Statistical Mechanics (P.A. Nagpure) 1
UNIT: I
Phase Space:
At any instant state of motion of particle (with 3-degrees of freedom) can be determined
completely in terms of its three position coordinates (x, y, z) in Euclidean space and corresponding
components (Px, Py, Pz) of its momentum. These components are considered as coordinates of the particle
in momentum space. Thus the state of motion of the particle is completely determined by the six
coordinates (x, y, z, Px, Py, Pz). Mathematically these coordinates are the coordinates of the point in the
space of six dimensions. Such six dimensional space is called phase space (µ-space). The point
representing the particle in phase space is called phase point. Each particle has its own phase space and
phase point.
Since state of motion of a particle changes with time its representative point will move along
curve called the phase trajectory.
For system consisting of N-particles, the state of the whole system can be determined completely
in terms of 3N position coordinates and 3N momentum coordinates. These 6N coordinates are the
coordinates of a point in 6N dimensional space. Such 6N dimensional space is called phase space (Γ-
space).
Unit cell:
Suppose at an instant the position and momentum coordinates in the phase space of a particle are
within the range x to x+dx, y to y+dy, z to z+dz and Px to Px+dPx, Py to Py+dPy, Pz to Pz+d Pz. Therefore
at that instant the point will lie in the element of the phase space of a particle of volume, given by
x y zd dxdydzdP dP dP =
( )( )x y zd dxdydz dP dP dP =
. Pd dV dV =
Where dV : the volume element of the physical space and PdV : the volume element of the momentum
space.
Consider the minimum volume of this element, i.e.
( ) ( )min min minx y zd dxdydz dP dP dP =
( ) ( ) ( )min min minminx y zd dxdP dydP dzdP =
According to Heisenberg’s uncertainty principle the minimum value of each of the products is
approximately equal to Planck’s constant h.
Therefore,
( )( )( ) 3
mind h h h h = =
Such element (cell) of minimum volume is called unit cell.
The phase point of particle in phase space must be considered as being located somewhere in the
unit cell. The volume of the unit cell (h3
) in phase space is considered as the volume of each available
quantum state of energy in phase space.
Number of Unit Cells or Quantum States in Energy Range between E and E+dE:
Consider a system of particles having energies in the range between E and E+dE. Let the
physical volume of the system of particles is V.
A finite volume of phase space available to a particle
x y zdxdydz dP dP dP=  
The volume of unit cell in the phase space is 3
h .
Statistical Mechanics (P.A. Nagpure) 2
Therefore number of unit cells in the volume of the phase space is given by
3
1
x y zg dxdydz dP dP dP
h
=   …… (1)
The first integral is physical volume V occupied by the particles, i.e,
V dxdydz= 
The second integral is to be evaluated within energy range E and E+dE. This integral is the
element dVP of momentum space, containing particles having energies in the range between E and E+dE.
To evaluate this integral imagine two concentric spheres of radius P and
P+dP in momentum space as shown in fig.
All points on the surface of the sphere of radius 2P mE= in momentum
space, represents the particles of energy E.
All points on the surface of the sphere of radius 2 ( )P dP m E dE+ = + in
momentum space, represents the particles of energy E+dE.
Therefore volume dVP is the volume of spherical shell between to spheres.
2
4P x y z
dV dPdP dP P dP = =
1/2
4 (2 ) (2 )mE d mE= {As, 2P mE= }
1/2 1/2
3/2 1/2
3/2 1/2
4 (2 ) (2 ) ( )
1
4 (2 ) E
2
2 (2 ) E
mE m d E
m E dE
m dE



−
=
=
=
Substituting this value of integral in equation (1), writing ( )g E dE in place of g for the energy
range.
3/2 1/2
3
2
( ) (2 ) E
V
g E dE m dE
h

 =
This equation gives the number of unit cells or quantum state of energy available to having
energies in the range between E and E+dE.
Density of Quantum States of Energy:
Any small interval dE of energy contains a large number of possible quantum states. For
example, if dE=10-3
eV then minimum number of quantum states in this interval are 1000.
Density of quantum states g(E) is defined as the number of quantum states per unit energy range at given
energy E.
According to the definition the quantity g(E)dE represents the number of quantum states with
energies in the range between E and E+dE.
Microstate and Macrostate of a system:
Suppose we divide the phase space of a system of particles into small cells. Each cell corresponds
to a small region of position and momentum and hence to a small range of energy.
For defining microstate of the system we should specify to which cell each molecule of the system
belongs at particular instant. A macrostate, on the other hand, is specified by just giving number of
molecules in each cell of phase space.
Statistical Mechanics (P.A. Nagpure) 3
For example:
Consider distribution of four particles (a, b, c, d) in two cells. There are five possible
arrangements as (0, 4), (1, 3), (2, 2), (3, 1), (4, 0), each arrangement is called macrostates of the system.
Each macrostate of the system may contains different microstates as given below.
Macrostates Microstates
(0, 4) (--, abcd)
(1, 3) (a, bcd), (b, acd), (c, abd), (d, abc)
(2, 2) (ab, cd), (ac, bd), (ad, bc), (bc, ad), (bd, ac), (cd, ab)
(3, 1) (abc, d), (abd, c), (acd, b), (bcd,a)
(4, 0) (abcd, --)
Thermodynamic Probability:
According to theory of probability, the probability of occurrence of an event is defined as the
ratio of the number of favorable cases for the occurrence of the event to the total number of possible
cases. Maximum value of this probability is 1.
In thermodynamics it is convenient to consider simply the total number of favorable cases. This
number is called Thermodynamic Probability.
The thermodynamic probability for occurrence of given a macrostate of a system in equilibrium is
the total number of possible microstates of the system corresponding to the given microstate.
Principle of Equal Priori Probability:
Principle of Equal Priori Probability states that “all different quantum states of an isolated system
in equilibrium are equally probable”.
In other words, in an isolated system in equilibrium the probability for any one particle to be in a
given quantum state is the same.
Boltzmann Relation between Entropy and Thermodynamic probability:
All spontaneous processes represent changes from a less probable to more probable state, and
since in such processes the entropy increases, there should be relation between the entropy of a system in
given state and the thermodynamic probability of that state.
Boltzmann assumed that the entropy S in definite state of the system is function of maximum
thermodynamic probability W of that state. Thus
( )S f W=
Suppose S1 and S2 are the entropies, and W1 and W2 are the thermodynamic probabilities of two
independent systems. Then
1 1( )S f W= ….. (1)
2 2( )S f W= ….. (2)
If the two systems are combined the entropy S of the resulting system will be
1 2S S S= + ….. (3)
And thermodynamic probability W will be
1 2W WW= ….. (4)
From above equations we write
1 2( ) ( ) ( )f W f W f W= + ….. (5)
Or 1 2 1 2( ) ( ) ( )f WW f W f W= +
Differentiating equation (5) partially w.r.to W1 with W2 constant, we get
1
1 1
( )( )
0
f Wdf W
dW dW
= +
Statistical Mechanics (P.A. Nagpure) 4
1
1 1
( )( ) f Wdf W dW
dW dW dW
=
1
2
1
( )( ) f Wdf W
W
dW dW
= {From equation (4) 2
1
dW
W
dW
= }
Multiplying by W1 on both sides, we get
1
1 2 1
1
( )( ) f Wdf W
WW W
dW dW
=
1
1
1
( )( ) f Wdf W
W W
dW dW
= ….. (6)
{As, 1 2W WW= }
Now differentiating equation (5) partially w.r.to W2 with W1 constant and proceeding similarly,
we get
2
2
2
( )( ) f Wdf W
W W
dW dW
= ….. (7)
Since L.H.S. of (6) & (7) are same, it means that L.H.S. must be constant and it will have same
value for any system.
( )df W
W k
dW
 = (Where constant k is called Boltzmann’s constant)
Separating variables
( )
dW
df W k
W
 =
Integrating this equation
( ) logf W S k W c = = + (Where c is constant of integration)
This is known as Boltzmann Relation between Entropy and Thermodynamic probability.
Planck interpreted W as a maximum number of ways in which the most probable distribution of energy
among particles of an isolated system in equilibrium can be achieved and he assumed c to be zero.
Substituting, c=0 and W = Wmax, we get
maxlogS k W=
This is known as Planck Boltzmann Relation between Entropy and Thermodynamic probability
of particular state of a system.
Maxwell Boltzmann Statistics:
It is classical statistics. In this particles are identical, non interacting, without spin, distinguishable
and there is no restriction on the number of particles in the unit cell (quantum state).
Consider system of particles in equilibrium at absolute temperature T, total energy U, volume V
and total number of particles N. (Such system represents molecules of mono atomic ideal gas enclosed in
container.)
Let 1 2, ,.... ...i sn n n n be the number of particles in the energy levels 1 2, ,... ...i sE E E E respectively
and 1 2, ,... ...i sg g g g be the number of unit cells (quantum states) associated with the energy levels.
It is evident that,
1 2 .... ...i sn n n n N+ + + + + =
1
s
i
i
n N
=
= …… (1)
1 1 2 2 .... ...i i s sE n E n E n E n U+ + + + + =
Statistical Mechanics (P.A. Nagpure) 5
1
s
i i
i
E n U
=
= …… (2)
Taking differential of equation (1) and (2), we get
1
0
s
i
i
dn dN
=
= = …… (3) {As, N and U are
constant}
1
0
s
i i
i
E dn dU
=
= = …… (4)
First particle can occupy 1g cells in 1g ways; second particle can occupy 1g cells in 1g ways, and
so on. Thus number ways by which 1n particles occupy 1g cells are 1
1
n
g .
Number of ways of selecting 1n particles out of N particles are 1
N
nC .
Therefore total number of possible distributions in 1g cells are 1
1
n
g X 1
N
nC .
Total number of possible distributions in 2g cells is 2
2
n
g X 1
2
N n
nC−
.
……….. Total number of possible distributions in ig cells are in
ig X
1i
i
N n
nC− −
.
And so on.
Therefore total number of possible distributions in all cells is given by
1 2 1
1 2
1
1 2 ....... ......i i
i
n N nn n N nN
n n i nW g C g C g C− −−
=
1 2 1
1 2
1 1 2 1 2
( 1)!( )!!
....... .....
!( )! !( )! !( 1 )!
inn n i
i
i i i
N nN nN
W g g g
n N n n N n n n N n n
− −−
=
− − − − − −
1 2
1 2
1 2
..... ...
!
! !... !... !
i sn nn n
i s
i s
g g g g
W N
n n n n
=
1
!
!
ins
i
i i
g
W N
n=
= 
This is called thermodynamic probability.
Taking log on both sides, we get
1
log log ! log
!
ins
i
i i
g
W N
n=
 
= +  
 

1 1
log log ! log log !i
s s
n
i i
i i
W N g n
= =
= + − 
Using Stirling’s formula, log !N = logN N N− and log ! logi i i in n n n= − , we get
1 1
log log log ( log )
s s
i i i i i
i i
W N N N n g n n n
= =
= − + − − 
1 1 1
log log log log
s s s
i i i i i
i i i
W N N N n g n n n
= = =
= − + − +  
1 1
log log log log
s s
i i i i
i i
W N N N n g n n N
= =
= − + − +  {As,
1
s
i
i
n N
=
=
}
1 1
log log log log
s s
i i i i
i i
W N N n g n n
= =
= + − 
Taking differential of above equation, we get
1 1 1
1
(log ) 0 log log
s s s
i i i i i i
i i i i
d W g dn n dn n dn
n= = =
= + − −  
Statistical Mechanics (P.A. Nagpure) 6
1 1 1
(log ) log log
s s s
i i i i i
i i i
d W g dn n dn dn
= = =
= − −   {As,
1
0
s
i
i
dn
=
= }
1
(log ) log
s
i
i
i i
g
d W dn
n=
= 
For most probable distribution (log )d W = 0, therefore
1
0 log
s
i
i
i i
g
dn
n=
=  …….. (5)
Using Lagrange’s method undetermined multiplier, i.e, multiplying equation (3) by ( )− &
equation (4) by ( )− then adding in equation (5).
1 1 1
log 0
s s s
i
i i i i
i i ii
g
dn dn E dn
n
 
= = =
− − =  
1
log 0
s
i
i i
i i
g
E dn
n
 
=
 
− − = 
 

As, idn represents change in number of particles, therefore 0idn  .
log 0i
i
i
g
E
n
 
 
 − − = 
 
log
log
i
i
i
i
i
i
g
E
n
n
E
g
 
 
 = +
 = − −
( )iEi
i
n
e
g
 − +
 = …… (6)
This equation is known as Maxwell Boltzmann law of distribution of distinguishable particles
among the energy levels.
Where the value of undetermined multiplier  is given by
1
kT
 = and  for the molecules of ideal gas
with no spin is given by
3/22
2
N h
e
V mkT


−  
=  
 
The energy distribution function ( )if E is the average number of particles per quantum state in
the energy level iE . Therefore it is given by
( ) i
i
i
n
f E
g
=
( )
( ) i iE E
if E e e e  − + −−
= =
Therefore for energy E
( ) E
f E e e − −
=
For the molecules of an ideal gas with no spin
3/22
( )
2
E kTN h
f E e
V mkT
− 
=  
 
This equation is known as Maxwell Boltzmann energy distribution function.
Statistical Mechanics (P.A. Nagpure) 7
Maxwell Boltzmann Energy Distribution Law for an Ideal Gas:
If the energy levels of the system are very close together, then the number of particles ( )n E dE ,
whose energies lie in the range E and E+dE is given by
( ) ( ) ( )n E dE f E g E dE= …… (1)
Where ( )g E dE , the number of quantum is states of energy between E and E+dE and is given by
3/2 1/2
3
2
( ) (2 ) E
V
g E dE m dE
h

= …… (2)
For the molecules of an ideal gas with no spin
3/22
( )
2
E kTN h
f E e
V mkT
− 
=  
 
…… (3)
Using equation (2) and (3) in equation (1).
3/22
3/2 1/2
3
2
( ) (2 ) E
2
E kTN h V
n E dE e m dE
V mkT h


− 
=  
 
3/2
1/21
( ) 2 E E kT
n E dE N e dE
kT


− 
=  
 
This equation is known as Maxwell Boltzmann Energy Distribution Law for the molecules of an
Ideal Gas.
Maxwell Boltzmann Speed Distribution Law for an Ideal Gas:
The Maxwell Boltzmann energy distribution law for the molecules of an ideal gas is
3/2
1/21
( ) 2 E E kT
n E dE N e dE
kT


− 
=  
 
….. (1)
As the molecules of an ideal gas are non interacting, then all the energy of molecules is kinetic
energy.
21
2
E mv=
dE mv dv=
Using above values in equation (1), we get
2
3/2 1/2
21
( ) 2
2
mv kTm
n v dv N ve mv dv
kT


−   
=    
   
2
3/2
2 2
( ) 4
2
mv kTm
n v dv N e v dv
kT


− 
=  
 
This equation is known as Maxwell Boltzmann law of distribution of speeds among the molecules
of an ideal gas. Here ( )n v dv is the number of molecules in speed range v and v+dv.
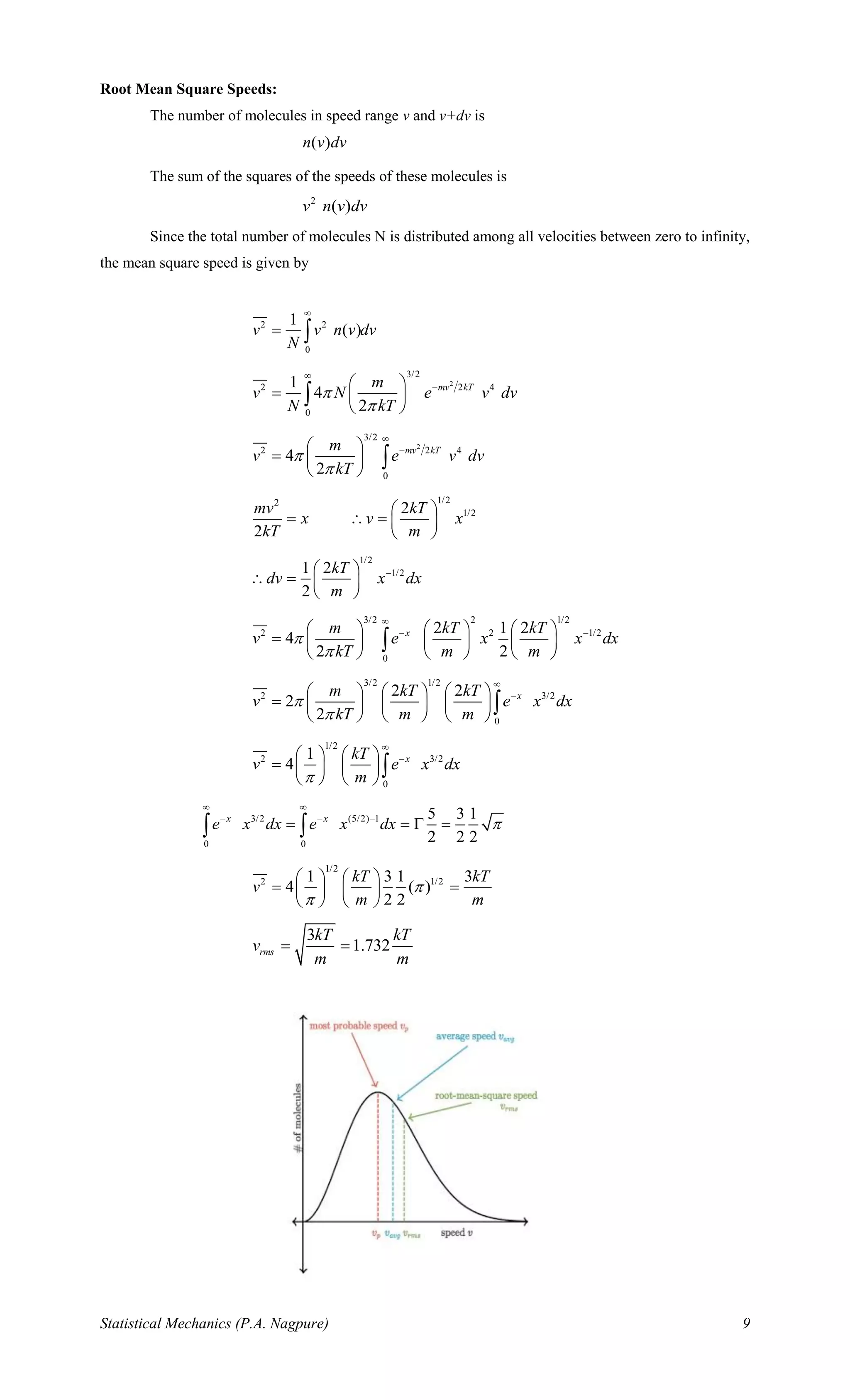
Most Probable Speed:
Most probable speed of the molecules is the speed at which the number of molecules per unit
speed range is maximum.
The number of molecules in unit speed range is given by,
2
3/2
2 2
( ) 4
2
mv kTm
n v N e v
kT


− 
=  
 
Taking log on both sides, we get
Statistical Mechanics (P.A. Nagpure) 8
2
3
log ( ) log(4 ) log 2log
2 2 2
m mv
n v N v
kT kT


 
= + − + 
 
1 ( ) 2
( )
dn v mv
n v dv kT v
= − +
For most probable speed
,
( )
0
dn v
dv
=
2
0P
P
mv
kT v
− + =
2 2
P
kT
v
m
=
2
1.414P
kT kT
v
m m
= =
Average Speed:
The number of molecules in speed range v and v+dv is
( )n v dv
The total speeds of these molecules is
( )v n v dv
Since the total number of molecules N is distributed among all velocities between zero to infinity,
the average speed is given by
0
1
( )v v n v dv
N

= 
As,
2
3/2
2 2
( ) 4
2
mv kTm
n v N e v
kT


− 
=  
 
2
3/2
2 3
0
1
4
2
mv kTm
v N e v dv
N kT



− 
=  
 

2
3/2
2 3
0
4
2
mv kTm
v e v dv
kT



− 
=  
 

1/22
1/22
2
mv kT
x v x
kT m
 
=  =  
 
1/2
1/21 2
2
kT
dv x dx
m
− 
 =  
 
3/2 3/2 1/2
3/2 1/2
0
2 1 2
4
2 2
xm kT kT
v e x x dx
kT m m



− −     
=      
     

1/2 1/2
0
2 1
2 xkT
v e xdx
m 

−   
=    
   

2 1
0 0
2 1! 1x x
e xdx e x dx
 
− − −
= =  = = 
1/2
8
1.596
kT kT
v
m m
 
= = 
 
Statistical Mechanics (P.A. Nagpure) 9
Root Mean Square Speeds:
The number of molecules in speed range v and v+dv is
( )n v dv
The sum of the squares of the speeds of these molecules is
2
( )v n v dv
Since the total number of molecules N is distributed among all velocities between zero to infinity,
the mean square speed is given by
2 2
0
1
( )v v n v dv
N

= 
2
3/2
2 2 4
0
1
4
2
mv kTm
v N e v dv
N kT



− 
=  
 

2
3/2
2 2 4
0
4
2
mv kTm
v e v dv
kT



− 
=  
 

1/22
1/22
2
mv kT
x v x
kT m
 
=  =  
 
1/2
1/21 2
2
kT
dv x dx
m
− 
 =  
 
3/2 2 1/2
2 2 1/2
0
2 1 2
4
2 2
xm kT kT
v e x x dx
kT m m



− −     
=      
     

3/2 1/2
2 3/2
0
2 2
2
2
xm kT kT
v e x dx
kT m m



−     
=      
     

1/2
2 3/2
0
1
4 xkT
v e x dx
m

−   
=    
   

3/2 (5/2) 1
0 0
5 3 1
2 2 2
x x
e x dx e x dx 
 
− − −
= =  = 
1/2
2 1/21 3 1 3
4 ( )
2 2
kT kT
v
m m


   
= =   
   
3
1.732rms
kT kT
v
m m
= =
Statistical Mechanics (P.A. Nagpure) 10
UNIT: II
Distinguishable & Indistinguishable Particles:
In classical mechanics identical particles do not lose their identity despite the similarity of their
physical properties, since individual particles follow sharp trajectories during the course of experiment.
As result classical mechanical particles can be distinguished from one another, hence they are
distinguishable.
As an example consider the molecules of a gas at N.T.P.
Molecular density = 1025
molecules/m3
Therefore volume available for each molecule = 10-25
m3
Molecular radius = 10-10
m
Therefore volume of molecule = 34
3
r =10-30
m3
As the molecule is much smaller than the volume available for it, hence we can identify every molecule
of the gas. Hence they are distinguishable.
In quantum mechanics a particle in motion is represented by a wave packet of finite size and
spread. Hence there is no way of keeping track of individual particles separately, since wave packets of
individual particles considerably overlap to each other. As result quantum mechanical particles cannot be
distinguished from one another, hence they are indistinguishable.
As an example consider the free electrons in metal
Density of free electrons in metal = 1028
m-3
Therefore volume available for each electron = 10-28
m3
For electrons of energy 1eV, the momentum, p = (2mE)1/2
= [2 x 9.1 x 10-31
x 1.6 x 10-19
]1/2
= 0.5 x 10-24
kg m/sec
Minimum uncertainty in position of electron,
h
q
p
 =

34
9
24
6.63 10
1.3 10
0.5 10
q m
−
−
−

   

Therefore volume of the wave packet ( )
39 27 34
3.14 1.3 10 10
3
m m− −
    
Thus, for the free electrons in metal volume available is less than volume of its wave packet. i.e, their
wave packets overlap considerably. Hence free electrons in metal cannot be identified separately. Hence
they are indistinguishable.
Bose-Einstein Statistics:
It is quantum statistics. The particles obeying this statistics are called Bosons. The Bosons are
identical, indistinguishable with spin angular momentum equal to n where, 0,1,2.........n = and there is
no restriction on the number of particles in the quantum state i.e, they do not obey Pauli’s exclusion
principle. The Bosons have symmetric wave function. Examples of Bosons are photons,  -particles,  -
mesons, etc.
Consider system of particles in equilibrium at absolute temperature T, total energy U, volume V
and total number of particles N.
Let 1 2, ,.... ...i sn n n n be the number of particles in the energy levels 1 2, ,... ...i sE E E E respectively
and 1 2, ,... ...i sg g g g be the number of quantum states associated with the energy levels.
It is evident that,
Statistical Mechanics (P.A. Nagpure) 11
1 2 .... ...i sn n n n N+ + + + + =
1
s
i
i
n N
=
= …… (1)
1 1 2 2 .... ...i i s sE n E n E n E n U+ + + + + =
1
s
i i
i
E n U
=
= …… (2)
Taking differential of equation (1) and (2), we get
1
0
s
i
i
dn dN
=
= = …… (3){As, N and U are constant}
1
0
s
i i
i
E dn dU
=
= = …… (4)
Suppose we have to distribute in indistinguishable particles in ig distinguishable states and there
is no restriction on the number of particles in the quantum state. It is similar to distribute in particles
about ( 1)ig − partitions. The number of possible distributions is
1i i
i
n g
nC+ −
.
Therefore total number of possible distributions of all N particles in all quantum states is given by
1 1 2 2
1 2
1 11 1
....... ........i i S S
i S
n g n gn g n g
n n n nW C C C C+ − + −+ − + −
=
1
1
i i
i
s
n g
n
i
W C+ −
=
= 
( )
( )1
1 !
! 1 !
s
i i
i i i
n g
W C
n g=
+ −
=
−

As, 1ig 
( )
1
!
! !
s
i i
i i i
n g
W
n g=
+
= 
This is called thermodynamic probability.
Taking log on both sides, we get
( )
1
!
log log
! !
s
i i
i i i
n g
W
n g=
+
= 
( )
1 1 1
log log ! log ! log !
s s s
i i i i
i i i
W n g n g
= = =
= + − −  
Using Stirling’s formula, we get
1 1 1
log [( )log( ) ( )] ( log ) ( log )
s s s
i i i i i i i i i i i i
i i i
W n g n g n g n n n g g g
= = =
= + + − + − − − −  
1 1 1 1 1
log ( )log( ) ( ) log ( log )
s s s s s
i i i i i i i i i i i i
i i i i i
W n g n g n g n n n g g g
= = = = =
= + + − + − + − −    
Taking differential of above equation, we get
Statistical Mechanics (P.A. Nagpure) 12
1 1 1 1 1 1
1 1
(log ) ( ) log( ) log
( )
s s s s s s
i i i i i i i i i i i i
i i i i i ii i i
d W n g dn n g dn dn n dn n dn dn
n g n= = = = = =
= + + + − − − +
+
     
1 1
(log ) log( ) log
s s
i i i i i
i i
d W n g dn n dn
= =
= + −  {As,
1
0
s
i
i
dn
=
= }
1
( )
(log ) log
s
i i
i
i i
n g
d W dn
n=
+
= 
For most probable distribution (log )d W = 0, therefore
1
( )
log 0
s
i i
i
i i
n g
dn
n=
+
 = …….. (5)
Using Lagrange’s method undetermined multiplier, i.e, multiplying equation (3) by ( )− &
equation (4) by ( )− then adding in equation (5).
1 1 1
( )
log 0
s s s
i i
i i i i
i i ii
n g
dn dn E dn
n
 
= = =
+
− − =  
1
( )
log 0
s
i i
i i
i i
n g
E dn
n
 
=
 +
− − = 
 

As, idn represents change in number of particles, therefore 0idn  .
( )
log 0i i
i
i
n g
E
n
 
 +
 − − = 
 
( )( ) iEi i
i
n g
e
n
 ++
 =
( )
1 iEi
i
g
e
n
 +
 + =
( )
1iEi
i
g
e
n
 +
 = −
( )
1
1i
i
E
i
n
g e  +
 =
−
This equation is known as Bose Einstein law of distribution of particles among the energy levels.
.
Fermi-Dirac Statistics:
It is quantum statistics. The particles obeying this statistics are called Fermions. The Fermions are
identical, indistinguishable with spin angular momentum equal to (2 1) 2n + where, 0,1,2.........n =
and there can be only one particle in each quantum state i.e, they obey Pauli’s exclusion principle. The
Fermions have anti-symmetric wave function. Examples of Fermions are electrons, protons, neutrons, etc.
Consider system of particles in equilibrium at absolute temperature T, total energy U, volume V
and total number of particles N.
Let 1 2, ,.... ...i sn n n n be the number of particles in the energy levels 1 2, ,... ...i sE E E E respectively
and 1 2, ,... ...i sg g g g be the number of quantum states associated with the energy levels.
It is evident that,
1 2 .... ...i sn n n n N+ + + + + =
1
s
i
i
n N
=
= …… (1)
1 1 2 2 .... ...i i s sE n E n E n E n U+ + + + + =
Statistical Mechanics (P.A. Nagpure) 13
1
s
i i
i
E n U
=
= …… (2)
Taking differential of equation (1) and (2), we get
1
0
s
i
i
dn dN
=
= = …… (3) {As, N and U are constant}
1
0
s
i i
i
E dn dU
=
= = …… (4)
Suppose we have to distribute in indistinguishable particles in ig distinguishable states and there
can be only one particle each in the quantum state. The number of possible distributions is i
i
g
nC .
Therefore total number of possible distributions of all N particles in all quantum states is given by
1
1 2
....... ......i s
i s
g gg g
n n n nW C C C C=
1
i
i
s
g
n
i
W C
=
= 
1
!
!( )!
s
i
i i i i
g
W
n g n=
=
−

This is called thermodynamic probability.
Taking log on both sides, we get
1
!
log log
!( )!
s
i
i i i i
g
W
n g n=
=
−

1 1 1
log log ! log ! log( )!
s s s
i i i i
i i i
W g n g n
= = =
= − − −  
Using Stirling’s formula, we get
 
1 1 1
log ( log ) ( log ) ( )log( ) ( )
s s s
i i i i i i i i i i i i
i i i
W g g g n n n g n g n g n
= = =
= − − − − − − − −  
1 1 1 1 1
log ( log ) log ( )log( ) ( )
s s s s s
i i i i i i i i i i i i
i i i i i
W g g g n n n g n g n g n
= = = = =
= − − + − − − + −    
Taking differential of above equation, we get
1 1 1 1 1 1
1 1
(log ) 0 log ( ) log( )
( )
s s s s s s
i i i i i i i i i i i i
i i i i i ii i i
d W n dn n dn dn g n dn g n dn dn
n g n= = = = = =
= − − + + − + − −
−
     
1 1
(log ) log( ) log
s s
i i i i i
i i
d W g n dn n dn
= =
= − −  {As,
1
0
s
i
i
dn
=
= }
1
( )
(log ) log
s
i i
i
i i
g n
d W dn
n=
−
= 
For most probable distribution (log )d W = 0, therefore
1
( )
0 log
s
i i
i
i i
g n
dn
n=
−
=  …….. (5)
Using Lagrange’s method undetermined multiplier, i.e, multiplying equation (3) by ( )− &
equation (4) by ( )− then adding in equation (5).
Statistical Mechanics (P.A. Nagpure) 14
1 1 1
( )
log 0
s s s
i i
i i i i
i i ii
g n
dn dn E dn
n
 
= = =
−
− − =  
1
( )
log 0
s
i i
i i
i i
g n
E dn
n
 
=
 −
− − = 
 

As, idn represents change in number of particles, therefore 0idn  .
( )
log 0i i
i
i
g n
E
n
 
 −
 − − = 
 
( )
log i i
i
i
g n
E
n
 
−
 = +
( )
1 iEi
i
g
e
n
 +
 − =
( )
1iEi
i
g
e
n
 +
 = +
( )
1
1i
i
E
i
n
g e  +
 =
+
This equation is known as Fermi Dirac law of distribution of particles among the energy levels.
Applications of Fermi-Dirac Statistics:
Fermi Function & Fermi Energy:
The metal consists of large number of free electrons, which are free to move within the metal
surface. The free electrons are bound to move within the metal due to electrostatic force of attraction.
The electrons are fermions with spin angular momentum 2 . Thus such system of large number
of electrons moving freely inside the metal is an example of Fermi gas.
Consider system of N electrons. Let 1 2, ,.... ...i sn n n n be the number of electrons in the energy
levels 1 2, ,... ...i sE E E E respectively and 1 2, ,... ...i sg g g g be the number of quantum states associated with
the energy levels.
According to Fermi Dirac statistics, most probable distribution is given by,
( )
1
1i
i
E
i
n
g e  +
=
+ ……… (1)
As ( ) is dimension less constant, hence we can put
FE
kT
 = −
This means that in this system, EF is constant with units of energy corresponding to a particular
temperature T. Also
1
kT
 =
,
using these values in equation (1), we have
( )/
1
1i F
i
E E kT
i
n
g e −
=
+
Thus,
We denote by ( ) and it is called as Fermi Function for i th energy level.i
i
i
n
F E
g
( )/
1
( )
1i F
i E E kT
F E
e −
=
+ ……. (2)
This expression gives the probability that particular quantum state of energy Ei is occupied at
temperature T.
Statistical Mechanics (P.A. Nagpure) 15
Now discuss the effect temperature on Fermi function.
I) At absolute zero temperature (T=0 K):
a) Suppose that Ei is smaller than EF i.e, for Ei << EF at absolute zero, equation (2) leads to
1
( ) 1
1
iF E
e−
= =
+
That is quantum state of energy Ei is occupied.
b) Suppose that Ei is greater than EF i.e, for Ei >> EF at absolute zero, equation (2) leads to
1
( ) 0
1
iF E
e
= =
+
That is quantum state of energy Ei is empty.
Thus at absolute zero temperature all states with energies less than EF are filled and all states with
energies more than EF are vacant. These situations are shown in figure.
This defines the constant EF as the maximum energy which can be
possessed by the free electron in metal at absolute zero temperature, and it is
named as the Fermi energy.
Thus Fermi energy is defined as “the energy of the highest
occupied level at absolute zero”.
II) At temperatures other than absolute zero:
a) For the states with energy equal to EF i.e, at EF = Ei we get
0
1 1
( )
21
iF E
e
= =
+
b) For the states with energy less than EF i.e, at EF >> Ei the value
of F(Ei)increases from ½ as Ei decreases from EF
(i.e, As Ei →0, F(Ei )→1)
c) For the states with energy greater than EF i.e, at EF << Ei the
value of F(Ei)decreases from ½ as Ei increases from EF
(i.e, As Ei → , F(Ei )→0)
These situations are shown in figure.
“Thus Fermi Energy at any temperature is defined as “the energy of the level with quantum
states 50% occupied and 50% empty”.
Fermi Dirac Energy Distribution Law for Fermi Gas (Free Electrons in Metal):
The energy levels of the system are very close together, then the number of particles ( )n E dE ,
with energies between E and E+dE is given by
( ) ( ) ( )n E dE F E g E dE= …… (1)
Where ( )g E dE , the number of quantum is states of energy between E and E+dE and is given by
3/2 1/2
3
2
( ) (2 ) E
V
g E dE m dE
h

=
For particles like electrons of spin angular momentum
1
2
 , there two possible spin orientations. For a
system of such particles ( )g E dE is given by
3/2 1/2
3
2
( ) 2 (2 ) E
V
g E dE m dE
h

= …… (2)
Statistical Mechanics (P.A. Nagpure) 16
( )/
1
( )
1FE E kT
F E
e −
=
+
…… (3)
Using equation (2) and (3) in equation (1).
1/2
3/2
3 ( )/
4 E
( ) (2 )
1FE E kT
V
n E dE m dE
h e

−
=
+
This equation is known as Fermi Energy Distribution Law for the free electrons in metal. This
gives the number of electron with energies between E and E+dE.
Expression for Fermi Energy for Free Electrons in a Metal at Absolute Zero Temperature (EFo):
The total number N of the free electrons in a metal of volume V is given by
0
( )N n E dE

= 
As,
( ) ( ) ( )n E dE F E g E=
0
( ) ( )N F E g E dE

 = 
0
0
0
( ) ( ) + ( ) ( )
F
F
E
E
N F E g E dE F E g E dE

 =  
We know that at T =0, if E< EFo, then F(E)= 1 and at T =0, if E> EFo, then F(E)= 0. Hence above equation
becomes
0
0
( )
FE
N g E dE = 
As, ( )g E dE is given by
3/2 1/2
3
4
( ) (2 ) E
V
g E dE m dE
h

=
0
3/2 1/2
3
0
4
(2 ) E
FE
V
N m dE
h

 = 
0
3/2 3/2
3
4 2
(2 ) E
3
F
V
N m
h

 =
0
3/2 3/2
3
8
(2 ) E
3
F
V
N m
h

 =
This expression gives total number of electrons in the metal at absolute zero.
0
2
3/2 3/23
E = ( )
8 2
F
N h
V m

Taking 2/3 rd power on both sides, we get
0
2/32
3
E =
2 8
F
h N
m V
 
  
0
2/32
3
E =
2 8
F
h n
m 
 
  
Where, n=N/V=number of free electrons per unit volume.
This expression gives Fermi energy of electrons in the metal at absolute zero.
Statistical Mechanics (P.A. Nagpure) 17
Total energy at absolute zero temperature:
The total energy of electrons at absolute zero temperature is given by
0
0
0
E ( )
FE
E n E dE= 
0
0
0
E g( )
FE
E E dE = 
3/2 1/2
3
4
As ( ) (2 ) E
V
g E dE m dE
h

=
0
3/2 3/2
0 3
0
4
(2 ) E
FE
V
E m dE
h

 = 
0
3/2 5/2
0 3
8
(2 ) E
5
F
V
E m
h

 =
0
3/2 3/2
3
8
Since (2 )
3
F
V
N m E
h

=
0
5/2
0
3
E
5
FE N =
0
5/20 3
E
5
F
E
N
 =
Thus the average energy per electron at absolute zero (T=0K) is equal to 3/5 times the Fermi energy.
Application of Bose-Einstein Statistics:
Planck’s Law of Black Body Radiation:
In on order to derive Planck’s law, let us consider a black body chamber of volume V kept at
constant temperature T and filled with radiant energy that can be considered as assembly of photons. If
the number of photons in the chamber is very large, the spacing between two successive energy levels
becomes very small making the energy levels almost continuous. Thus if the energy of photons in the
range E to E+dE , the degenerate states gi should be replaced by g(E)dE and the total number of photons
ni in these states should be replaced by n(E)dE in B-E distribution function. Hence the number of photons
having energy range between E to E+dE can be written as
( )
( )
( )
1E
g E dE
n E dE
e  +
=
− ……… (1)
In case of black body radiation, the total number of particles is not conserved because photons are
absorbed and re-emitted frequently by the walls of the chamber.
i.e. 0 0i
i
dN   =
We know that
1
kT
 =
Hence equation (1) gives
Statistical Mechanics (P.A. Nagpure) 18
( )
( )
1E kT
g E dE
n E dE
e
=
− ……… (2)
Now the number of quantum states corresponding to momentum range p to p+dp is
2
3
4
( ) s
Vp dp
g p dp g
h

=
where, gs is the spin degeneracy of a quantum state. Since a photon has two spin orientations in transverse
direction, gs=2 for photons.
2
3
8
( )
Vp dp
g p dp
h

=
……… (3)
The energy of a photon of frequency ν is E= h ν and so its momentum is p= h ν/c ,where c is the
speed photon in free space.
h
dp d
c
 =
Substituting the values of p and dp in equation (3), we get the number of quantum states having frequency
range between ν to ν+d ν as
2
3
8
( )
V
g d d
c

   =
Hence equation (2) in terms of ν we get
2
3
( ) 8
( )
1 1h kT h kT
g d V d
N d
e c e 
    
  = =
− −
It gives the number of photons having frequency range between ν to ν+d ν in the chamber of
volume V at temperature T.
Therefore, the energy density of photons within frequency range between ν to ν+d ν is given by
3
3
( ) 8
( )
1h kT
N d h d
u d h
V c e 
    
  = =
−
This is the Planck’s law of black body radiation.

Statistical Mechanics B.Sc. Sem VI

  • 1.
    Statistical Mechanics (P.A.Nagpure) 1 UNIT: I Phase Space: At any instant state of motion of particle (with 3-degrees of freedom) can be determined completely in terms of its three position coordinates (x, y, z) in Euclidean space and corresponding components (Px, Py, Pz) of its momentum. These components are considered as coordinates of the particle in momentum space. Thus the state of motion of the particle is completely determined by the six coordinates (x, y, z, Px, Py, Pz). Mathematically these coordinates are the coordinates of the point in the space of six dimensions. Such six dimensional space is called phase space (µ-space). The point representing the particle in phase space is called phase point. Each particle has its own phase space and phase point. Since state of motion of a particle changes with time its representative point will move along curve called the phase trajectory. For system consisting of N-particles, the state of the whole system can be determined completely in terms of 3N position coordinates and 3N momentum coordinates. These 6N coordinates are the coordinates of a point in 6N dimensional space. Such 6N dimensional space is called phase space (Γ- space). Unit cell: Suppose at an instant the position and momentum coordinates in the phase space of a particle are within the range x to x+dx, y to y+dy, z to z+dz and Px to Px+dPx, Py to Py+dPy, Pz to Pz+d Pz. Therefore at that instant the point will lie in the element of the phase space of a particle of volume, given by x y zd dxdydzdP dP dP = ( )( )x y zd dxdydz dP dP dP = . Pd dV dV = Where dV : the volume element of the physical space and PdV : the volume element of the momentum space. Consider the minimum volume of this element, i.e. ( ) ( )min min minx y zd dxdydz dP dP dP = ( ) ( ) ( )min min minminx y zd dxdP dydP dzdP = According to Heisenberg’s uncertainty principle the minimum value of each of the products is approximately equal to Planck’s constant h. Therefore, ( )( )( ) 3 mind h h h h = = Such element (cell) of minimum volume is called unit cell. The phase point of particle in phase space must be considered as being located somewhere in the unit cell. The volume of the unit cell (h3 ) in phase space is considered as the volume of each available quantum state of energy in phase space. Number of Unit Cells or Quantum States in Energy Range between E and E+dE: Consider a system of particles having energies in the range between E and E+dE. Let the physical volume of the system of particles is V. A finite volume of phase space available to a particle x y zdxdydz dP dP dP=   The volume of unit cell in the phase space is 3 h .
  • 2.
    Statistical Mechanics (P.A.Nagpure) 2 Therefore number of unit cells in the volume of the phase space is given by 3 1 x y zg dxdydz dP dP dP h =   …… (1) The first integral is physical volume V occupied by the particles, i.e, V dxdydz=  The second integral is to be evaluated within energy range E and E+dE. This integral is the element dVP of momentum space, containing particles having energies in the range between E and E+dE. To evaluate this integral imagine two concentric spheres of radius P and P+dP in momentum space as shown in fig. All points on the surface of the sphere of radius 2P mE= in momentum space, represents the particles of energy E. All points on the surface of the sphere of radius 2 ( )P dP m E dE+ = + in momentum space, represents the particles of energy E+dE. Therefore volume dVP is the volume of spherical shell between to spheres. 2 4P x y z dV dPdP dP P dP = = 1/2 4 (2 ) (2 )mE d mE= {As, 2P mE= } 1/2 1/2 3/2 1/2 3/2 1/2 4 (2 ) (2 ) ( ) 1 4 (2 ) E 2 2 (2 ) E mE m d E m E dE m dE    − = = = Substituting this value of integral in equation (1), writing ( )g E dE in place of g for the energy range. 3/2 1/2 3 2 ( ) (2 ) E V g E dE m dE h   = This equation gives the number of unit cells or quantum state of energy available to having energies in the range between E and E+dE. Density of Quantum States of Energy: Any small interval dE of energy contains a large number of possible quantum states. For example, if dE=10-3 eV then minimum number of quantum states in this interval are 1000. Density of quantum states g(E) is defined as the number of quantum states per unit energy range at given energy E. According to the definition the quantity g(E)dE represents the number of quantum states with energies in the range between E and E+dE. Microstate and Macrostate of a system: Suppose we divide the phase space of a system of particles into small cells. Each cell corresponds to a small region of position and momentum and hence to a small range of energy. For defining microstate of the system we should specify to which cell each molecule of the system belongs at particular instant. A macrostate, on the other hand, is specified by just giving number of molecules in each cell of phase space.
  • 3.
    Statistical Mechanics (P.A.Nagpure) 3 For example: Consider distribution of four particles (a, b, c, d) in two cells. There are five possible arrangements as (0, 4), (1, 3), (2, 2), (3, 1), (4, 0), each arrangement is called macrostates of the system. Each macrostate of the system may contains different microstates as given below. Macrostates Microstates (0, 4) (--, abcd) (1, 3) (a, bcd), (b, acd), (c, abd), (d, abc) (2, 2) (ab, cd), (ac, bd), (ad, bc), (bc, ad), (bd, ac), (cd, ab) (3, 1) (abc, d), (abd, c), (acd, b), (bcd,a) (4, 0) (abcd, --) Thermodynamic Probability: According to theory of probability, the probability of occurrence of an event is defined as the ratio of the number of favorable cases for the occurrence of the event to the total number of possible cases. Maximum value of this probability is 1. In thermodynamics it is convenient to consider simply the total number of favorable cases. This number is called Thermodynamic Probability. The thermodynamic probability for occurrence of given a macrostate of a system in equilibrium is the total number of possible microstates of the system corresponding to the given microstate. Principle of Equal Priori Probability: Principle of Equal Priori Probability states that “all different quantum states of an isolated system in equilibrium are equally probable”. In other words, in an isolated system in equilibrium the probability for any one particle to be in a given quantum state is the same. Boltzmann Relation between Entropy and Thermodynamic probability: All spontaneous processes represent changes from a less probable to more probable state, and since in such processes the entropy increases, there should be relation between the entropy of a system in given state and the thermodynamic probability of that state. Boltzmann assumed that the entropy S in definite state of the system is function of maximum thermodynamic probability W of that state. Thus ( )S f W= Suppose S1 and S2 are the entropies, and W1 and W2 are the thermodynamic probabilities of two independent systems. Then 1 1( )S f W= ….. (1) 2 2( )S f W= ….. (2) If the two systems are combined the entropy S of the resulting system will be 1 2S S S= + ….. (3) And thermodynamic probability W will be 1 2W WW= ….. (4) From above equations we write 1 2( ) ( ) ( )f W f W f W= + ….. (5) Or 1 2 1 2( ) ( ) ( )f WW f W f W= + Differentiating equation (5) partially w.r.to W1 with W2 constant, we get 1 1 1 ( )( ) 0 f Wdf W dW dW = +
  • 4.
    Statistical Mechanics (P.A.Nagpure) 4 1 1 1 ( )( ) f Wdf W dW dW dW dW = 1 2 1 ( )( ) f Wdf W W dW dW = {From equation (4) 2 1 dW W dW = } Multiplying by W1 on both sides, we get 1 1 2 1 1 ( )( ) f Wdf W WW W dW dW = 1 1 1 ( )( ) f Wdf W W W dW dW = ….. (6) {As, 1 2W WW= } Now differentiating equation (5) partially w.r.to W2 with W1 constant and proceeding similarly, we get 2 2 2 ( )( ) f Wdf W W W dW dW = ….. (7) Since L.H.S. of (6) & (7) are same, it means that L.H.S. must be constant and it will have same value for any system. ( )df W W k dW  = (Where constant k is called Boltzmann’s constant) Separating variables ( ) dW df W k W  = Integrating this equation ( ) logf W S k W c = = + (Where c is constant of integration) This is known as Boltzmann Relation between Entropy and Thermodynamic probability. Planck interpreted W as a maximum number of ways in which the most probable distribution of energy among particles of an isolated system in equilibrium can be achieved and he assumed c to be zero. Substituting, c=0 and W = Wmax, we get maxlogS k W= This is known as Planck Boltzmann Relation between Entropy and Thermodynamic probability of particular state of a system. Maxwell Boltzmann Statistics: It is classical statistics. In this particles are identical, non interacting, without spin, distinguishable and there is no restriction on the number of particles in the unit cell (quantum state). Consider system of particles in equilibrium at absolute temperature T, total energy U, volume V and total number of particles N. (Such system represents molecules of mono atomic ideal gas enclosed in container.) Let 1 2, ,.... ...i sn n n n be the number of particles in the energy levels 1 2, ,... ...i sE E E E respectively and 1 2, ,... ...i sg g g g be the number of unit cells (quantum states) associated with the energy levels. It is evident that, 1 2 .... ...i sn n n n N+ + + + + = 1 s i i n N = = …… (1) 1 1 2 2 .... ...i i s sE n E n E n E n U+ + + + + =
  • 5.
    Statistical Mechanics (P.A.Nagpure) 5 1 s i i i E n U = = …… (2) Taking differential of equation (1) and (2), we get 1 0 s i i dn dN = = = …… (3) {As, N and U are constant} 1 0 s i i i E dn dU = = = …… (4) First particle can occupy 1g cells in 1g ways; second particle can occupy 1g cells in 1g ways, and so on. Thus number ways by which 1n particles occupy 1g cells are 1 1 n g . Number of ways of selecting 1n particles out of N particles are 1 N nC . Therefore total number of possible distributions in 1g cells are 1 1 n g X 1 N nC . Total number of possible distributions in 2g cells is 2 2 n g X 1 2 N n nC− . ……….. Total number of possible distributions in ig cells are in ig X 1i i N n nC− − . And so on. Therefore total number of possible distributions in all cells is given by 1 2 1 1 2 1 1 2 ....... ......i i i n N nn n N nN n n i nW g C g C g C− −− = 1 2 1 1 2 1 1 2 1 2 ( 1)!( )!! ....... ..... !( )! !( )! !( 1 )! inn n i i i i i N nN nN W g g g n N n n N n n n N n n − −− = − − − − − − 1 2 1 2 1 2 ..... ... ! ! !... !... ! i sn nn n i s i s g g g g W N n n n n = 1 ! ! ins i i i g W N n= =  This is called thermodynamic probability. Taking log on both sides, we get 1 log log ! log ! ins i i i g W N n=   = +      1 1 log log ! log log !i s s n i i i i W N g n = = = + −  Using Stirling’s formula, log !N = logN N N− and log ! logi i i in n n n= − , we get 1 1 log log log ( log ) s s i i i i i i i W N N N n g n n n = = = − + − −  1 1 1 log log log log s s s i i i i i i i i W N N N n g n n n = = = = − + − +   1 1 log log log log s s i i i i i i W N N N n g n n N = = = − + − +  {As, 1 s i i n N = = } 1 1 log log log log s s i i i i i i W N N n g n n = = = + −  Taking differential of above equation, we get 1 1 1 1 (log ) 0 log log s s s i i i i i i i i i i d W g dn n dn n dn n= = = = + − −  
  • 6.
    Statistical Mechanics (P.A.Nagpure) 6 1 1 1 (log ) log log s s s i i i i i i i i d W g dn n dn dn = = = = − −   {As, 1 0 s i i dn = = } 1 (log ) log s i i i i g d W dn n= =  For most probable distribution (log )d W = 0, therefore 1 0 log s i i i i g dn n= =  …….. (5) Using Lagrange’s method undetermined multiplier, i.e, multiplying equation (3) by ( )− & equation (4) by ( )− then adding in equation (5). 1 1 1 log 0 s s s i i i i i i i ii g dn dn E dn n   = = = − − =   1 log 0 s i i i i i g E dn n   =   − − =     As, idn represents change in number of particles, therefore 0idn  . log 0i i i g E n      − − =    log log i i i i i i g E n n E g      = +  = − − ( )iEi i n e g  − +  = …… (6) This equation is known as Maxwell Boltzmann law of distribution of distinguishable particles among the energy levels. Where the value of undetermined multiplier  is given by 1 kT  = and  for the molecules of ideal gas with no spin is given by 3/22 2 N h e V mkT   −   =     The energy distribution function ( )if E is the average number of particles per quantum state in the energy level iE . Therefore it is given by ( ) i i i n f E g = ( ) ( ) i iE E if E e e e  − + −− = = Therefore for energy E ( ) E f E e e − − = For the molecules of an ideal gas with no spin 3/22 ( ) 2 E kTN h f E e V mkT −  =     This equation is known as Maxwell Boltzmann energy distribution function.
  • 7.
    Statistical Mechanics (P.A.Nagpure) 7 Maxwell Boltzmann Energy Distribution Law for an Ideal Gas: If the energy levels of the system are very close together, then the number of particles ( )n E dE , whose energies lie in the range E and E+dE is given by ( ) ( ) ( )n E dE f E g E dE= …… (1) Where ( )g E dE , the number of quantum is states of energy between E and E+dE and is given by 3/2 1/2 3 2 ( ) (2 ) E V g E dE m dE h  = …… (2) For the molecules of an ideal gas with no spin 3/22 ( ) 2 E kTN h f E e V mkT −  =     …… (3) Using equation (2) and (3) in equation (1). 3/22 3/2 1/2 3 2 ( ) (2 ) E 2 E kTN h V n E dE e m dE V mkT h   −  =     3/2 1/21 ( ) 2 E E kT n E dE N e dE kT   −  =     This equation is known as Maxwell Boltzmann Energy Distribution Law for the molecules of an Ideal Gas. Maxwell Boltzmann Speed Distribution Law for an Ideal Gas: The Maxwell Boltzmann energy distribution law for the molecules of an ideal gas is 3/2 1/21 ( ) 2 E E kT n E dE N e dE kT   −  =     ….. (1) As the molecules of an ideal gas are non interacting, then all the energy of molecules is kinetic energy. 21 2 E mv= dE mv dv= Using above values in equation (1), we get 2 3/2 1/2 21 ( ) 2 2 mv kTm n v dv N ve mv dv kT   −    =         2 3/2 2 2 ( ) 4 2 mv kTm n v dv N e v dv kT   −  =     This equation is known as Maxwell Boltzmann law of distribution of speeds among the molecules of an ideal gas. Here ( )n v dv is the number of molecules in speed range v and v+dv. Most Probable Speed: Most probable speed of the molecules is the speed at which the number of molecules per unit speed range is maximum. The number of molecules in unit speed range is given by, 2 3/2 2 2 ( ) 4 2 mv kTm n v N e v kT   −  =     Taking log on both sides, we get
  • 8.
    Statistical Mechanics (P.A.Nagpure) 8 2 3 log ( ) log(4 ) log 2log 2 2 2 m mv n v N v kT kT     = + − +    1 ( ) 2 ( ) dn v mv n v dv kT v = − + For most probable speed , ( ) 0 dn v dv = 2 0P P mv kT v − + = 2 2 P kT v m = 2 1.414P kT kT v m m = = Average Speed: The number of molecules in speed range v and v+dv is ( )n v dv The total speeds of these molecules is ( )v n v dv Since the total number of molecules N is distributed among all velocities between zero to infinity, the average speed is given by 0 1 ( )v v n v dv N  =  As, 2 3/2 2 2 ( ) 4 2 mv kTm n v N e v kT   −  =     2 3/2 2 3 0 1 4 2 mv kTm v N e v dv N kT    −  =      2 3/2 2 3 0 4 2 mv kTm v e v dv kT    −  =      1/22 1/22 2 mv kT x v x kT m   =  =     1/2 1/21 2 2 kT dv x dx m −   =     3/2 3/2 1/2 3/2 1/2 0 2 1 2 4 2 2 xm kT kT v e x x dx kT m m    − −      =              1/2 1/2 0 2 1 2 xkT v e xdx m   −    =          2 1 0 0 2 1! 1x x e xdx e x dx   − − − = =  = =  1/2 8 1.596 kT kT v m m   = =   
  • 9.
    Statistical Mechanics (P.A.Nagpure) 9 Root Mean Square Speeds: The number of molecules in speed range v and v+dv is ( )n v dv The sum of the squares of the speeds of these molecules is 2 ( )v n v dv Since the total number of molecules N is distributed among all velocities between zero to infinity, the mean square speed is given by 2 2 0 1 ( )v v n v dv N  =  2 3/2 2 2 4 0 1 4 2 mv kTm v N e v dv N kT    −  =      2 3/2 2 2 4 0 4 2 mv kTm v e v dv kT    −  =      1/22 1/22 2 mv kT x v x kT m   =  =     1/2 1/21 2 2 kT dv x dx m −   =     3/2 2 1/2 2 2 1/2 0 2 1 2 4 2 2 xm kT kT v e x x dx kT m m    − −      =              3/2 1/2 2 3/2 0 2 2 2 2 xm kT kT v e x dx kT m m    −      =              1/2 2 3/2 0 1 4 xkT v e x dx m  −    =          3/2 (5/2) 1 0 0 5 3 1 2 2 2 x x e x dx e x dx    − − − = =  =  1/2 2 1/21 3 1 3 4 ( ) 2 2 kT kT v m m       = =        3 1.732rms kT kT v m m = =
  • 10.
    Statistical Mechanics (P.A.Nagpure) 10 UNIT: II Distinguishable & Indistinguishable Particles: In classical mechanics identical particles do not lose their identity despite the similarity of their physical properties, since individual particles follow sharp trajectories during the course of experiment. As result classical mechanical particles can be distinguished from one another, hence they are distinguishable. As an example consider the molecules of a gas at N.T.P. Molecular density = 1025 molecules/m3 Therefore volume available for each molecule = 10-25 m3 Molecular radius = 10-10 m Therefore volume of molecule = 34 3 r =10-30 m3 As the molecule is much smaller than the volume available for it, hence we can identify every molecule of the gas. Hence they are distinguishable. In quantum mechanics a particle in motion is represented by a wave packet of finite size and spread. Hence there is no way of keeping track of individual particles separately, since wave packets of individual particles considerably overlap to each other. As result quantum mechanical particles cannot be distinguished from one another, hence they are indistinguishable. As an example consider the free electrons in metal Density of free electrons in metal = 1028 m-3 Therefore volume available for each electron = 10-28 m3 For electrons of energy 1eV, the momentum, p = (2mE)1/2 = [2 x 9.1 x 10-31 x 1.6 x 10-19 ]1/2 = 0.5 x 10-24 kg m/sec Minimum uncertainty in position of electron, h q p  =  34 9 24 6.63 10 1.3 10 0.5 10 q m − − −       Therefore volume of the wave packet ( ) 39 27 34 3.14 1.3 10 10 3 m m− −      Thus, for the free electrons in metal volume available is less than volume of its wave packet. i.e, their wave packets overlap considerably. Hence free electrons in metal cannot be identified separately. Hence they are indistinguishable. Bose-Einstein Statistics: It is quantum statistics. The particles obeying this statistics are called Bosons. The Bosons are identical, indistinguishable with spin angular momentum equal to n where, 0,1,2.........n = and there is no restriction on the number of particles in the quantum state i.e, they do not obey Pauli’s exclusion principle. The Bosons have symmetric wave function. Examples of Bosons are photons,  -particles,  - mesons, etc. Consider system of particles in equilibrium at absolute temperature T, total energy U, volume V and total number of particles N. Let 1 2, ,.... ...i sn n n n be the number of particles in the energy levels 1 2, ,... ...i sE E E E respectively and 1 2, ,... ...i sg g g g be the number of quantum states associated with the energy levels. It is evident that,
  • 11.
    Statistical Mechanics (P.A.Nagpure) 11 1 2 .... ...i sn n n n N+ + + + + = 1 s i i n N = = …… (1) 1 1 2 2 .... ...i i s sE n E n E n E n U+ + + + + = 1 s i i i E n U = = …… (2) Taking differential of equation (1) and (2), we get 1 0 s i i dn dN = = = …… (3){As, N and U are constant} 1 0 s i i i E dn dU = = = …… (4) Suppose we have to distribute in indistinguishable particles in ig distinguishable states and there is no restriction on the number of particles in the quantum state. It is similar to distribute in particles about ( 1)ig − partitions. The number of possible distributions is 1i i i n g nC+ − . Therefore total number of possible distributions of all N particles in all quantum states is given by 1 1 2 2 1 2 1 11 1 ....... ........i i S S i S n g n gn g n g n n n nW C C C C+ − + −+ − + − = 1 1 i i i s n g n i W C+ − = =  ( ) ( )1 1 ! ! 1 ! s i i i i i n g W C n g= + − = −  As, 1ig  ( ) 1 ! ! ! s i i i i i n g W n g= + =  This is called thermodynamic probability. Taking log on both sides, we get ( ) 1 ! log log ! ! s i i i i i n g W n g= + =  ( ) 1 1 1 log log ! log ! log ! s s s i i i i i i i W n g n g = = = = + − −   Using Stirling’s formula, we get 1 1 1 log [( )log( ) ( )] ( log ) ( log ) s s s i i i i i i i i i i i i i i i W n g n g n g n n n g g g = = = = + + − + − − − −   1 1 1 1 1 log ( )log( ) ( ) log ( log ) s s s s s i i i i i i i i i i i i i i i i i W n g n g n g n n n g g g = = = = = = + + − + − + − −     Taking differential of above equation, we get
  • 12.
    Statistical Mechanics (P.A.Nagpure) 12 1 1 1 1 1 1 1 1 (log ) ( ) log( ) log ( ) s s s s s s i i i i i i i i i i i i i i i i i ii i i d W n g dn n g dn dn n dn n dn dn n g n= = = = = = = + + + − − − + +       1 1 (log ) log( ) log s s i i i i i i i d W n g dn n dn = = = + −  {As, 1 0 s i i dn = = } 1 ( ) (log ) log s i i i i i n g d W dn n= + =  For most probable distribution (log )d W = 0, therefore 1 ( ) log 0 s i i i i i n g dn n= +  = …….. (5) Using Lagrange’s method undetermined multiplier, i.e, multiplying equation (3) by ( )− & equation (4) by ( )− then adding in equation (5). 1 1 1 ( ) log 0 s s s i i i i i i i i ii n g dn dn E dn n   = = = + − − =   1 ( ) log 0 s i i i i i i n g E dn n   =  + − − =     As, idn represents change in number of particles, therefore 0idn  . ( ) log 0i i i i n g E n    +  − − =    ( )( ) iEi i i n g e n  ++  = ( ) 1 iEi i g e n  +  + = ( ) 1iEi i g e n  +  = − ( ) 1 1i i E i n g e  +  = − This equation is known as Bose Einstein law of distribution of particles among the energy levels. . Fermi-Dirac Statistics: It is quantum statistics. The particles obeying this statistics are called Fermions. The Fermions are identical, indistinguishable with spin angular momentum equal to (2 1) 2n + where, 0,1,2.........n = and there can be only one particle in each quantum state i.e, they obey Pauli’s exclusion principle. The Fermions have anti-symmetric wave function. Examples of Fermions are electrons, protons, neutrons, etc. Consider system of particles in equilibrium at absolute temperature T, total energy U, volume V and total number of particles N. Let 1 2, ,.... ...i sn n n n be the number of particles in the energy levels 1 2, ,... ...i sE E E E respectively and 1 2, ,... ...i sg g g g be the number of quantum states associated with the energy levels. It is evident that, 1 2 .... ...i sn n n n N+ + + + + = 1 s i i n N = = …… (1) 1 1 2 2 .... ...i i s sE n E n E n E n U+ + + + + =
  • 13.
    Statistical Mechanics (P.A.Nagpure) 13 1 s i i i E n U = = …… (2) Taking differential of equation (1) and (2), we get 1 0 s i i dn dN = = = …… (3) {As, N and U are constant} 1 0 s i i i E dn dU = = = …… (4) Suppose we have to distribute in indistinguishable particles in ig distinguishable states and there can be only one particle each in the quantum state. The number of possible distributions is i i g nC . Therefore total number of possible distributions of all N particles in all quantum states is given by 1 1 2 ....... ......i s i s g gg g n n n nW C C C C= 1 i i s g n i W C = =  1 ! !( )! s i i i i i g W n g n= = −  This is called thermodynamic probability. Taking log on both sides, we get 1 ! log log !( )! s i i i i i g W n g n= = −  1 1 1 log log ! log ! log( )! s s s i i i i i i i W g n g n = = = = − − −   Using Stirling’s formula, we get   1 1 1 log ( log ) ( log ) ( )log( ) ( ) s s s i i i i i i i i i i i i i i i W g g g n n n g n g n g n = = = = − − − − − − − −   1 1 1 1 1 log ( log ) log ( )log( ) ( ) s s s s s i i i i i i i i i i i i i i i i i W g g g n n n g n g n g n = = = = = = − − + − − − + −     Taking differential of above equation, we get 1 1 1 1 1 1 1 1 (log ) 0 log ( ) log( ) ( ) s s s s s s i i i i i i i i i i i i i i i i i ii i i d W n dn n dn dn g n dn g n dn dn n g n= = = = = = = − − + + − + − − −       1 1 (log ) log( ) log s s i i i i i i i d W g n dn n dn = = = − −  {As, 1 0 s i i dn = = } 1 ( ) (log ) log s i i i i i g n d W dn n= − =  For most probable distribution (log )d W = 0, therefore 1 ( ) 0 log s i i i i i g n dn n= − =  …….. (5) Using Lagrange’s method undetermined multiplier, i.e, multiplying equation (3) by ( )− & equation (4) by ( )− then adding in equation (5).
  • 14.
    Statistical Mechanics (P.A.Nagpure) 14 1 1 1 ( ) log 0 s s s i i i i i i i i ii g n dn dn E dn n   = = = − − − =   1 ( ) log 0 s i i i i i i g n E dn n   =  − − − =     As, idn represents change in number of particles, therefore 0idn  . ( ) log 0i i i i g n E n    −  − − =    ( ) log i i i i g n E n   −  = + ( ) 1 iEi i g e n  +  − = ( ) 1iEi i g e n  +  = + ( ) 1 1i i E i n g e  +  = + This equation is known as Fermi Dirac law of distribution of particles among the energy levels. Applications of Fermi-Dirac Statistics: Fermi Function & Fermi Energy: The metal consists of large number of free electrons, which are free to move within the metal surface. The free electrons are bound to move within the metal due to electrostatic force of attraction. The electrons are fermions with spin angular momentum 2 . Thus such system of large number of electrons moving freely inside the metal is an example of Fermi gas. Consider system of N electrons. Let 1 2, ,.... ...i sn n n n be the number of electrons in the energy levels 1 2, ,... ...i sE E E E respectively and 1 2, ,... ...i sg g g g be the number of quantum states associated with the energy levels. According to Fermi Dirac statistics, most probable distribution is given by, ( ) 1 1i i E i n g e  + = + ……… (1) As ( ) is dimension less constant, hence we can put FE kT  = − This means that in this system, EF is constant with units of energy corresponding to a particular temperature T. Also 1 kT  = , using these values in equation (1), we have ( )/ 1 1i F i E E kT i n g e − = + Thus, We denote by ( ) and it is called as Fermi Function for i th energy level.i i i n F E g ( )/ 1 ( ) 1i F i E E kT F E e − = + ……. (2) This expression gives the probability that particular quantum state of energy Ei is occupied at temperature T.
  • 15.
    Statistical Mechanics (P.A.Nagpure) 15 Now discuss the effect temperature on Fermi function. I) At absolute zero temperature (T=0 K): a) Suppose that Ei is smaller than EF i.e, for Ei << EF at absolute zero, equation (2) leads to 1 ( ) 1 1 iF E e− = = + That is quantum state of energy Ei is occupied. b) Suppose that Ei is greater than EF i.e, for Ei >> EF at absolute zero, equation (2) leads to 1 ( ) 0 1 iF E e = = + That is quantum state of energy Ei is empty. Thus at absolute zero temperature all states with energies less than EF are filled and all states with energies more than EF are vacant. These situations are shown in figure. This defines the constant EF as the maximum energy which can be possessed by the free electron in metal at absolute zero temperature, and it is named as the Fermi energy. Thus Fermi energy is defined as “the energy of the highest occupied level at absolute zero”. II) At temperatures other than absolute zero: a) For the states with energy equal to EF i.e, at EF = Ei we get 0 1 1 ( ) 21 iF E e = = + b) For the states with energy less than EF i.e, at EF >> Ei the value of F(Ei)increases from ½ as Ei decreases from EF (i.e, As Ei →0, F(Ei )→1) c) For the states with energy greater than EF i.e, at EF << Ei the value of F(Ei)decreases from ½ as Ei increases from EF (i.e, As Ei → , F(Ei )→0) These situations are shown in figure. “Thus Fermi Energy at any temperature is defined as “the energy of the level with quantum states 50% occupied and 50% empty”. Fermi Dirac Energy Distribution Law for Fermi Gas (Free Electrons in Metal): The energy levels of the system are very close together, then the number of particles ( )n E dE , with energies between E and E+dE is given by ( ) ( ) ( )n E dE F E g E dE= …… (1) Where ( )g E dE , the number of quantum is states of energy between E and E+dE and is given by 3/2 1/2 3 2 ( ) (2 ) E V g E dE m dE h  = For particles like electrons of spin angular momentum 1 2  , there two possible spin orientations. For a system of such particles ( )g E dE is given by 3/2 1/2 3 2 ( ) 2 (2 ) E V g E dE m dE h  = …… (2)
  • 16.
    Statistical Mechanics (P.A.Nagpure) 16 ( )/ 1 ( ) 1FE E kT F E e − = + …… (3) Using equation (2) and (3) in equation (1). 1/2 3/2 3 ( )/ 4 E ( ) (2 ) 1FE E kT V n E dE m dE h e  − = + This equation is known as Fermi Energy Distribution Law for the free electrons in metal. This gives the number of electron with energies between E and E+dE. Expression for Fermi Energy for Free Electrons in a Metal at Absolute Zero Temperature (EFo): The total number N of the free electrons in a metal of volume V is given by 0 ( )N n E dE  =  As, ( ) ( ) ( )n E dE F E g E= 0 ( ) ( )N F E g E dE   =  0 0 0 ( ) ( ) + ( ) ( ) F F E E N F E g E dE F E g E dE   =   We know that at T =0, if E< EFo, then F(E)= 1 and at T =0, if E> EFo, then F(E)= 0. Hence above equation becomes 0 0 ( ) FE N g E dE =  As, ( )g E dE is given by 3/2 1/2 3 4 ( ) (2 ) E V g E dE m dE h  = 0 3/2 1/2 3 0 4 (2 ) E FE V N m dE h   =  0 3/2 3/2 3 4 2 (2 ) E 3 F V N m h   = 0 3/2 3/2 3 8 (2 ) E 3 F V N m h   = This expression gives total number of electrons in the metal at absolute zero. 0 2 3/2 3/23 E = ( ) 8 2 F N h V m  Taking 2/3 rd power on both sides, we get 0 2/32 3 E = 2 8 F h N m V      0 2/32 3 E = 2 8 F h n m       Where, n=N/V=number of free electrons per unit volume. This expression gives Fermi energy of electrons in the metal at absolute zero.
  • 17.
    Statistical Mechanics (P.A.Nagpure) 17 Total energy at absolute zero temperature: The total energy of electrons at absolute zero temperature is given by 0 0 0 E ( ) FE E n E dE=  0 0 0 E g( ) FE E E dE =  3/2 1/2 3 4 As ( ) (2 ) E V g E dE m dE h  = 0 3/2 3/2 0 3 0 4 (2 ) E FE V E m dE h   =  0 3/2 5/2 0 3 8 (2 ) E 5 F V E m h   = 0 3/2 3/2 3 8 Since (2 ) 3 F V N m E h  = 0 5/2 0 3 E 5 FE N = 0 5/20 3 E 5 F E N  = Thus the average energy per electron at absolute zero (T=0K) is equal to 3/5 times the Fermi energy. Application of Bose-Einstein Statistics: Planck’s Law of Black Body Radiation: In on order to derive Planck’s law, let us consider a black body chamber of volume V kept at constant temperature T and filled with radiant energy that can be considered as assembly of photons. If the number of photons in the chamber is very large, the spacing between two successive energy levels becomes very small making the energy levels almost continuous. Thus if the energy of photons in the range E to E+dE , the degenerate states gi should be replaced by g(E)dE and the total number of photons ni in these states should be replaced by n(E)dE in B-E distribution function. Hence the number of photons having energy range between E to E+dE can be written as ( ) ( ) ( ) 1E g E dE n E dE e  + = − ……… (1) In case of black body radiation, the total number of particles is not conserved because photons are absorbed and re-emitted frequently by the walls of the chamber. i.e. 0 0i i dN   = We know that 1 kT  = Hence equation (1) gives
  • 18.
    Statistical Mechanics (P.A.Nagpure) 18 ( ) ( ) 1E kT g E dE n E dE e = − ……… (2) Now the number of quantum states corresponding to momentum range p to p+dp is 2 3 4 ( ) s Vp dp g p dp g h  = where, gs is the spin degeneracy of a quantum state. Since a photon has two spin orientations in transverse direction, gs=2 for photons. 2 3 8 ( ) Vp dp g p dp h  = ……… (3) The energy of a photon of frequency ν is E= h ν and so its momentum is p= h ν/c ,where c is the speed photon in free space. h dp d c  = Substituting the values of p and dp in equation (3), we get the number of quantum states having frequency range between ν to ν+d ν as 2 3 8 ( ) V g d d c     = Hence equation (2) in terms of ν we get 2 3 ( ) 8 ( ) 1 1h kT h kT g d V d N d e c e         = = − − It gives the number of photons having frequency range between ν to ν+d ν in the chamber of volume V at temperature T. Therefore, the energy density of photons within frequency range between ν to ν+d ν is given by 3 3 ( ) 8 ( ) 1h kT N d h d u d h V c e         = = − This is the Planck’s law of black body radiation.