1
INTRODUCTION
1. The Bulk Power Supply
2. Reliability criteria
• The 2 components
• Security assessment from operators view
• Requirements of a reliable electric service
• NERC
3. Reliability criteria
• Disturbance-performance table
• How are they used
• Security states
4. System operating limits
2
INTRODUCTION
1. The Bulk Power Supply System
• Elaborate, complex, interconnection of power components which
make up an interconnected power system.
• When we talk about reliability and security of power systems, we are
interested in what we call “THE BULK POWER SUPPLY SYSTEM”
• The part of the network which connects the power plants, the major
substations, and the main EHV/HV lines.
• Interruptions in the bulk power supply are very serious
- Many users are affected by these interruptions
- They can be costly
• They are to be avoided, and much effort is spent to do that
3
2. RELIABILITY CRITERIA
Power Systems are built and operated with the following goal:
TO ACHIEVE A RELIABLE and ECONOMIC ELECTRIC POWER SUPPLY.
For the consumer to have a reliable and economic electric power
supply, a complex set of engineering analysis and design
solutions need to be implemented.
Reliability of a power system refers to the probability of its
satisfactory operation over the long run. It denotes the ability to
supply adequate electric service on a nearly continuous basis,
with few interruptions over an extended time period.
- IEEE Paper on Terms & Definitions, 2004
4
Security and Adequacy
Security is the ability of the electric
systems to withstand sudden disturbances
such as electric short circuits or
unanticipated loss of system elements.
Adequacy is the ability of the electric systems to supply the
aggregate electrical demand and energy requirements of their
customers at all times, taking into account scheduled and
reasonably expected unscheduled outage of system elements.
Security of a power system refers to the degree of risk in its ability to
survive imminent disturbances (contingencies) without interruption of
customer service. It relates to robustness of the system to imminent
disturbances and, hence, depends on the system operating condition as
well as the contingent probability of disturbances. (IEEE TermsDefs-’04)
5
Difference between reliability and security
• Reliability is the overall objective in power system design and operation.
To be reliable, the power system must be secure most of the time.
• Security is a time-varying attributes which can be judged by studying the
performance of the power system under a particular set of conditions.
Reliability, on the other hand, is a function of the time-average
performance of the power system; it can only be judged by
consideration of the system’s behavior over an appreciable period of
time.
- IEEE Paper on Terms and Definitions, 2004
6
An operator’s view of “security”
Security
Overload
Security
Voltage
Security
Angle/
Frequency
security
Trans-
former
Overload
Line
Overload
Voltage
magnitude
out of limits
Unstable
Voltage
Frequency
instability
Rotor angle
instability
“Any consequence of a
credible disturbance
that requires a limit”
Static security (our interest) Dynamic security
7
Another View of “Security”
Security = dynamic security
Adequacy = static security
This view is strongly held by engineers that have been deeply
involved with “reliability”assessment tools for planning such as
TRELLS, Tplan, etc., which compute probabilistic indices based on
static security assessment. They will tell you that their tools are
concerned with adequacy, not security.
You must note the person’s background who uses the term “Security” in
order to understand the meaning being implied.
8
REQUIREMENTS OF A RELIABLE ELECTRIC POWER SERVICE
• Steady-state and transient voltages and frequency must be held
within close tolerances
• Steady-state flows must be within circuit limits
• Synchronous generators must be kept running in parallel with
adequate capacity to meet the load demand
• Maintain “integrity” of bulk power network: avoid cascading outages
NERC, North American Electric Reliability Corporation:
Mission is to ensure reliability of the bulk power system in North
America. They develop/enforce reliability standards; assess reliability
annually via 10-year and seasonal forecasts; monitor the bulk power
system; evaluate users, owners, and operators for preparedness; and
educate, train, and certify industry personnel. NERC is a self-
regulated organization, subject to oversight by the U.S. Federal
Energy Regulatory Commission & governmental authorities in
Canada. It is composed of 9 regional reliability councils &
encompasses virtually all power systems in US & Canada. NERC’s
activities play an essential role in preventing contingencies and
mitigating their consequences.
9
Interconnections
10
11
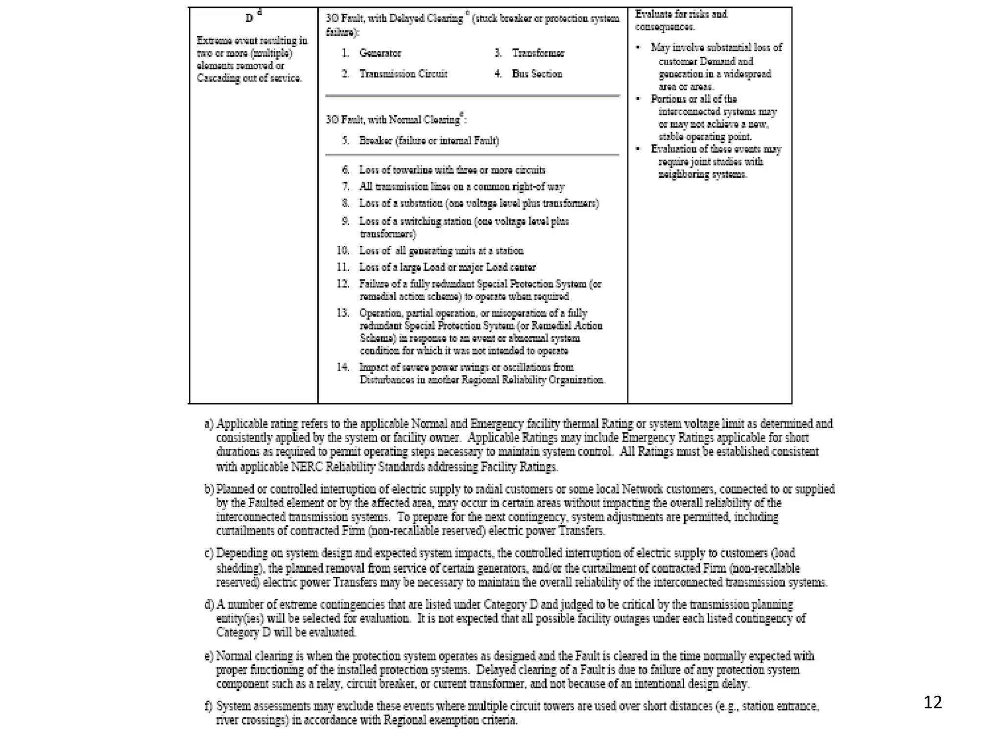
The Disturbance-Performance Table is the heart of reliability criteria
Disturbance
12
13
HOW ARE RELIABILITY CRITERIA USED?
A) In System Planning or Design
– Make decisions on size, type and timing of new generation
and transmission facilities
– Design transmission network to withstand normal &
prescribed abnormal conditions
– The latter includes such things as short circuits (faults)
followed by loss of major components (to isolate the fault).
B) In System Operation
– Establish most economic operating conditions under “normal”
conditions
– Operate the system such that if an unscheduled event occurs,
it does not result in violation of reliability criteria.
– Establish “Safe Operating Limits” for all situations
14
Off-economic
dispatch
Power system operational “states” & actions
(given with respect to credible contingency list)
Normal (secure)
Emergency
Restorative
Extreme emergency.
Separation, cascading
delivery point
interruption,
load shedding
Alert,
Not secure
Other actions
(e.g. switching)
Controlled load
curtailment
15
Some comments about the previous slide:
• The use of criteria ensures (and the diagram illustrates that), for all
credible contingencies, the system will, at worst transit from the
normal state to the alert state, rather than to a more severe state
such as the emergency state or the in extremis state.
• If a system is operated according to criteria, the system can
transition from normal state to emergency or in extremis state
only for a non-credible (extreme) contingency.
• When the alert state is entered following a contingency, operators
can take actions to return the system to the normal state, but such
actions should not include load shedding.
• Load shedding should only be performed under emergencies.
16
System operating limits (SOLs)
System Operating Limits (SOL) are the values of operating
parameters (MW, MVar, Amperes, Frequency or Volts) that satisfies
the most limiting of the prescribed operating criteria for a specified
system configuration to ensure operation within acceptable
reliability criteria. SOL are based upon ensuring operating
conditions are within pre- and post-contingency…
•Facility Ratings
•Transient Stability Ratings
•Voltage Stability Ratings
•System Voltage Limits
17
System operating limits
1200
MW
300 MW
900 MW
Bus 1
Bus 2
Bus 3
Question 2: What is maximum
cct 1-3 flow such that reliability
criteria is satisfied?
Continuous rating=1200MW
Emergency rating=1300 MW
X13=1
X12=1
X23=1
Question 1: Is it “secure”?
18
Treating power as if it is current….
A very basic relation for power system engineers expresses the real
power flow across a transmission circuit as:
(1)
Here, φ is the angle by which the voltage leads the current and is called
the power factor angle.
If we assume that electric loads are purely resistive, so that only real
power flows in the network, then φ≈0 (φ will not be exactly zero because
of line reactance). In this case, eq. (1) is:
(2)
 cos12112 IVP 
12112 IVP 
P12
PD2PD1
jx12
V2V1
PG2
PG1
19
Treating power as if it is current….
A basic fact of power system is that the voltages usually do not deviate
significantly from their nominal value. Under a system of
normalization (called per-unit), where all voltages are normalized with
respect to this nominal voltage, it will be the case that |Vk|≈1.0. As a
result, eq. (2) becomes:
(3)1212 IP 
In other words, the numerical value of the real power flowing on the circuit is
the same as the numerical value of the current magnitude flowing on that
circuit (under the system of normalization).
Useful conclusion: If we assume voltage magnitudes are all unity, and all
loads are purely resistive, then whatever rules we have of dealing with
currents also work with real pu power flows! (or Sbase×pu pwr flws)
20
Two good approximations for parallel flows
1. Current division: For 2 parallel paths A and B,
power flows on path A according to
900 MW
900 MW
Bus 1
Bus 2
Bus 3
X23=1
X13=1
X12=1
300
300
12
1
900 

BA
B
Total
XX
X
P

600
12
2
900 

21
300 MW
300 MW
Bus 1
Bus 2
Bus 3
1. Current division: For 2 parallel paths A and B,
power flows on path A according to
BA
B
Total
XX
X
P

100
100
12
1
300 

200
12
2
300 

X23=1
X13=1
X12=1
Two good approximations for parallel flows
22
1200 MW
300 MW
200
100
100
900 MW
300
600
300
Total=700
Total=200
Total=500
Bus 1
Bus 2
Bus 3
Continuous rating=1200MW
Emergency rating=1300 MW
IS IT SATISFYING
RELIABILITY CRITERIA?
2. Superposition: Results of 2 independent calculations
will add
Two good approximations for parallel flows
23
System operating limits
1200 MW
300 MW
900 MW
Continuous rating=1200MW
Emergency rating=1300 MW
IS IT SATISFYING
RELIABILITY CRITERIA?
Total=1200
Bus 1
Bus 2
Bus 3
Lose Cct 2-3!
YES!!!
The answer to Question 1: Is
it “secure”?
24
System operating limits
1200 MW
300 MW
900 MW
Total=700
Total=200
Total=500
Bus 1
Bus 2
Bus 3
Question 2: What is
maximum cct 1-3 flow
such that reliability
criteria is satisfied?
Depends on how flow is increased:
assume stress direction of Bus1/Bus3.
Desire precontingency limits to
reflect postcontingency effects
25
System operating limits
1300 MW
300 MW
200
100
100
1000MW
333
667
333
Total=767
Total=233
Total=533
Bus 1
Bus 2
Bus 3
Continuous rating=1200MW
Emergency rating=1300 MW
IS IT SATISFYING
RELIABILITY CRITERIA?
Question 2: What is
maximum cct 1-3 flow
such that reliability
criteria is satisfied?
26
System operating limits
1300 MW
300 MW
1000MW
Continuous limit=1200MW
Emergency limit=1300 MW
IS IT SATISFYING
RELIABILITY CRITERIA?
Total=1300
Bus 1
Bus 2
Bus 3
Lose Cct 2-3!
It is right at the limit!
27
System operating limits
1200 MW
300 MW
900 MW
Total=700
Total=200
Total=500
Bus 1
Bus 2
Bus 3
Question 2: What is maximum cct 1-3
flow such that reliability criteria is
satisfied?
SOL=767
Answer
28
System operating limits
It is common to develop x-y plots of operational parameters to communicate system
limits. Such plots are called nomograms. They may communicate limits for any kind of
security problem (overload, voltage, transient or oscillatory instability)
200 400 600 800 1000 1200 1400 1600 1800 2000 2200 2400 2600 2800 3000
200
400
600
800
1000
1200
1400
1600
1800
2000
2200
2400
2600
2800
3000
INSECURE!

Interconnection power system

  • 1.
    1 INTRODUCTION 1. The BulkPower Supply 2. Reliability criteria • The 2 components • Security assessment from operators view • Requirements of a reliable electric service • NERC 3. Reliability criteria • Disturbance-performance table • How are they used • Security states 4. System operating limits
  • 2.
    2 INTRODUCTION 1. The BulkPower Supply System • Elaborate, complex, interconnection of power components which make up an interconnected power system. • When we talk about reliability and security of power systems, we are interested in what we call “THE BULK POWER SUPPLY SYSTEM” • The part of the network which connects the power plants, the major substations, and the main EHV/HV lines. • Interruptions in the bulk power supply are very serious - Many users are affected by these interruptions - They can be costly • They are to be avoided, and much effort is spent to do that
  • 3.
    3 2. RELIABILITY CRITERIA PowerSystems are built and operated with the following goal: TO ACHIEVE A RELIABLE and ECONOMIC ELECTRIC POWER SUPPLY. For the consumer to have a reliable and economic electric power supply, a complex set of engineering analysis and design solutions need to be implemented. Reliability of a power system refers to the probability of its satisfactory operation over the long run. It denotes the ability to supply adequate electric service on a nearly continuous basis, with few interruptions over an extended time period. - IEEE Paper on Terms & Definitions, 2004
  • 4.
    4 Security and Adequacy Securityis the ability of the electric systems to withstand sudden disturbances such as electric short circuits or unanticipated loss of system elements. Adequacy is the ability of the electric systems to supply the aggregate electrical demand and energy requirements of their customers at all times, taking into account scheduled and reasonably expected unscheduled outage of system elements. Security of a power system refers to the degree of risk in its ability to survive imminent disturbances (contingencies) without interruption of customer service. It relates to robustness of the system to imminent disturbances and, hence, depends on the system operating condition as well as the contingent probability of disturbances. (IEEE TermsDefs-’04)
  • 5.
    5 Difference between reliabilityand security • Reliability is the overall objective in power system design and operation. To be reliable, the power system must be secure most of the time. • Security is a time-varying attributes which can be judged by studying the performance of the power system under a particular set of conditions. Reliability, on the other hand, is a function of the time-average performance of the power system; it can only be judged by consideration of the system’s behavior over an appreciable period of time. - IEEE Paper on Terms and Definitions, 2004
  • 6.
    6 An operator’s viewof “security” Security Overload Security Voltage Security Angle/ Frequency security Trans- former Overload Line Overload Voltage magnitude out of limits Unstable Voltage Frequency instability Rotor angle instability “Any consequence of a credible disturbance that requires a limit” Static security (our interest) Dynamic security
  • 7.
    7 Another View of“Security” Security = dynamic security Adequacy = static security This view is strongly held by engineers that have been deeply involved with “reliability”assessment tools for planning such as TRELLS, Tplan, etc., which compute probabilistic indices based on static security assessment. They will tell you that their tools are concerned with adequacy, not security. You must note the person’s background who uses the term “Security” in order to understand the meaning being implied.
  • 8.
    8 REQUIREMENTS OF ARELIABLE ELECTRIC POWER SERVICE • Steady-state and transient voltages and frequency must be held within close tolerances • Steady-state flows must be within circuit limits • Synchronous generators must be kept running in parallel with adequate capacity to meet the load demand • Maintain “integrity” of bulk power network: avoid cascading outages NERC, North American Electric Reliability Corporation: Mission is to ensure reliability of the bulk power system in North America. They develop/enforce reliability standards; assess reliability annually via 10-year and seasonal forecasts; monitor the bulk power system; evaluate users, owners, and operators for preparedness; and educate, train, and certify industry personnel. NERC is a self- regulated organization, subject to oversight by the U.S. Federal Energy Regulatory Commission & governmental authorities in Canada. It is composed of 9 regional reliability councils & encompasses virtually all power systems in US & Canada. NERC’s activities play an essential role in preventing contingencies and mitigating their consequences.
  • 9.
  • 10.
  • 11.
    11 The Disturbance-Performance Tableis the heart of reliability criteria Disturbance
  • 12.
  • 13.
    13 HOW ARE RELIABILITYCRITERIA USED? A) In System Planning or Design – Make decisions on size, type and timing of new generation and transmission facilities – Design transmission network to withstand normal & prescribed abnormal conditions – The latter includes such things as short circuits (faults) followed by loss of major components (to isolate the fault). B) In System Operation – Establish most economic operating conditions under “normal” conditions – Operate the system such that if an unscheduled event occurs, it does not result in violation of reliability criteria. – Establish “Safe Operating Limits” for all situations
  • 14.
    14 Off-economic dispatch Power system operational“states” & actions (given with respect to credible contingency list) Normal (secure) Emergency Restorative Extreme emergency. Separation, cascading delivery point interruption, load shedding Alert, Not secure Other actions (e.g. switching) Controlled load curtailment
  • 15.
    15 Some comments aboutthe previous slide: • The use of criteria ensures (and the diagram illustrates that), for all credible contingencies, the system will, at worst transit from the normal state to the alert state, rather than to a more severe state such as the emergency state or the in extremis state. • If a system is operated according to criteria, the system can transition from normal state to emergency or in extremis state only for a non-credible (extreme) contingency. • When the alert state is entered following a contingency, operators can take actions to return the system to the normal state, but such actions should not include load shedding. • Load shedding should only be performed under emergencies.
  • 16.
    16 System operating limits(SOLs) System Operating Limits (SOL) are the values of operating parameters (MW, MVar, Amperes, Frequency or Volts) that satisfies the most limiting of the prescribed operating criteria for a specified system configuration to ensure operation within acceptable reliability criteria. SOL are based upon ensuring operating conditions are within pre- and post-contingency… •Facility Ratings •Transient Stability Ratings •Voltage Stability Ratings •System Voltage Limits
  • 17.
    17 System operating limits 1200 MW 300MW 900 MW Bus 1 Bus 2 Bus 3 Question 2: What is maximum cct 1-3 flow such that reliability criteria is satisfied? Continuous rating=1200MW Emergency rating=1300 MW X13=1 X12=1 X23=1 Question 1: Is it “secure”?
  • 18.
    18 Treating power asif it is current…. A very basic relation for power system engineers expresses the real power flow across a transmission circuit as: (1) Here, φ is the angle by which the voltage leads the current and is called the power factor angle. If we assume that electric loads are purely resistive, so that only real power flows in the network, then φ≈0 (φ will not be exactly zero because of line reactance). In this case, eq. (1) is: (2)  cos12112 IVP  12112 IVP  P12 PD2PD1 jx12 V2V1 PG2 PG1
  • 19.
    19 Treating power asif it is current…. A basic fact of power system is that the voltages usually do not deviate significantly from their nominal value. Under a system of normalization (called per-unit), where all voltages are normalized with respect to this nominal voltage, it will be the case that |Vk|≈1.0. As a result, eq. (2) becomes: (3)1212 IP  In other words, the numerical value of the real power flowing on the circuit is the same as the numerical value of the current magnitude flowing on that circuit (under the system of normalization). Useful conclusion: If we assume voltage magnitudes are all unity, and all loads are purely resistive, then whatever rules we have of dealing with currents also work with real pu power flows! (or Sbase×pu pwr flws)
  • 20.
    20 Two good approximationsfor parallel flows 1. Current division: For 2 parallel paths A and B, power flows on path A according to 900 MW 900 MW Bus 1 Bus 2 Bus 3 X23=1 X13=1 X12=1 300 300 12 1 900   BA B Total XX X P  600 12 2 900  
  • 21.
    21 300 MW 300 MW Bus1 Bus 2 Bus 3 1. Current division: For 2 parallel paths A and B, power flows on path A according to BA B Total XX X P  100 100 12 1 300   200 12 2 300   X23=1 X13=1 X12=1 Two good approximations for parallel flows
  • 22.
    22 1200 MW 300 MW 200 100 100 900MW 300 600 300 Total=700 Total=200 Total=500 Bus 1 Bus 2 Bus 3 Continuous rating=1200MW Emergency rating=1300 MW IS IT SATISFYING RELIABILITY CRITERIA? 2. Superposition: Results of 2 independent calculations will add Two good approximations for parallel flows
  • 23.
    23 System operating limits 1200MW 300 MW 900 MW Continuous rating=1200MW Emergency rating=1300 MW IS IT SATISFYING RELIABILITY CRITERIA? Total=1200 Bus 1 Bus 2 Bus 3 Lose Cct 2-3! YES!!! The answer to Question 1: Is it “secure”?
  • 24.
    24 System operating limits 1200MW 300 MW 900 MW Total=700 Total=200 Total=500 Bus 1 Bus 2 Bus 3 Question 2: What is maximum cct 1-3 flow such that reliability criteria is satisfied? Depends on how flow is increased: assume stress direction of Bus1/Bus3. Desire precontingency limits to reflect postcontingency effects
  • 25.
    25 System operating limits 1300MW 300 MW 200 100 100 1000MW 333 667 333 Total=767 Total=233 Total=533 Bus 1 Bus 2 Bus 3 Continuous rating=1200MW Emergency rating=1300 MW IS IT SATISFYING RELIABILITY CRITERIA? Question 2: What is maximum cct 1-3 flow such that reliability criteria is satisfied?
  • 26.
    26 System operating limits 1300MW 300 MW 1000MW Continuous limit=1200MW Emergency limit=1300 MW IS IT SATISFYING RELIABILITY CRITERIA? Total=1300 Bus 1 Bus 2 Bus 3 Lose Cct 2-3! It is right at the limit!
  • 27.
    27 System operating limits 1200MW 300 MW 900 MW Total=700 Total=200 Total=500 Bus 1 Bus 2 Bus 3 Question 2: What is maximum cct 1-3 flow such that reliability criteria is satisfied? SOL=767 Answer
  • 28.
    28 System operating limits Itis common to develop x-y plots of operational parameters to communicate system limits. Such plots are called nomograms. They may communicate limits for any kind of security problem (overload, voltage, transient or oscillatory instability) 200 400 600 800 1000 1200 1400 1600 1800 2000 2200 2400 2600 2800 3000 200 400 600 800 1000 1200 1400 1600 1800 2000 2200 2400 2600 2800 3000 INSECURE!