 4𝜆𝑅.
∴ 𝜆 =
𝐷 𝑛+𝑝
2
− 𝐷 𝑛
2
4𝑝𝑅
=
𝑆𝑙𝑜𝑝𝑒
4𝑅
Thus wavelength of monochromatic light can be determined using above equation if R is
known.
[15] SemIV UnitI (P A Nagpure)
Determination of Refractive Index of liquid using Newton’s rings experiment:

Interference of light B.Sc. Sem IV

  • 1.
    [1] SemIV UnitI (PA Nagpure) INTERFERENCE OF LIGHT Light Waves: A light wave is an electromagnetic progressive wave consisting of electric wave and magnetic wave (periodically varying electric field E and magnetic field H) oscillating at right angles to each other and also to the direction of propagation of the wave figure. The electric wave and magnetic wave are of equal importance, even though electric wave is often represented as light wave. The light wave (electric wave) shown in figure is mathematically represented by the expression: sin( )oE E kx t  Features of the light wave: 1. The wave has a single definite frequency. In optics, waves having single frequency and wavelength are called monochromatic waves. 2. It is harmonic progressive wave. 3. The amplitude of the wave Eo stays constant as the wave propagates through air. Hence it is plane wave and its wave front is normal to x-axis. 4. The electric vector E of the wave oscillates always parallel to fixed direction in space, i.e. y-direction. 5. A light travels slower in an optical medium than in air or vacuum. It travels with velocity v, which is less than c. 6. The wavelength of light wave decreases in medium, while its frequency remains constant. 7. Optical path length: optical path length indicates the number of light waves fit in to that path. Optical path length is related to geometric path length and the relation may found as follows. The distance travelled by light in a medium of refractive index µ in time t is given by 𝐿 = 𝑣 𝑡
  • 2.
    [2] SemIV UnitI (PA Nagpure) Where, v is the velocity of the light in the medium. The distance travelled by the light in vacuum in the same time t is 𝛥 = 𝑐 𝑡 = 𝑐 𝐿 𝑣 = 𝜇 𝐿 The distance L is called the geometric path length, 𝛥 is equivalent distance in a vacuum and is called optical path length. 8. The waves travelling from rarer to denser medium and reflected from denser medium undergo additional phase change of π radians or travels additional path λ/2. 9. If two or more light waves maintain constant phase difference over a long distance and time, then they are said to be coherent. Sources which produce coherent waves, are called coherent sources. 10. The light waves follow the principle of superposition of waves. Superposition of Waves: According to principle of superposition of waves: “When two or more waves arrive at point in the medium simultaneously then each wave produces its own displacement independently and resultant displacement is the sum of the displacements due to each wave”. The principle of superposition of waves can apply to electromagnetic waves also. In case of the electromagnetic waves, the term displacement refers to the amplitude of the electric field vector. Interference: If two or more light waves of the same frequency overlap at a point, the resultant effect depends on the phases of the waves as well as their amplitudes. The resultant wave at any point at any instant of time is given by the principle of superposition. i.e. the amplitude of the resultant wave is the vector sum of the amplitudes of each wave. Figure: Amplitude of resultant wave at point P
  • 3.
    [3] SemIV UnitI (PA Nagpure) Theory of Interference: Let us assume that the electric field components of the two waves arriving at point P vary with time as 𝐸𝐴 = 𝐸1 sin 𝜔𝑡 𝐸 𝐵 = 𝐸2 sin(𝜔𝑡 + 𝛿) where 𝛿 is phase difference between them. Now the resultant electric field at point P is given by 𝐸 𝑅 = 𝐸𝐴 + 𝐸 𝐵 = 𝐸1 sin 𝜔𝑡 + 𝐸2 sin(𝜔𝑡 + 𝛿) 𝐸 𝑅 = 𝐸1 sin 𝜔𝑡 + 𝐸2 sin 𝜔𝑡 cos 𝛿 + 𝐸2 sin 𝛿 cos 𝜔𝑡 𝐸 𝑅 = (𝐸1 + 𝐸2 cos 𝛿) sin 𝜔𝑡 + 𝐸2 sin 𝛿 cos 𝜔𝑡 Let (𝐸1 + 𝐸2 cos 𝛿) = 𝐸 cos 𝜑 …….. 1 and (𝐸2 sin 𝛿 ) = 𝐸 sin 𝜑 ……….. 2 where E is amplitude of resultant wave. From equation 1 & 2, we have 𝐸2 = (𝐸1 + 𝐸2 cos 𝛿)2 + (𝐸2 sin 𝛿 )2 𝐸2 = 𝐸1 2 + 𝐸2 2 cos2 𝛿 + 2𝐸1 𝐸2 cos 𝛿 + 𝐸2 2 sin2 𝛿 𝐸2 = 𝐸1 2 + 𝐸2 2 + 2𝐸1 𝐸2 cos𝛿 Thus it is seen that square of the amplitude of resultant wave is not simple sum of the squares of amplitudes of the superposing waves, there is an additional term known as interference term. As intensity of light wave is proportional to the square of its amplitude 𝐼 = 𝐼1 + 𝐼2 + 2√𝐼1 𝐼2 cos 𝛿 Thus, when 𝛿 = 0 the resultant intensity of light at point P will be maximum, i.e. 𝐼 𝑚𝑎𝑥 = 𝐼1 + 𝐼2 + 2√𝐼1 𝐼2 and when 𝛿 = 𝜋 the resultant intensity of light at point P will be minimum, i.e. 𝐼 𝑚𝑖𝑛 = 𝐼1 + 𝐼2 − 2√𝐼1 𝐼2 If the amplitude or intensity at point P due to each wave is same, i.e. I1 = I2 = I then 𝐼 𝑚𝑎𝑥 = 𝐼 + 𝐼 + 2𝐼 = 4𝐼 𝐼 𝑚𝑖𝑛 = 𝐼 + 𝐼 − 2𝐼 = 0 Thus it can be seen that the resultant intensity at point P is either enhanced or cancelled. The phenomenon of enhancement or cancellation of intensity of light at point due to superposition of monochromatic light waves is called interference.
  • 4.
    [4] SemIV UnitI (PA Nagpure) If the waves are in phase reaching at a point then there will be enhancement of resultant intensity of light, known as constructive interference. If the waves are 1800 out of phase reaching at a point then there will be cancellation of resultant intensity of light, known as destructive interference. If the path difference between light waves from the source to a point is 0, λ, 2λ…. nλ.. then these waves are in phase at that point, i.e. produces constructive interference. If the path difference between light waves from the source to a point is λ/2, 3λ/2, 5λ/2 … (2n+1)λ/2..then these wave are 1800 out of phase at that point, i.e. produces destructive interference. Thin Film: An optical medium is called a thin film when its thickness is about the order of wavelength of light in visible region. Thus, a film of thickness in the range 0.5 µm to 10 µm may be considered as thin film. A thin film may be a thin sheet of transparent material such as glass, mica, an air film enclosed between two transparent plates or a soap bubble. Interference Due to Reflected Light from Thin Film: Let us consider transparent film of uniform thickness t. Let the refractive index of the medium of the film be µ. The film is surrounded by air on both sides. Let a plane waves from a monochromatic source incident on the film at an angle of incidence i along AB. The waves at B partly reflect along BC and partly refract along BD. The refracted waves reflect back into the film along DE and transmit into air along EF. Since the film boundaries are parallel, the waves along BC and EF will be parallel to each other. The waves travelling along the paths BC and BDEF are coherent and can produce interference if they are made to overlap by a condensing lens or the eye. Geometrical Path Difference: From figure the geometrical path difference  BD DE BHG   
  • 5.
    [5] SemIV UnitI (PA Nagpure) Optical Path Difference: Since the path (BD+DE) is through the medium of refractive index µ and path BH through air.  BD DE 1(BH)O     ……. (1) To calculate path length (BD+DE), consider  BDG cos BD t r  where: r is angle of refraction BD cos t r   As BD = DE, 2 (BD+DE) cos t r   …… (2) In  BEH, BH sin BE i  BH BEsini  …….. (3) In  BDG, BG tan BG tan r t t r    But BE = BG + GE and BG = GE sin BE 2 tan 2 cos r t r t r    ……. (4) Using in equation (4) in equation (3), we have BH 2 tan sint r i  …….. (5) According to Snell’s law, sin sin sin sin i r i r      Using in equation (5), we have sin BH 2 sin cos r t r r  2 sin BH 2 cos r t r   ……. (6) Using equation (2) and (6) in equation (1), we have
  • 6.
    [6] SemIV UnitI (PA Nagpure) 2 2 2 2 2 sin cos cos 2 (1 sin ) cos 2 cos cos 2 cos O O O O t t r r r t r r t r r t r                Correction on Account of Phase Change at Reflection: When ray is reflected from denser medium, a path change of λ/2 occurs for the ray BC. Therefore corrected path difference is given by, 2 cos 2 t r     ……..(7) Conditions for Constructive (Brightness) and Destructive (Darkness) Interference : The constructive interference occurs when path difference n  . Thus condition for constructive interference is given by 2 cos 2 2 cos (2 1) 2 t r n t r n           The destructive interference occurs when path difference (2 1) 2 n     . Thus condition for destructive interference is given by 2 cos (2 1) 2 2 2 cos t r n t r n           Interference Due to Transmitted Light through Thin Film: Let us consider transparent film of uniform thickness t. Let the refractive index of the medium of the film be µ. The film is surrounded by air on both sides. Let a plane waves from a monochromatic source incident on the film at an angle of incidence i along AB. The waves at B refract along BC. The refracted waves at C partly reflect along CD and transmit into air along CH. Since the film boundaries are parallel, the waves along BC and EF will be parallel to each other. The waves at D reflect back in to film along DE and transmit into air along EF. The transmitted waves travelling along the paths CH and CDEF are coherent and can produce interference if they are made to overlap by a condensing lens or the eye.
  • 7.
    [7] SemIV UnitI (PA Nagpure) Geometrical Path Difference: From figure the geometrical path difference  CD DE EHG    Optical Path Difference: Since the path (CD+DE) is through the medium of refractive index µ and path EH through air.  CD DE 1(EH)O     ……. (1) To calculate path length (CD+DE), consider  CDM cos CD t r  where: r is angle of refraction CD cos t r   As CD = DE, 2 (CD+DE) cos t r   …… (2) In  CEH, CH sin CE i  CH CEsini  …….. (3) In  CDM, CM tan CM tan r t t r    But CE = CM + ME and CM = ME sin CE 2 tan 2 cos r t r t r    ……. (4) Using in equation (4) in equation (3), we have
  • 8.
    [8] SemIV UnitI (PA Nagpure) CH 2 tan sint r i  …….. (5) According to Snell’s law, sin sin sin sin i r i r      Using in equation (5), we have sin CH 2 sin cos r t r r  2 sin CH 2 cos r t r   ……. (6) Using equation (2) and (6) in equation (1), we have 2 2 2 2 2 sin cos cos 2 (1 sin ) cos 2 cos cos 2 cos O O O O t t r r r t r r t r r t r                Conditions for Constructive (Brightness) and Destructive (Darkness) Interference : The constructive interference occurs when path difference n  . Thus condition for constructive interference is given by 2 cost r n  The destructive interference occurs when path difference (2 1) 2 n     . Thus condition for destructive interference is given by 2 cos (2 1) 2 t r n     Variable Thickness (Wedge-Shaped) film: A thin film having zero thickness at one end and progressively increasing at the other end is called wedge shaped film. A thin wedge of air film can be formed by two glass slides resting on each other at one end and separated by a thin spacer at opposite end. When it is illuminated by parallel beam of
  • 9.
    [9] SemIV UnitI (PA Nagpure) monochromatic light from above, the straight, parallel and equidistant interference fringes can be seen if it is observed normally through a microscope. Consider wedged shaped air film, as shown in figure. A parallel beam of monochromatic light incident on the wedge along AB, at B it is partly reflected along BC and partly refracted into the film along BD. At D it is reflected back into the film along DE and transmitted into air along EF. The waves along BC and EF interfere if they are made to overlap by a condensing lens or the eye. The optical path difference between the two rays is given by 2 cos 2 t r     Constructive interference (bright fringe) occurs when Δ = nλ and destructive interference (dark fringe) occurs when Δ = (2n-1) λ/2. Since the thickness of the film is progressively increasing alternate dark and bright interference fringe pattern is formed.
  • 10.
    [10] SemIV UnitI(P A Nagpure) Expression for Fringe Width: We have the condition for getting dark interference fringe from the reflected light from wedge shaped film 2µt cos r = nλ For air film µ=1 and for normal incidence cos r=1. 2t = nλ Let nth dark fringe is produced at point A shown in figure. If the thickness of the film at A is t1 ∴ 2𝑡1 = 𝑛𝜆 …………….(1) Let (n+1)th dark fringe is produced at point B shown in figure. If the thickness of the film at B is t2 ∴ 2𝑡2 = (𝑛 + 1)𝜆 ……………..(2) From equation (1) and (2) 2𝑡2 − 2𝑡1 = ( 𝑛 + 1) 𝜆 − 𝑛𝜆 𝑡2 − 𝑡1 = 𝜆/2 ……… (3) In ΔCDE, tan 𝜃 = DE CD From figure DE = 𝑡2 − 𝑡1 and CD = β is a fringe width (distance between successive dark fringes). ∴ tan 𝜃 = 𝜆/2 β ∴ β = 𝜆/2 tan θ (Since 𝜃 is very small) ∴ β = 𝜆 2θ This is the expression for fringe width for the interference fringes formed by the reflected light from wedged shaped air film.
  • 11.
    [11] SemIV UnitI(P A Nagpure) Newton’s Rings: The pattern of circular concentric alternate dark and bright interference fringes formed by reflected light from the air film formed between convex surface of plano-convex lens and plane glass plate are called Newtons rings. Experimental arrangement to study Newton’s ring: It consists of source of S monochromatic light. The light from the source rendered parallel by lens L1. It is then allowed incident on plane glass plate G1, inclined at angle of 450. The reflected light then incident normally on the air film formed between convex surface of plano-convex lens L2 and plane glass plate G2 as shown in figure. The pattern of circular concentric alternate dark and bright interference fringes can be observed, when viewed normally using travelling microscope M. Theory of Newton’s Rings: The Newton’s rings are formed because of the interference between the waves reflected from the top and bottom surfaces of the air film formed between the plates as shown in figure. The fringes are circular because the air film has circular symmetry about the point of contact (i.e. at the equidistant points about the point of contact, the air film has same thickness). The locus of such points will form a dark or bright circular fringe.
  • 12.
    [12] SemIV UnitI(P A Nagpure) Now let us calculate the diameters of these fringes. Let LOL’ be the lens placed on the glass plate AB. Let the curved surface LOL’ is part of the spherical surface of radius R with the centre at C. Let rn be the radius of nth Newton’s ring corresponding to constant film thickness t (at points P and Q in figure). From figure in ∆NPC, according to Pythagoras theorem 2 2 2 ( ) ( ) ( )CP NP CN  2 2 2 ( )nR r R t   2 2 2 2 2nR r R Rt t    2 t is neglected 2 2nr Rt  If Dn is the diameter of the nth ring, therefore 2 8nD Rt 2 8 nD t R   …………. (1) For bright ring, we have
  • 13.
    [13] SemIV UnitI(P A Nagpure) 2 cos 2 n t r     For normal incidence of light r = 0 and for air film µ =1, therefore 2 2 n t     (2 1) 4 t n    …………. (2) Comparing eq (1) & (2) 2 (2 1) 8 4 nD n R     2 (2 1)2nD n R   (2 1) 2nD n R   Thus diameters of the bright rings are proportional to the square root of odd numbers. Similarly for dark rings, we get 2nD n R  Thus diameters of the dark rings are proportional to the square root of natural numbers. At the centre, (point of contact of convex surface and plane glass plate) the thickness of the air film t = 0. Hence at centre the condition of destructive interference (dark ring) is satisfied, therefore centre of the Newton’s rings obtained by reflected light is dark. Since respective conditions for destructive and constructive interference due to transmitted light are exactly reverse to that for reflected light from the thin film, the centre of the Newton’s rings obtained from transmitted light is bright. Determination of wavelength of mono-chromatic light using Newton’s ring: Experimental arrangement consists of source S of monochromatic light of wavelength λ (to be determined). The light from the source rendered parallel by lens L1. It is then allowed incident on plane glass plate G1, inclined at angle of 450. The reflected light then incident normally on the air film formed between convex surface of plano-convex lens L2 and plane glass plate G2 as shown in figure. The pattern of circular concentric alternate dark and bright interference fringes can be observed, when viewed normally using travelling microscope M. Bring the centre of the cross wire at the centre of the dark spot, which is at the centre of the circular rings. Rotate the screw of travelling microscope so that it slowly moves towards one side (right). As the cross wire move in the field of view, count the dark rings. Stop the movement when 15th dark ring is reached. Now move the microscope in opposite direction
  • 14.
    [14] SemIV UnitI(P A Nagpure) and bring the cross wire tangent to the 13th , 11th , 9th ……1st dark rings and note the corresponding readings on the graduated scale attached to the travelling microscope. Now travelling microscope quickly move on other side (left) of the centre and bring the cross wire tangent to the 1st , 3rd , 5th ……..13th dark rings and note the corresponding readings. Tabulate the readings in the following table. Number of the ring (n) Reading on the scale of T.M. Diameter of the ring Dn = X – Y (Dn)2 Right (X) Left (Y) 13 11 9 7 5 3 1 Plot the graph of (Dn)2 against n. A straight line would be obtained as shown in figure. We have for diameter of nth dark ring 𝐷 𝑛 2 = 4𝑛𝜆𝑅 For diameter of (n+p)th dark ring 𝐷 𝑛+𝑝 2 = 4(𝑛 + 𝑝)𝜆𝑅 ∴ 𝐷 𝑛+𝑝 2 − 𝐷 𝑛 2 = 4𝑝𝜆𝑅 ∴ 𝐷 𝑛+𝑝 2 − 𝐷 𝑛 2 𝑝 = 4𝜆𝑅 The left hand side is slope of the straight line, it gives the value 4𝜆𝑅. ∴ 𝜆 = 𝐷 𝑛+𝑝 2 − 𝐷 𝑛 2 4𝑝𝑅 = 𝑆𝑙𝑜𝑝𝑒 4𝑅 Thus wavelength of monochromatic light can be determined using above equation if R is known.
  • 15.
    [15] SemIV UnitI(P A Nagpure) Determination of Refractive Index of liquid using Newton’s rings experiment: