INTEGRAL FUNGSI RASIONAL DENGAN PECAHAN PARSIAL
Makalah Ini Disusun untuk Memenuhi Tugas Mata Kuliah Kalkulus II
Dosen Pengampu : Dra. Afidah Mas’ud
Kelas : 3A
Di susun oleh:
Sari Juniatun Nikmah (11140170000010)
Fitria Maghfiroh (11140170000018)
Robiatul Adawiyah (11140170000026)
JURUSAN PENDIDIKAN MATEMATIKA
FAKULTAS ILMU TARBIYAH DAN KEGURUAN
UIN SYARIF HIDAYATULLAH
JAKARTA
2015
Pada makalah ini akan dibahas mengenai bagaimana mengintegralkan suatu
fungsi rasional (suatu rasio dari polinom) dengan menyatakannya dalam fraksi/pecahan
parsial (jumlah pecahan yang lebih sederhana). Untuk mengilustrasikan metode pecahan
parsial, amati bahwa dengan menyamakan penyebut dari pecahan 3/(x-1) dan 2/(x+2),
maka akan diperoleh :
3
𝑥 + 1
−
2
𝑥 − 2
=
3( 𝑥 − 2) − 2( 𝑥 + 1)
( 𝑥 + 1)( 𝑥 − 2)
=
𝑥 − 8
𝑥2 − 𝑥 − 2
Jika sekarang membalik langkah di atas yakni dengan mengintegralkan fungsi
di ruas kanan, maka akan diperoleh persamaan seperti di bawah ini :
∫
𝑥 − 8
𝑥2 − 𝑥 − 2
𝑑𝑥 = ∫(
3
𝑥 + 1
−
2
𝑥 − 2
) 𝑑𝑥 = 3 𝑙𝑛| 𝑥 + 1| − 2 𝑙𝑛| 𝑥 − 2| + 𝐶
Untuk melihat bagaimana metode pecahan parsial tersebut bekerja secara
umum, perhatikan fungsi rasional di bawah ini :
𝑓( 𝑥) =
𝑃(𝑥)
𝑄(𝑥)
dengan P dan Q adalah polinom. Dapat dinyatakan f sebagai jumlah dari pecahan yang
lebih sederhana, dengan syarat bahwa derajat P lebih kecil daripada derajat Q. Fungsi
rasional seperti itu disebut wajar/sejati. Ingat kembali bahwa jika
𝑃( 𝑥) = 𝑎 𝑛 𝑥 𝑛
+ 𝑎 𝑛−1 𝑥 𝑛−1
+ ⋯+ 𝑎1 𝑥 + 𝑎0
dengan 𝑎 𝑛 ≠ 0, maka derajat P adalah n dan kita tulis deg (P) = n
Jika f tak sejati/tak wajar, yakni deg(𝑃) ≥ deg(𝑄), maka sebelumnya harus
mengambil langkah awal yaitu dengan membagi Q dengan P (dengan pembagian
panjang) sampai sisa R(x) diperoleh sedemikian rupa sehingga deg ( 𝑅) < deg ( 𝑄).
Hasil pembagiannya adalah sebagai berikut
𝑓( 𝑥) =
𝑃(𝑥)
𝑄(𝑥)
= 𝑆( 𝑥) +
𝑅(𝑥)
𝑄(𝑥)
dengan S dan R adalah polinom juga.
Langkah selanjutnya adalah memfaktorkan penyebut Q(x) setuntas-tuntasnya.
Dapat ditunjukan bahwa sebarang polinom Q dapat difaktorkan sebagai hasil kali faktor
linear (berbentuk ax+b) dan faktor kuadratik yang tak dapat diuraikan (berbentuk
ax2+bx+c, dengan b2-4ac < 0).
Langkah ketiga adalah menyatakan fungsi rasional sejati R(x)/Q(x) sebagai
jumlah dari fraksi parsial yang berbentuk
𝐴
(𝑎𝑥 + 𝑏)𝑖
𝑎𝑡𝑎𝑢
𝐴𝑥 + 𝐵
(𝑎𝑥2 + 𝑏𝑥 + 𝑐) 𝑗
Teorema dalam aljabar menjamin bahwa hal ini selalu mungkin untuk
dilakukan. Diuraikan secara rinci dengan empat kasus yang terjadi di bawah ini.
KASUS I Penyebut Q(x) adalah hasil kali faktor-faktor linier yang berbeda
Dapat dituliskan sebagai berikut:
𝑄( 𝑥) = ( 𝑎1 𝑥 + 𝑏1)( 𝑎2 𝑥 + 𝑏2)… ( 𝑎 𝑘 𝑥 + 𝑏 𝑘)
tanpa ada faktor yang berulang. Dalam hal ini, teorema pecahan parsial menyatakan
bahwa ada konstanta A1, A2, A3, … ,Ak. sehingga,
𝑅(𝑥)
𝑄(𝑥)
=
𝐴1
𝑎1 𝑥 + 𝑏1
+
𝐴2
𝑎2 𝑥 + 𝑏2
+ … +
𝐴 𝑘
𝑎 𝑘 𝑥 + 𝑏 𝑘
Contoh Soal KASUS I
Soal Latihan halaman 596 nomor 56
(James Stewart. Kalkulus Edisi Keempat Jilid 1. Jakarta:Erlangga. 2002)
Hitunglah
∫
2𝑥 + 1
4𝑥2 + 12𝑥 − 7
𝑑𝑥
Penyelesaian:
Karena derajat pembilang lebih kecil daripada derajat penyebut, kita tidak perlu
membagi. Kita faktorkan penyebutnya sebagai berikut
4𝑥2
+ 12𝑥 − 7 = (2𝑥 − 1)(2𝑥 + 7)
Karena penyebutnya memiliki dua faktor linear yang berbeda, dekomposisi pecahan
parsial dari integran di atas berbentuk
2𝑥 + 1
(2𝑥 − 1)(2𝑥 + 7)
=
𝐴
(2𝑥 − 1)
+
𝐵
(2𝑥 + 7)
Untuk menentukan nilai A dan B, kalikan kedua ruas persamaan ini dengan hasil kali
dari penyebut-penyebutnya, (2𝑥 − 1)(2𝑥 + 7), dan diperoleh
2𝑥 + 1 = 𝐴(2𝑥 + 7) + 𝐵(2𝑥 − 1)
Dengan menguraikan ruas kanan persamaan diatas dan menuliskannya dalam bentuk
polinom standar, maka diperoleh
2𝑥 + 1 = 2𝐴𝑥 + 7𝐴 + 2𝐵𝑥 − 𝐵
2𝑥 + 1 = (2𝐴 + 2𝐵) 𝑥 + 7𝐴 − 𝐵
Kedua polinom dalam persamaan di atas identik, sehingga koefisien keduanya sama.
Koefisien 𝑥 pada ruas kanan, harus sama dengan koefisien 𝑥 pada ruas kiri, yaitu 2.
Begitu juga dengan koefisien dan suku-suku konstanta sama. Semua itu memberikan
sistem persamaan berikut untuk A dan B:
(2𝐴 + 2𝐵)𝑥 = 2𝑥 → 2𝐴 + 2𝐵 = 2
7𝐴 − 𝐵 = 1
Eliminasi kedua persamaan (2𝐴 + 2𝐵 = 2)x1 → 2𝐴 + 2𝐵 = 2
( 7𝐴− 𝐵 = 1)x2 → 14𝐴 − 2𝐵 = 2 +
16𝐴 = 4 → 𝐴 =
1
4
Subtitusikan 𝐴 =
1
4
ke persamaan 2𝐴 + 2𝐵 = 2 maka diperoleh 𝐵 =
3
4
∫
2𝑥 + 1
4𝑥2 + 12𝑥 − 7
𝑑𝑥 = ∫ [
1
4
2𝑥 − 1
+
3
4
2𝑥 + 7
]𝑑𝑥
∫
2𝑥 + 1
4𝑥2 + 12𝑥 − 7
𝑑𝑥 =
1
4
∫
1
2𝑥 − 1
𝑑𝑥 +
3
4
∫
1
2𝑥 + 7
𝑑𝑥
Subtitusikan pada integral 𝑢1 = 2𝑥 − 1 → 𝑑𝑢1 = 2𝑑𝑥 →
1
2
𝑑𝑢1 = 𝑑𝑥
𝑢2 = 2𝑥 + 7 → 𝑑𝑢2 = 2𝑑𝑥 →
1
2
𝑑𝑢2 = 𝑑𝑥
maka
∫
2𝑥 + 1
4𝑥2 + 12𝑥 − 7
𝑑𝑥 =
1
4
1
2
∫
𝑑𝑢1
𝑢1
+
3
4
1
2
∫
𝑑𝑢2
𝑢2
Karena pada rumus integrasi dasar ∫
𝑑𝑢
𝑢
= 𝑙𝑛| 𝑢| + 𝑐 maka
∫
2𝑥 + 1
4𝑥2 + 12𝑥 − 7
𝑑𝑥 =
1
8
𝑙𝑛| 𝑢1| +
3
8
𝑙𝑛| 𝑢2| + 𝐶
∫
2𝑥 + 1
4𝑥2 + 12𝑥 − 7
𝑑𝑥 =
1
8
𝑙𝑛|2𝑥 − 1| +
3
8
𝑙𝑛|2𝑥 + 7| + 𝐶
CATATAN. Kita dapat menggunakan metode alternatif untuk menghitung koefisien A
dan B dalam contoh di atas. Persamaan adalah kesamaan; persamaan ini berlaku untuk
setiap nilai x, maka kita memilih nilai x yang menyederhanakan persamaan tersebut.
Jika kita mengambil nilai x = 0 dan x = 1 dalam persamaan 2𝑥 + 1 = 𝐴(2𝑥 + 7) +
𝐵(2𝑥 − 1) maka jika 𝑥 = 0 → 7𝐴 − 𝐵 = 1 dan 𝑥 = 1 → 9𝐴 + 𝐵 = 3. Selesaikan
kedua persamaan, sehingga diperoleh 𝐴 =
1
4
dan 𝐵 =
3
4
Contoh Soal KASUS I
Soal Latihan halaman 596 nomor 55
(James Stewart. Kalkulus Edisi Keempat Jilid 1. Jakarta:Erlangga. 2002)
Hitunglah
∫
𝑑𝑥
𝑥2 − 2𝑥
Penyelesaian:
Metode fraksi parsial memberikan
1
𝑥2 − 2𝑥
=
1
𝑥(𝑥 − 2)
=
𝐴
𝑥
+
𝐵
𝑥 − 2
dan karenanya
𝐴( 𝑥 − 2) + 𝐵( 𝑥) = 1
Dengan menggunakan metode pada catatan sebelumnya, kita substitusikan x = 0 dalam
persamaan ini dan diperoleh 𝐴 = −
1
2
dan kita substitusikan x = 1, maka diperoleh
– 𝐴 + 𝐵 = 1 → 𝐵 =
1
2
∫
𝑑𝑥
𝑥2 − 2𝑥
= ∫ [
−
1
2
𝑥
+
1
2
𝑥 − 2
]𝑑𝑥
∫
𝑑𝑥
𝑥2 − 2𝑥
=
1
2
∫ [−
1
𝑥
+
1
𝑥 − 2
] 𝑑𝑥
∫
𝑑𝑥
𝑥2 − 2𝑥
=
1
2
(∫ −
1
𝑥
𝑑𝑥 + ∫
1
𝑥 − 2
)
Subtitusikan pada integral 𝑢1 = 𝑥 → 𝑑𝑢1 = 𝑑𝑥 dan 𝑢2 = 𝑥 − 2 → 𝑑𝑢2 = 𝑑𝑥
maka ∫
𝑑𝑥
𝑥2 −2𝑥
=
1
2
(− ∫
𝑑𝑢1
𝑢1
+ ∫
𝑑𝑢2
𝑢2
)
∫
𝑑𝑥
𝑥2 − 2𝑥
=
1
2
[−𝑙𝑛| 𝑢1| + 𝑙𝑛| 𝑢2|] + 𝐶
∫
𝑑𝑥
𝑥2 − 2𝑥
=
1
2
[−𝑙𝑛| 𝑥| + 𝑙𝑛| 𝑥 − 2|] + 𝐶
Karena ln 𝑥 − ln 𝑦 = ln (
𝑥
𝑦
), kita dapat menuliskan integral tersebut sebagai
∫
𝑑𝑥
𝑥2 − 2𝑥
=
1
2
𝑙𝑛 [
𝑥 − 2
𝑥
] + 𝐶
KASUS II Penyebut Q(x) adalah hasil kali faktor-faktor linear, beberapa
diantaranya berulang
Misalkan faktor linear pertama adalah (a1x+b1) berulang r kali; artinya, (a1x+b1)r muncul
dalam faktorisasi Q(x). Maka sebagai pengganti suku tunggal A1/(a1x+b1) dalam
persamaan
𝑅(𝑥)
𝑄(𝑥)
=
A1
a1x + b1
+
A2
a2x + b2
+ ⋯ +
Ak
akx + bk
kita menggunakan
𝑅(𝑥)
𝑄(𝑥)
=
A1
a1x + b1
+
A2
(a1x + b1)2
+ ⋯+
Ar
(a1x+ b1) 𝑟
Sebagai contoh kita dapat menuliskan
𝑥3
− 3𝑥 + 5
(𝑋 − 3)2 (𝑥 + 1)3
=
𝐴
(𝑥 − 3)
+
𝐵
(𝑥 − 3)2
+
𝐶
(𝑥 + 1)
+
𝐷
(𝑥 + 1)2
+
𝐸
(𝑋 + 1)3
Contoh Soal KASUS II
Soal-Soal 7.5 halaman 28 nomor 21
(Verberg, Purcell, Rigdon. Kalkulus Edisi Kesembilan Jilid 2. Jakarta:Erlangga. 2011)
Hitunglah
∫
𝑥 + 1
(𝑥 − 3)2
𝑑𝑥
Penyelesaian:
Oleh karena faktor linear (x-3) muncul dua kali, maka dekomposisi pecahan parsialnya
menjadi
𝑥 + 1
(𝑥 − 3)2
=
𝐴
(𝑥 − 3)
+
𝐵
(𝑥 − 3)2
Kalikan dengan (x-3)2 untuk mendapatkan
𝑥 + 1 = 𝐴( 𝑥 − 3) + 𝐵
𝑥 + 1 = 𝐴𝑥 − 3𝐴 + 𝐵
Samakan koefisien sehingga diperoleh,
𝐴𝑥 = 𝑥 → 𝐴 = 1 𝑑𝑎𝑛 − 3𝐴 + 𝐵 = 1 → −3 + 𝐵 = 1 → 𝐵 = 4
∫
𝑥 + 1
(𝑥 − 3)2
𝑑𝑥 = ∫
1
(𝑥 − 3)
𝑑𝑥 + 4 ∫
1
(𝑥 − 3)2
𝑑𝑥
Subtitusikan 𝑢 = 𝑥 − 3 ke dalam integral sehingga 𝑑𝑢 = 𝑑𝑥
∫
𝑥 + 1
(𝑥 − 3)2
𝑑𝑥 = ∫
𝑑𝑢
𝑢
+ 4∫ 𝑢−2
𝑑𝑢
∫
𝑥 + 1
(𝑥 − 3)2
𝑑𝑥 = 𝑙𝑛| 𝑢| − 4𝑢−1
+ 𝐶
∫
𝑥 + 1
(𝑥 − 3)2
𝑑𝑥 = 𝑙𝑛 | 𝑥 − 3|−
4
(𝑥 − 3)
+ 𝐶
Contoh Soal KASUS II
Soal Latihan halaman 596 nomor 23
(James Stewart. Kalkulus Edisi Keempat Jilid 1. Jakarta:Erlangga. 2002)
Hitunglah
∫
1
( 𝑥 + 5)2( 𝑥 − 1)
𝑑𝑥
Penyelesaian:
Oleh karena faktor linear (x+5) muncul dua kali, maka dekomposisi pecahan parsialnya
menjadi
1
( 𝑥 + 5)2(𝑥 − 1)
=
𝐴
(𝑥 + 5)
+
𝐵
(𝑥 + 5)2
+
𝐶
(𝑥 − 1)
Kalikan dengan (x+5)2 (x-1)untuk mendapatkan
1 = 𝐴( 𝑥 + 5)( 𝑥 − 1) + 𝐵( 𝑥 − 1) + 𝐶(𝑥 + 5)2
1 = 𝐴( 𝑥2
+ 4𝑥 − 5) + 𝐵( 𝑥 − 1) + 𝐶(𝑥2
+ 10𝑥 + 25)
1 = 𝐴𝑥2
+ 4𝐴𝑥 − 5𝐴 + 𝐵𝑥 − 𝐵 + 𝐶𝑥2
+ 10𝐶𝑥 + 25𝐶
1 = ( 𝐴 + 𝐶) 𝑥2
+ (4𝐴 + 𝐵 + 10𝐶) 𝑥 + (−5𝐴 − 𝐵 + 25𝐶)
Samakan koefisien sehingga diperoleh,
( 𝐴 + 𝐶) 𝑥2
= 0𝑥2
→ ( 𝐴 + 𝐶) = 0 → 𝐴 = −𝐶
(4𝐴 + 𝐵 + 10𝐶)𝑥 = 0𝑥 → 4𝐴 + 𝐵 + 10𝐶 = 0 ……………….(1)
−5𝐴 − 𝐵 + 25𝐶 = 1…………………………………………....(2)
Substitusikan 𝐴 = −𝐶 ke persamaan (1) dan (2)
4𝐴 + 𝐵 + 10𝐶 = 0 → 4𝐴 + 𝐵 − 10𝐴 = 0 → −6𝐴 + 𝐵 = 0……………….(3)
−5𝐴 − 𝐵 + 25𝐶 = 1 → −5𝐴 − 𝐵 − 25𝐴 = 1 → −30𝐴 − 𝐵 = 1………….(4)
Eliminasi persamaan (3) dan (4)
−6𝐴 + 𝐵 = 0
−30𝐴 − 𝐵 = 1 +
−36𝐴 = 1 → 𝐴 = −
1
36
Subtitusikan 𝐴 = −
1
36
ke persamaan −6𝐴 + 𝐵 = 0 maka diperoleh 𝐵 = −
1
6
Karena 𝐴 = −𝐶 maka 𝐶 =
1
36
∫
1
( 𝑥 + 5)2( 𝑥 − 1)
𝑑𝑥 = ∫ (
−
1
36
(𝑥 + 5)
+
−
1
6
(𝑥 + 5)2
+
1
36
(𝑥 − 1)
) 𝑑𝑥
∫
1
( 𝑥 + 5)2( 𝑥 − 1)
𝑑𝑥 = −
1
36
∫
1
(𝑥 + 5)
𝑑𝑥 −
1
6
∫
1
(𝑥 + 5)2
𝑑𝑥 +
1
36
∫
1
(𝑥 − 1)
𝑑𝑥
Subtitusikan pada integral 𝑢1 = 𝑥 + 5 → 𝑑𝑢1 = 𝑑𝑥 dan 𝑢2 = 𝑥 − 1 → 𝑑𝑢2 = 𝑑𝑥
maka
∫
1
( 𝑥 + 5)2( 𝑥 − 1)
𝑑𝑥 = −
1
36
∫
𝑑𝑢1
𝑢1
−
1
6
∫ 𝑢1
−2
𝑑𝑢 +
1
36
∫
𝑑𝑢2
𝑢2
∫
1
( 𝑥 + 5)2( 𝑥 − 1)
𝑑𝑥 = −
1
36
𝑙𝑛| 𝑢1| +
1
6
𝑢1
−1
+
1
36
𝑙𝑛| 𝑢2| + 𝐶
∫
1
( 𝑥 + 5)2( 𝑥 − 1)
𝑑𝑥 = −
1
36
𝑙𝑛| 𝑥 + 5| +
1
6
1
𝑥 + 5
+
1
36
𝑙𝑛| 𝑥 − 1| + 𝐶
KASUS III Q(x) mengandung faktor kuadratik yang tidak dapat diuraikan, tak
ada yang berulang
Jika Q(x) mempunyai faktor ax2 + bx + c, dengan b2 - 4ac < 0, maka bentuk untuk
R(x)/Q(x) akan memiliki sebuah suku yang berbentuk
𝐴𝑥 + 𝐵
𝑎𝑥2 + 𝑏𝑥 + 𝑐
dimana A dan B adalah konstanta yang akan ditentukan. Sebagai contoh, fungsi yang
dinyatakan oleh f(x) = 3x/[(x-3)(x2+4)(x2+9)] memiliki dekomposisi pecahan parsial
yang berbentuk
3𝑥
( 𝑥 − 3)( 𝑥2 + 4)(𝑥2 + 9)
=
𝐴
(𝑥 − 3)
+
𝐵𝑥 + 𝐶
(𝑥2 + 4)
+
𝐷𝑥 + 𝐸
(𝑥2 + 9)
Suku yang berbentuk
𝐴𝑥 + 𝐵
𝑎𝑥2 + 𝑏𝑥 + 𝑐
dapat diintegralkan dengan melengkapkan kuadratnya dan menggunakan rumus
∫
𝑑𝑥
𝑥2 + 𝑎2
=
1
𝑎
𝑡𝑎𝑛−1
(
𝑥
𝑎
)+ 𝐶
Contoh Soal KASUS III
Soal-Soal 7.5 halaman 28 nomor 27
(Verberg, Purcell, Rigdon. Kalkulus Edisi Kesembilan Jilid 2. Jakarta:Erlangga. 2011)
Hitung
∫
2𝑥2
+ 𝑥 − 8
𝑥3 + 4𝑥
𝑑𝑥
Penyelesaian:
Oleh karena 𝑥3
+ 4𝑥 = 𝑥(𝑥2
+ 4) tidak dapat difaktorkan lebih lanjut, maka kita
tuliskan
2𝑥2
+ 𝑥 − 8
𝑥3 + 4𝑥
=
2𝑥2
+ 𝑥 − 8
𝑥(𝑥2 + 4)
=
𝐴
𝑥
+
𝐵𝑥 + 𝐶
𝑥2 + 4
Kalikan dengan x(x2+4) untuk mendapatkan
2𝑥2
+ 𝑥 − 8 = 𝐴( 𝑥2
+ 4) + ( 𝐵𝑥 + 𝐶) 𝑥
2𝑥2
+ 𝑥 − 8 = 𝐴𝑥2
+ 4𝐴 + 𝐵𝑥2
+ 𝐶𝑥
2𝑥2
+ 𝑥 − 8 = 𝐴𝑥2
+ 𝐵𝑥2
+ 𝐶𝑥 + 4𝐴
2𝑥2
+ 𝑥 − 8 = ( 𝐴 + 𝐵) 𝑥2
+ 𝐶𝑥 + 4𝐴
Samakan koefisien sehingga diperoleh,
𝐶𝑥 = 𝑥 → 𝐶 = 1 𝑑𝑎𝑛 4𝐴 = −8 → 𝐴 = −2
serta ( 𝐴 + 𝐵) 𝑥2
= 2𝑥2
→ 𝐴 + 𝐵 = 2 → −2 + 𝐵 = 2 → 𝐵 = 4
∫
2𝑥2
+ 𝑥 − 8
𝑥3 + 4𝑥
𝑑𝑥 = ∫[
−2
𝑥
+
4𝑥 + 1
𝑥2 + 4
] 𝑑𝑥
Untuk mengintegralkan suku kedua, pecahkan menjadi dua bagian, sehingga
∫
2𝑥2
+ 𝑥 − 8
𝑥3 + 4𝑥
𝑑𝑥 = ∫
−2
𝑥
𝑑𝑥 + ∫
4𝑥
𝑥2 + 4
𝑑𝑥 + ∫
1
𝑥2 + 4
𝑑𝑥
Subtitusikan 𝑢1 = 𝑥 ke dalam integral yang pertama sehingga 𝑑𝑢1 = 𝑑𝑥 dan 𝑢2 = 𝑥2
+
4 ke dalam integral yang kedua sehingga 𝑑𝑢2 = 2𝑥 𝑑𝑥. Lalu hitung integral ketiga
menggunakan rumus
∫
𝑑𝑥
𝑥2 + 𝑎2
=
1
𝑎
𝑡𝑎𝑛−1
(
𝑥
𝑎
)+ 𝐶
dengan 𝑎 = 2
∫
2𝑥2
+ 𝑥 − 8
𝑥3 + 4𝑥
𝑑𝑥 = −2∫
𝑑𝑢1
𝑢1
+ 2∫
𝑑𝑢2
𝑢2
+ ∫
1
𝑥2 + 4
𝑑𝑥
∫
2𝑥2
+ 𝑥 − 8
𝑥3 + 4𝑥
𝑑𝑥 = −2 𝑙𝑛 | 𝑢1| + 2 𝑙𝑛| 𝑢2| +
1
2
tan−1
(
𝑥
2
) + 𝐶
∫
2𝑥2
+ 𝑥 − 8
𝑥3 + 4𝑥
𝑑𝑥 = −2 𝑙𝑛 | 𝑥| + 2 𝑙𝑛| 𝑥2
+ 4| +
1
2
tan−1
(
𝑥
2
) + 𝐶
Contoh Soal KASUS III
Soal Latihan halaman 596 nomor 33
(James Stewart. Kalkulus Edisi Keempat Jilid 1. Jakarta:Erlangga. 2002)
Hitunglah
∫
2𝑡3
− 𝑡2
+ 3𝑡 − 1
(𝑡2 + 1)(𝑡2 + 2)
𝑑𝑡
Penyelesaian:
Dekomposisi pecahan parsialnya
2𝑡3
− 𝑡2
+ 3𝑡 − 1
(𝑡2 + 1)(𝑡2 + 2)
=
𝐴𝑡 + 𝐵
(𝑡2 + 1)
+
𝐶𝑡 + 𝐷
(𝑡2 + 2)
Kalikan dengan (𝑡2
+ 1)(𝑡2
+ 2) untuk mendapatkan
2𝑡3
− 𝑡2
+ 3𝑡 − 1 = ( 𝐴𝑡 + 𝐵)( 𝑡2
+ 2) + ( 𝐶𝑡 + 𝐷)( 𝑡2
+ 1)
2𝑡3
− 𝑡2
+ 3𝑡 − 1 = 𝐴𝑡3
+ 2𝐴𝑡 + 𝐵𝑡2
+ 2𝐵 + 𝐶𝑡3
+ 𝐶𝑡 + 𝐷𝑡2
+ 𝐷
2𝑡3
− 𝑡2
+ 3𝑡 − 1 = (𝐴+𝐶)𝑡3
+ (𝐵 + 𝐷)𝑡2
+ (2𝐴 + 𝐶)𝑡 + (2𝐵 + 𝐷)
Samakan koefisien sehingga diperoleh
𝐴 + 𝐶 = 2….(1) 𝐵 + 𝐷 = −1.…(2) 2𝐴 + 𝐶 = 3.…(3) 2𝐵 + 𝐷 = −1….(4)
Eliminasi persamaan (1) dan (3) 𝐴 + 𝐶 = 2
2𝐴 + 𝐶 = 3 –
𝐴 = 1
Subtitusi 𝐴 = 1 ke persamaan (1) sehingga 𝐴 + 𝐶 = 2 → 𝐶 = 1
Eliminasi persamaan (2) dan (4) 𝐵 + 𝐷 = −1
2𝐵 + 𝐷 = −1 –
𝐵 = 0
Subtitusi 𝐵 = 0 ke persamaan (2) sehingga 𝐵 + 𝐷 = −1 → 𝐷 = −1
∫
2𝑡3
− 𝑡2
+ 3𝑡 − 1
(𝑡2 + 1)(𝑡2 + 2)
𝑑𝑡 = ∫
𝑡
(𝑡2 + 1)
𝑑𝑡 + ∫
𝑡 − 1
(𝑡2 + 2)
𝑑𝑡
Untuk mengintegralkan suku kedua, pecahkan menjadi dua bagian, sehingga
∫
2𝑡3
− 𝑡2
+ 3𝑡 − 1
(𝑡2 + 1)(𝑡2 + 2)
𝑑𝑡 = ∫
𝑡
(𝑡2 + 1)
𝑑𝑡 + ∫
𝑡
(𝑡2 + 2)
𝑑𝑡 + ∫
−1
(𝑡2 + 2)
𝑑𝑥
Subtitusikan 𝑢1 = 𝑡2
+ 1 ke dalam integral yang pertama sehingga 𝑑𝑢1 = 2𝑡 𝑑𝑡 →
1
2
𝑑𝑢1 = 𝑡 𝑑𝑡 dan 𝑢2 = (𝑡2
+ 2) ke dalam integral yang kedua sehingga 𝑑𝑢2 = 2𝑡 𝑑𝑡 →
1
2
𝑑𝑢2 = 𝑡 𝑑𝑡. Lalu hitung integral ketiga menggunakan rumus
∫
𝑑𝑥
𝑥2 + 𝑎2
=
1
𝑎
𝑡𝑎𝑛−1
(
𝑥
𝑎
)+ 𝐶
dengan 𝑎 = √2
∫
2𝑡3
− 𝑡2
+ 3𝑡 − 1
(𝑡2 + 1)(𝑡2 + 2)
𝑑𝑡 =
1
2
∫
𝑑𝑢1
𝑢1
+
1
2
∫
𝑑𝑢2
𝑢2
+ ∫
1
(𝑡2 + 2)
𝑑𝑥
∫
2𝑡3
− 𝑡2
+ 3𝑡 − 1
(𝑡2 + 1)(𝑡2 + 2)
𝑑𝑡 =
1
2
𝑙𝑛 | 𝑢1|+
1
2
𝑙𝑛| 𝑢2| +
1
√2
tan−1
(
𝑥
√2
) + 𝐶
∫
2𝑡3
− 𝑡2
+ 3𝑡 − 1
(𝑡2 + 1)(𝑡2 + 2)
𝑑𝑡 = −2 𝑙𝑛 | 𝑡2
+ 1| + 2 𝑙𝑛| 𝑡2
+ 2| +
1
2
tan−1
(
𝑥
2
) + 𝐶
Kasus IV Q (x) mengandung satu faktor kuadratik yang tak dapat diuraikan dan
berulang
Jika Q(x) mempunyai faktor ( 𝑎𝑥2
+ 𝑏𝑥 + 𝑐) 𝑟
dengan 𝑏2
− 4𝑎𝑐 < 0 maka bukannya
pecahan parsial tunggal
𝐴𝑥 + 𝐵
𝑎𝑥2 + 𝑏𝑥 + 𝑐
yang terjadi, melainkan jumlah
𝐴1 𝑥 + 𝐵1
𝑎𝑥2 + 𝑏𝑥 + 𝑐
+
𝐴2 𝑥 + 𝐵2
𝑎𝑥2 + 𝑏𝑥 + 𝑐
+ ⋯ +
𝐴2 𝑥 + 𝐵2
𝑎𝑥2 + 𝑏𝑥 + 𝑐
yang muncul dalam dekomposisi pecahan parsial dari R(x)/Q(x). Masing-masing suku
dalam persamaan
𝐴1 𝑥 + 𝐵1
𝑎𝑥2 + 𝑏𝑥 + 𝑐
+
𝐴2 𝑥 + 𝐵2
𝑎𝑥2 + 𝑏𝑥 + 𝑐
+ ⋯ +
𝐴2 𝑥 + 𝐵2
𝑎𝑥2 + 𝑏𝑥 + 𝑐
dapat diintegralkan dengan pertama-tama melengkapkan kuadrat.
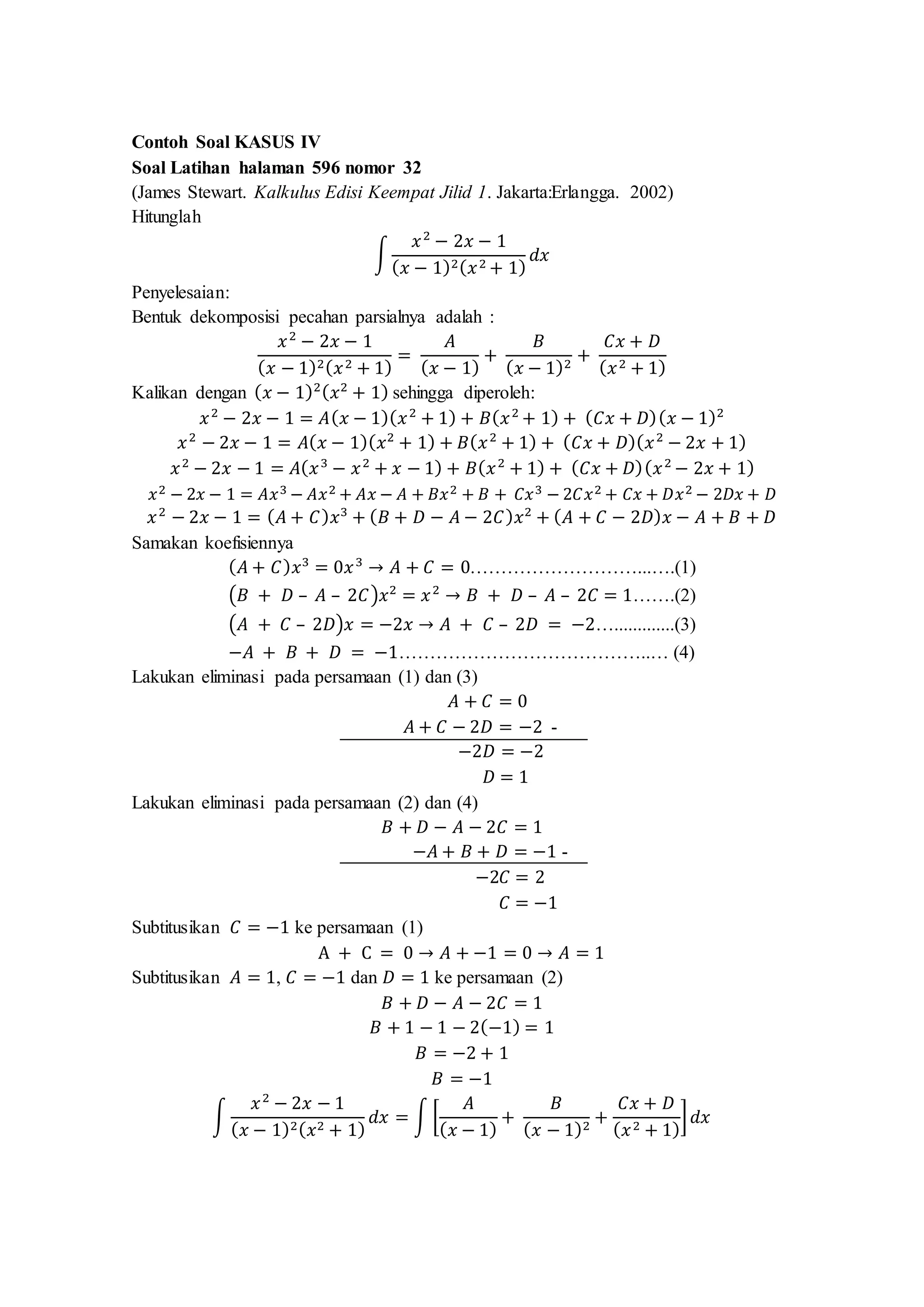
Contoh Soal KASUS IV
Soal Latihan halaman 596 nomor 32
(James Stewart. Kalkulus Edisi Keempat Jilid 1. Jakarta:Erlangga. 2002)
Hitunglah
∫
𝑥2
− 2𝑥 − 1
( 𝑥 − 1)2( 𝑥2 + 1)
𝑑𝑥
Penyelesaian:
Bentuk dekomposisi pecahan parsialnya adalah :
𝑥2
− 2𝑥 − 1
( 𝑥 − 1)2( 𝑥2 + 1)
=
𝐴
( 𝑥 − 1)
+
𝐵
( 𝑥 − 1)2
+
𝐶𝑥 + 𝐷
( 𝑥2 + 1)
Kalikan dengan ( 𝑥 − 1)2( 𝑥2
+ 1) sehingga diperoleh:
𝑥2
− 2𝑥 − 1 = 𝐴( 𝑥 − 1)( 𝑥2
+ 1) + 𝐵( 𝑥2
+ 1) + ( 𝐶𝑥 + 𝐷)( 𝑥 − 1)2
𝑥2
− 2𝑥 − 1 = 𝐴( 𝑥 − 1)( 𝑥2
+ 1) + 𝐵( 𝑥2
+ 1) + ( 𝐶𝑥 + 𝐷)( 𝑥2
− 2𝑥 + 1)
𝑥2
− 2𝑥 − 1 = 𝐴( 𝑥3
− 𝑥2
+ 𝑥 − 1) + 𝐵( 𝑥2
+ 1) + ( 𝐶𝑥 + 𝐷)( 𝑥2
− 2𝑥 + 1)
𝑥2 − 2𝑥 − 1 = 𝐴𝑥3 − 𝐴𝑥2 + 𝐴𝑥 − 𝐴 + 𝐵𝑥2 + 𝐵 + 𝐶𝑥3 − 2𝐶𝑥2 + 𝐶𝑥 + 𝐷𝑥2 − 2𝐷𝑥 + 𝐷
𝑥2
− 2𝑥 − 1 = ( 𝐴 + 𝐶) 𝑥3
+ ( 𝐵 + 𝐷 − 𝐴 − 2𝐶) 𝑥2
+ ( 𝐴 + 𝐶 − 2𝐷) 𝑥 − 𝐴 + 𝐵 + 𝐷
Samakan koefisiennya
( 𝐴 + 𝐶) 𝑥3
= 0𝑥3
→ 𝐴 + 𝐶 = 0………………………...….(1)
(𝐵 + 𝐷 – 𝐴 – 2𝐶)𝑥2
= 𝑥2
→ 𝐵 + 𝐷 – 𝐴 – 2𝐶 = 1…….(2)
(𝐴 + 𝐶 – 2𝐷)𝑥 = −2𝑥 → 𝐴 + 𝐶 – 2𝐷 = −2….............(3)
−𝐴 + 𝐵 + 𝐷 = −1…………………………………..… (4)
Lakukan eliminasi pada persamaan (1) dan (3)
𝐴 + 𝐶 = 0
𝐴 + 𝐶 − 2𝐷 = −2 -
−2𝐷 = −2
𝐷 = 1
Lakukan eliminasi pada persamaan (2) dan (4)
𝐵 + 𝐷 − 𝐴 − 2𝐶 = 1
−𝐴 + 𝐵 + 𝐷 = −1 -
−2𝐶 = 2
𝐶 = −1
Subtitusikan 𝐶 = −1 ke persamaan (1)
A + C = 0 → 𝐴 + −1 = 0 → 𝐴 = 1
Subtitusikan 𝐴 = 1, 𝐶 = −1 dan 𝐷 = 1 ke persamaan (2)
𝐵 + 𝐷 − 𝐴 − 2𝐶 = 1
𝐵 + 1 − 1 − 2(−1) = 1
𝐵 = −2 + 1
𝐵 = −1
∫
𝑥2
− 2𝑥 − 1
( 𝑥 − 1)2( 𝑥2 + 1)
𝑑𝑥 = ∫ [
𝐴
( 𝑥 − 1)
+
𝐵
( 𝑥 − 1)2
+
𝐶𝑥 + 𝐷
( 𝑥2 + 1)
] 𝑑𝑥
∫
𝑥2
− 2𝑥 − 1
( 𝑥 − 1)2( 𝑥2 + 1)
𝑑𝑥 = ∫ [
1
( 𝑥 − 1)
+
−1
( 𝑥 − 1)2
+
−𝑥 + 1
( 𝑥2 + 1)
] 𝑑𝑥
∫
𝑥2 − 2𝑥 − 1
( 𝑥 − 1)2( 𝑥2 + 1)
𝑑𝑥 = ∫
1
( 𝑥 − 1)
𝑑𝑥 − ∫
1
( 𝑥 − 1)2 𝑑𝑥 − ∫
𝑥
( 𝑥2 + 1)
𝑑𝑥 + ∫
1
( 𝑥2 + 1)
𝑑𝑥
Subtitusikan 𝑢1 = 𝑥 − 1 ke dalam integral yang pertama dan kedua sehingga 𝑑𝑢1 = 𝑑𝑥
dan 𝑢2 = 𝑥2
+ 1 ke dalam integral yang ketiga sehingga 𝑑𝑢2 = 2𝑥 𝑑𝑥 →
1
2
𝑑𝑢2 = 𝑥 𝑑𝑥.
Lalu hitung integral keempat menggunakan rumus
∫
𝑑𝑥
𝑥2 + 𝑎2
=
1
𝑎
𝑡𝑎𝑛−1
(
𝑥
𝑎
)+ 𝐶
Dengan a = 1
∫
𝑥2 − 2𝑥 − 1
( 𝑥 − 1)2( 𝑥2 + 1)
𝑑𝑥 = ∫
𝑑𝑢1
𝑢1
− ∫ 𝑢1
−2 𝑑𝑢 −
1
2
∫
𝑑𝑢2
𝑢2
+ ∫
1
( 𝑥2 + 1)
𝑑𝑥
∫
𝑥2
− 2𝑥 − 1
( 𝑥 − 1)2( 𝑥2 + 1)
𝑑𝑥 = 𝑙𝑛( 𝑢1) + 𝑢1
−1
−
1
2
𝑙𝑛( 𝑢2)+ 𝑡𝑎𝑛−1
𝑥 + 𝐶
∫
𝑥2
− 2𝑥 − 1
( 𝑥 − 1)2( 𝑥2 + 1)
𝑑𝑥 = 𝑙𝑛( 𝑥 − 1) +
1
𝑥2 + 1
−
1
2
𝑙𝑛( 𝑥2
+ 1) + 𝑡𝑎𝑛−1
𝑥 + 𝐶
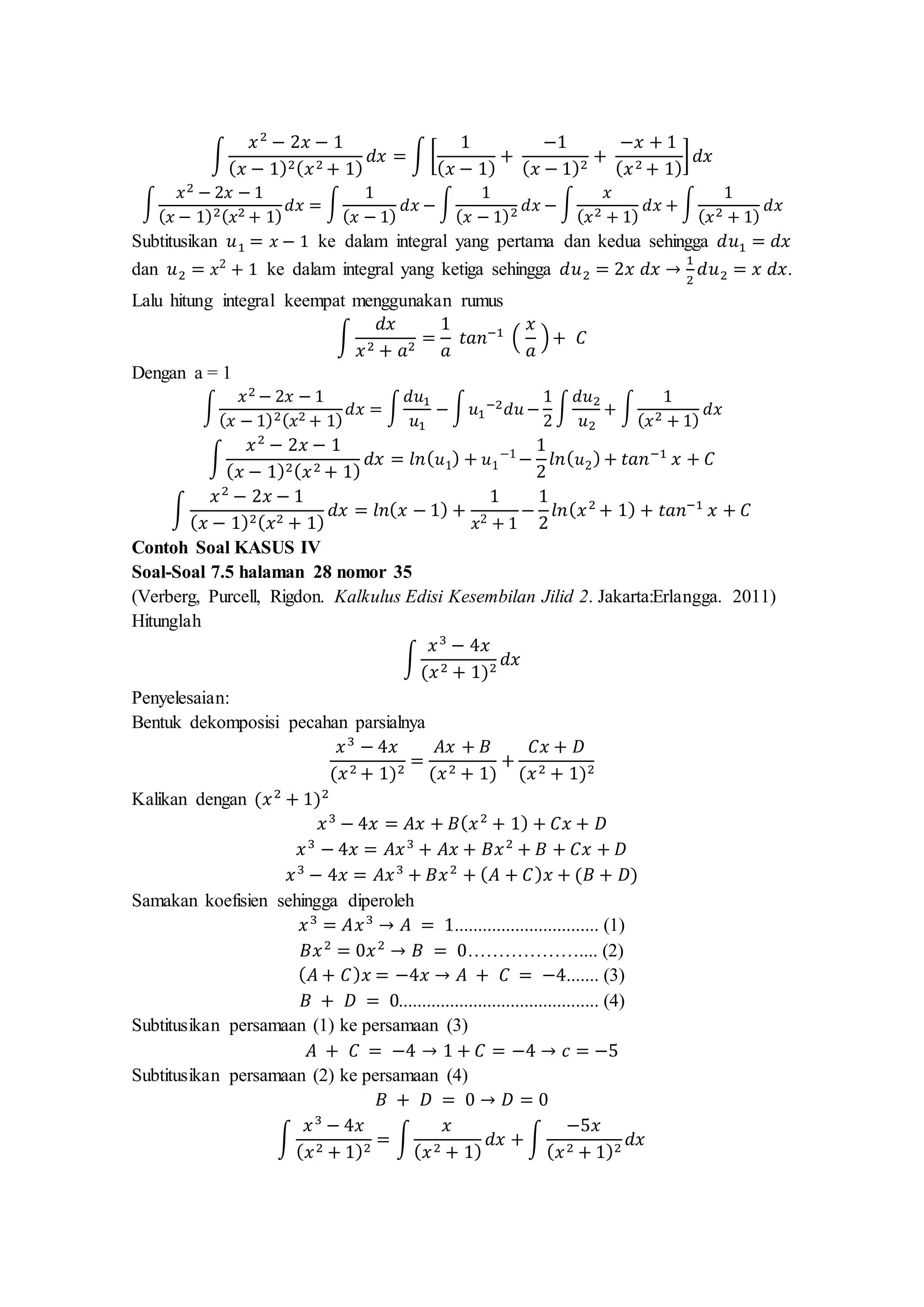
Contoh Soal KASUS IV
Soal-Soal 7.5 halaman 28 nomor 35
(Verberg, Purcell, Rigdon. Kalkulus Edisi Kesembilan Jilid 2. Jakarta:Erlangga. 2011)
Hitunglah
∫
𝑥3
− 4𝑥
(𝑥2 + 1)2
𝑑𝑥
Penyelesaian:
Bentuk dekomposisi pecahan parsialnya
𝑥3
− 4𝑥
(𝑥2 + 1)2
=
𝐴𝑥 + 𝐵
(𝑥2 + 1)
+
𝐶𝑥 + 𝐷
(𝑥2 + 1)2
Kalikan dengan (𝑥2
+ 1)2
𝑥3
− 4𝑥 = 𝐴𝑥 + 𝐵( 𝑥2
+ 1) + 𝐶𝑥 + 𝐷
𝑥3
− 4𝑥 = 𝐴𝑥3
+ 𝐴𝑥 + 𝐵𝑥2
+ 𝐵 + 𝐶𝑥 + 𝐷
𝑥3
− 4𝑥 = 𝐴𝑥3
+ 𝐵𝑥2
+ ( 𝐴 + 𝐶) 𝑥 + (𝐵 + 𝐷)
Samakan koefisien sehingga diperoleh
𝑥3
= 𝐴𝑥3
→ 𝐴 = 1............................... (1)
𝐵𝑥2
= 0𝑥2
→ 𝐵 = 0……………….... (2)
( 𝐴 + 𝐶) 𝑥 = −4𝑥 → 𝐴 + 𝐶 = −4....... (3)
𝐵 + 𝐷 = 0........................................... (4)
Subtitusikan persamaan (1) ke persamaan (3)
𝐴 + 𝐶 = −4 → 1 + 𝐶 = −4 → 𝑐 = −5
Subtitusikan persamaan (2) ke persamaan (4)
𝐵 + 𝐷 = 0 → 𝐷 = 0
∫
𝑥3
− 4𝑥
( 𝑥2 + 1)2
= ∫
𝑥
( 𝑥2 + 1)
𝑑𝑥 + ∫
−5𝑥
( 𝑥2 + 1)2
𝑑𝑥
Subtitusikan 𝑢 = 𝑥2
+ 1 ke dalam integral yang pertama dan kedua sehingga 𝑑𝑢 =
2𝑥 𝑑𝑥 →
1
2
𝑑𝑢 = 𝑥 𝑑𝑥
∫
𝑥3
− 4𝑥
( 𝑥2 + 1)2
=
1
2
∫
𝑑𝑢
𝑢
𝑑𝑥 + ∫(−5𝑥)𝑢−2
𝑑𝑢
∫
𝑥3
− 4𝑥
(𝑥2 + 1)2
=
1
2
ln( 𝑢) +
5
2
𝑢−1
∫
𝑥3
− 4𝑥
(𝑥2 + 1)2
=
1
2
ln( 𝑥2
+ 1) +
5
2
1
𝑥2 + 1
+ 𝐶
CATATAN. Terkadang fraksi parsial dapat dihindari ketika mengintegralkan fungsi
rasional. Misalnya, meskipun integral
∫
𝑥2
+ 1
𝑥( 𝑥2 + 3)
𝑑𝑥
dapat dihitung dengan metode untuk kasus III, akan sangat lebih mudah untuk
mengamati bahwa jika 𝑢 = 𝑥( 𝑥2
+ 3) = 𝑥3
+ 3𝑥, maka 𝑑𝑢 = (3𝑥2
+ 3) 𝑑𝑥 dan
karenanya
∫
𝑥2
+ 1
𝑥( 𝑥2 + 3)
𝑑𝑥 =
1
3
ln| 𝑥3
+ 3𝑥| + 𝐶
Sumber Buku
James Stewart. Kalkulus Edisi Keempat Jilid 1. Jakarta:Erlangga. 2002
Verberg, Purcell, Rigdon. Kalkulus Edisi Kesembilan Jilid 2. Jakarta:Erlangga. 2011

Integral Fungsi Rasional dengan Pecahan Parsial

  • 1.
    INTEGRAL FUNGSI RASIONALDENGAN PECAHAN PARSIAL Makalah Ini Disusun untuk Memenuhi Tugas Mata Kuliah Kalkulus II Dosen Pengampu : Dra. Afidah Mas’ud Kelas : 3A Di susun oleh: Sari Juniatun Nikmah (11140170000010) Fitria Maghfiroh (11140170000018) Robiatul Adawiyah (11140170000026) JURUSAN PENDIDIKAN MATEMATIKA FAKULTAS ILMU TARBIYAH DAN KEGURUAN UIN SYARIF HIDAYATULLAH JAKARTA 2015
  • 2.
    Pada makalah iniakan dibahas mengenai bagaimana mengintegralkan suatu fungsi rasional (suatu rasio dari polinom) dengan menyatakannya dalam fraksi/pecahan parsial (jumlah pecahan yang lebih sederhana). Untuk mengilustrasikan metode pecahan parsial, amati bahwa dengan menyamakan penyebut dari pecahan 3/(x-1) dan 2/(x+2), maka akan diperoleh : 3 𝑥 + 1 − 2 𝑥 − 2 = 3( 𝑥 − 2) − 2( 𝑥 + 1) ( 𝑥 + 1)( 𝑥 − 2) = 𝑥 − 8 𝑥2 − 𝑥 − 2 Jika sekarang membalik langkah di atas yakni dengan mengintegralkan fungsi di ruas kanan, maka akan diperoleh persamaan seperti di bawah ini : ∫ 𝑥 − 8 𝑥2 − 𝑥 − 2 𝑑𝑥 = ∫( 3 𝑥 + 1 − 2 𝑥 − 2 ) 𝑑𝑥 = 3 𝑙𝑛| 𝑥 + 1| − 2 𝑙𝑛| 𝑥 − 2| + 𝐶 Untuk melihat bagaimana metode pecahan parsial tersebut bekerja secara umum, perhatikan fungsi rasional di bawah ini : 𝑓( 𝑥) = 𝑃(𝑥) 𝑄(𝑥) dengan P dan Q adalah polinom. Dapat dinyatakan f sebagai jumlah dari pecahan yang lebih sederhana, dengan syarat bahwa derajat P lebih kecil daripada derajat Q. Fungsi rasional seperti itu disebut wajar/sejati. Ingat kembali bahwa jika 𝑃( 𝑥) = 𝑎 𝑛 𝑥 𝑛 + 𝑎 𝑛−1 𝑥 𝑛−1 + ⋯+ 𝑎1 𝑥 + 𝑎0 dengan 𝑎 𝑛 ≠ 0, maka derajat P adalah n dan kita tulis deg (P) = n Jika f tak sejati/tak wajar, yakni deg(𝑃) ≥ deg(𝑄), maka sebelumnya harus mengambil langkah awal yaitu dengan membagi Q dengan P (dengan pembagian panjang) sampai sisa R(x) diperoleh sedemikian rupa sehingga deg ( 𝑅) < deg ( 𝑄). Hasil pembagiannya adalah sebagai berikut 𝑓( 𝑥) = 𝑃(𝑥) 𝑄(𝑥) = 𝑆( 𝑥) + 𝑅(𝑥) 𝑄(𝑥) dengan S dan R adalah polinom juga. Langkah selanjutnya adalah memfaktorkan penyebut Q(x) setuntas-tuntasnya. Dapat ditunjukan bahwa sebarang polinom Q dapat difaktorkan sebagai hasil kali faktor linear (berbentuk ax+b) dan faktor kuadratik yang tak dapat diuraikan (berbentuk ax2+bx+c, dengan b2-4ac < 0). Langkah ketiga adalah menyatakan fungsi rasional sejati R(x)/Q(x) sebagai jumlah dari fraksi parsial yang berbentuk 𝐴 (𝑎𝑥 + 𝑏)𝑖 𝑎𝑡𝑎𝑢 𝐴𝑥 + 𝐵 (𝑎𝑥2 + 𝑏𝑥 + 𝑐) 𝑗 Teorema dalam aljabar menjamin bahwa hal ini selalu mungkin untuk dilakukan. Diuraikan secara rinci dengan empat kasus yang terjadi di bawah ini. KASUS I Penyebut Q(x) adalah hasil kali faktor-faktor linier yang berbeda Dapat dituliskan sebagai berikut: 𝑄( 𝑥) = ( 𝑎1 𝑥 + 𝑏1)( 𝑎2 𝑥 + 𝑏2)… ( 𝑎 𝑘 𝑥 + 𝑏 𝑘) tanpa ada faktor yang berulang. Dalam hal ini, teorema pecahan parsial menyatakan bahwa ada konstanta A1, A2, A3, … ,Ak. sehingga,
  • 3.
    𝑅(𝑥) 𝑄(𝑥) = 𝐴1 𝑎1 𝑥 +𝑏1 + 𝐴2 𝑎2 𝑥 + 𝑏2 + … + 𝐴 𝑘 𝑎 𝑘 𝑥 + 𝑏 𝑘 Contoh Soal KASUS I Soal Latihan halaman 596 nomor 56 (James Stewart. Kalkulus Edisi Keempat Jilid 1. Jakarta:Erlangga. 2002) Hitunglah ∫ 2𝑥 + 1 4𝑥2 + 12𝑥 − 7 𝑑𝑥 Penyelesaian: Karena derajat pembilang lebih kecil daripada derajat penyebut, kita tidak perlu membagi. Kita faktorkan penyebutnya sebagai berikut 4𝑥2 + 12𝑥 − 7 = (2𝑥 − 1)(2𝑥 + 7) Karena penyebutnya memiliki dua faktor linear yang berbeda, dekomposisi pecahan parsial dari integran di atas berbentuk 2𝑥 + 1 (2𝑥 − 1)(2𝑥 + 7) = 𝐴 (2𝑥 − 1) + 𝐵 (2𝑥 + 7) Untuk menentukan nilai A dan B, kalikan kedua ruas persamaan ini dengan hasil kali dari penyebut-penyebutnya, (2𝑥 − 1)(2𝑥 + 7), dan diperoleh 2𝑥 + 1 = 𝐴(2𝑥 + 7) + 𝐵(2𝑥 − 1) Dengan menguraikan ruas kanan persamaan diatas dan menuliskannya dalam bentuk polinom standar, maka diperoleh 2𝑥 + 1 = 2𝐴𝑥 + 7𝐴 + 2𝐵𝑥 − 𝐵 2𝑥 + 1 = (2𝐴 + 2𝐵) 𝑥 + 7𝐴 − 𝐵 Kedua polinom dalam persamaan di atas identik, sehingga koefisien keduanya sama. Koefisien 𝑥 pada ruas kanan, harus sama dengan koefisien 𝑥 pada ruas kiri, yaitu 2. Begitu juga dengan koefisien dan suku-suku konstanta sama. Semua itu memberikan sistem persamaan berikut untuk A dan B: (2𝐴 + 2𝐵)𝑥 = 2𝑥 → 2𝐴 + 2𝐵 = 2 7𝐴 − 𝐵 = 1 Eliminasi kedua persamaan (2𝐴 + 2𝐵 = 2)x1 → 2𝐴 + 2𝐵 = 2 ( 7𝐴− 𝐵 = 1)x2 → 14𝐴 − 2𝐵 = 2 + 16𝐴 = 4 → 𝐴 = 1 4 Subtitusikan 𝐴 = 1 4 ke persamaan 2𝐴 + 2𝐵 = 2 maka diperoleh 𝐵 = 3 4 ∫ 2𝑥 + 1 4𝑥2 + 12𝑥 − 7 𝑑𝑥 = ∫ [ 1 4 2𝑥 − 1 + 3 4 2𝑥 + 7 ]𝑑𝑥 ∫ 2𝑥 + 1 4𝑥2 + 12𝑥 − 7 𝑑𝑥 = 1 4 ∫ 1 2𝑥 − 1 𝑑𝑥 + 3 4 ∫ 1 2𝑥 + 7 𝑑𝑥 Subtitusikan pada integral 𝑢1 = 2𝑥 − 1 → 𝑑𝑢1 = 2𝑑𝑥 → 1 2 𝑑𝑢1 = 𝑑𝑥 𝑢2 = 2𝑥 + 7 → 𝑑𝑢2 = 2𝑑𝑥 → 1 2 𝑑𝑢2 = 𝑑𝑥
  • 4.
    maka ∫ 2𝑥 + 1 4𝑥2+ 12𝑥 − 7 𝑑𝑥 = 1 4 1 2 ∫ 𝑑𝑢1 𝑢1 + 3 4 1 2 ∫ 𝑑𝑢2 𝑢2 Karena pada rumus integrasi dasar ∫ 𝑑𝑢 𝑢 = 𝑙𝑛| 𝑢| + 𝑐 maka ∫ 2𝑥 + 1 4𝑥2 + 12𝑥 − 7 𝑑𝑥 = 1 8 𝑙𝑛| 𝑢1| + 3 8 𝑙𝑛| 𝑢2| + 𝐶 ∫ 2𝑥 + 1 4𝑥2 + 12𝑥 − 7 𝑑𝑥 = 1 8 𝑙𝑛|2𝑥 − 1| + 3 8 𝑙𝑛|2𝑥 + 7| + 𝐶 CATATAN. Kita dapat menggunakan metode alternatif untuk menghitung koefisien A dan B dalam contoh di atas. Persamaan adalah kesamaan; persamaan ini berlaku untuk setiap nilai x, maka kita memilih nilai x yang menyederhanakan persamaan tersebut. Jika kita mengambil nilai x = 0 dan x = 1 dalam persamaan 2𝑥 + 1 = 𝐴(2𝑥 + 7) + 𝐵(2𝑥 − 1) maka jika 𝑥 = 0 → 7𝐴 − 𝐵 = 1 dan 𝑥 = 1 → 9𝐴 + 𝐵 = 3. Selesaikan kedua persamaan, sehingga diperoleh 𝐴 = 1 4 dan 𝐵 = 3 4 Contoh Soal KASUS I Soal Latihan halaman 596 nomor 55 (James Stewart. Kalkulus Edisi Keempat Jilid 1. Jakarta:Erlangga. 2002) Hitunglah ∫ 𝑑𝑥 𝑥2 − 2𝑥 Penyelesaian: Metode fraksi parsial memberikan 1 𝑥2 − 2𝑥 = 1 𝑥(𝑥 − 2) = 𝐴 𝑥 + 𝐵 𝑥 − 2 dan karenanya 𝐴( 𝑥 − 2) + 𝐵( 𝑥) = 1 Dengan menggunakan metode pada catatan sebelumnya, kita substitusikan x = 0 dalam persamaan ini dan diperoleh 𝐴 = − 1 2 dan kita substitusikan x = 1, maka diperoleh – 𝐴 + 𝐵 = 1 → 𝐵 = 1 2 ∫ 𝑑𝑥 𝑥2 − 2𝑥 = ∫ [ − 1 2 𝑥 + 1 2 𝑥 − 2 ]𝑑𝑥 ∫ 𝑑𝑥 𝑥2 − 2𝑥 = 1 2 ∫ [− 1 𝑥 + 1 𝑥 − 2 ] 𝑑𝑥 ∫ 𝑑𝑥 𝑥2 − 2𝑥 = 1 2 (∫ − 1 𝑥 𝑑𝑥 + ∫ 1 𝑥 − 2 ) Subtitusikan pada integral 𝑢1 = 𝑥 → 𝑑𝑢1 = 𝑑𝑥 dan 𝑢2 = 𝑥 − 2 → 𝑑𝑢2 = 𝑑𝑥
  • 5.
    maka ∫ 𝑑𝑥 𝑥2 −2𝑥 = 1 2 (−∫ 𝑑𝑢1 𝑢1 + ∫ 𝑑𝑢2 𝑢2 ) ∫ 𝑑𝑥 𝑥2 − 2𝑥 = 1 2 [−𝑙𝑛| 𝑢1| + 𝑙𝑛| 𝑢2|] + 𝐶 ∫ 𝑑𝑥 𝑥2 − 2𝑥 = 1 2 [−𝑙𝑛| 𝑥| + 𝑙𝑛| 𝑥 − 2|] + 𝐶 Karena ln 𝑥 − ln 𝑦 = ln ( 𝑥 𝑦 ), kita dapat menuliskan integral tersebut sebagai ∫ 𝑑𝑥 𝑥2 − 2𝑥 = 1 2 𝑙𝑛 [ 𝑥 − 2 𝑥 ] + 𝐶 KASUS II Penyebut Q(x) adalah hasil kali faktor-faktor linear, beberapa diantaranya berulang Misalkan faktor linear pertama adalah (a1x+b1) berulang r kali; artinya, (a1x+b1)r muncul dalam faktorisasi Q(x). Maka sebagai pengganti suku tunggal A1/(a1x+b1) dalam persamaan 𝑅(𝑥) 𝑄(𝑥) = A1 a1x + b1 + A2 a2x + b2 + ⋯ + Ak akx + bk kita menggunakan 𝑅(𝑥) 𝑄(𝑥) = A1 a1x + b1 + A2 (a1x + b1)2 + ⋯+ Ar (a1x+ b1) 𝑟 Sebagai contoh kita dapat menuliskan 𝑥3 − 3𝑥 + 5 (𝑋 − 3)2 (𝑥 + 1)3 = 𝐴 (𝑥 − 3) + 𝐵 (𝑥 − 3)2 + 𝐶 (𝑥 + 1) + 𝐷 (𝑥 + 1)2 + 𝐸 (𝑋 + 1)3 Contoh Soal KASUS II Soal-Soal 7.5 halaman 28 nomor 21 (Verberg, Purcell, Rigdon. Kalkulus Edisi Kesembilan Jilid 2. Jakarta:Erlangga. 2011) Hitunglah ∫ 𝑥 + 1 (𝑥 − 3)2 𝑑𝑥 Penyelesaian: Oleh karena faktor linear (x-3) muncul dua kali, maka dekomposisi pecahan parsialnya menjadi 𝑥 + 1 (𝑥 − 3)2 = 𝐴 (𝑥 − 3) + 𝐵 (𝑥 − 3)2 Kalikan dengan (x-3)2 untuk mendapatkan 𝑥 + 1 = 𝐴( 𝑥 − 3) + 𝐵 𝑥 + 1 = 𝐴𝑥 − 3𝐴 + 𝐵 Samakan koefisien sehingga diperoleh, 𝐴𝑥 = 𝑥 → 𝐴 = 1 𝑑𝑎𝑛 − 3𝐴 + 𝐵 = 1 → −3 + 𝐵 = 1 → 𝐵 = 4
  • 6.
    ∫ 𝑥 + 1 (𝑥− 3)2 𝑑𝑥 = ∫ 1 (𝑥 − 3) 𝑑𝑥 + 4 ∫ 1 (𝑥 − 3)2 𝑑𝑥 Subtitusikan 𝑢 = 𝑥 − 3 ke dalam integral sehingga 𝑑𝑢 = 𝑑𝑥 ∫ 𝑥 + 1 (𝑥 − 3)2 𝑑𝑥 = ∫ 𝑑𝑢 𝑢 + 4∫ 𝑢−2 𝑑𝑢 ∫ 𝑥 + 1 (𝑥 − 3)2 𝑑𝑥 = 𝑙𝑛| 𝑢| − 4𝑢−1 + 𝐶 ∫ 𝑥 + 1 (𝑥 − 3)2 𝑑𝑥 = 𝑙𝑛 | 𝑥 − 3|− 4 (𝑥 − 3) + 𝐶 Contoh Soal KASUS II Soal Latihan halaman 596 nomor 23 (James Stewart. Kalkulus Edisi Keempat Jilid 1. Jakarta:Erlangga. 2002) Hitunglah ∫ 1 ( 𝑥 + 5)2( 𝑥 − 1) 𝑑𝑥 Penyelesaian: Oleh karena faktor linear (x+5) muncul dua kali, maka dekomposisi pecahan parsialnya menjadi 1 ( 𝑥 + 5)2(𝑥 − 1) = 𝐴 (𝑥 + 5) + 𝐵 (𝑥 + 5)2 + 𝐶 (𝑥 − 1) Kalikan dengan (x+5)2 (x-1)untuk mendapatkan 1 = 𝐴( 𝑥 + 5)( 𝑥 − 1) + 𝐵( 𝑥 − 1) + 𝐶(𝑥 + 5)2 1 = 𝐴( 𝑥2 + 4𝑥 − 5) + 𝐵( 𝑥 − 1) + 𝐶(𝑥2 + 10𝑥 + 25) 1 = 𝐴𝑥2 + 4𝐴𝑥 − 5𝐴 + 𝐵𝑥 − 𝐵 + 𝐶𝑥2 + 10𝐶𝑥 + 25𝐶 1 = ( 𝐴 + 𝐶) 𝑥2 + (4𝐴 + 𝐵 + 10𝐶) 𝑥 + (−5𝐴 − 𝐵 + 25𝐶) Samakan koefisien sehingga diperoleh, ( 𝐴 + 𝐶) 𝑥2 = 0𝑥2 → ( 𝐴 + 𝐶) = 0 → 𝐴 = −𝐶 (4𝐴 + 𝐵 + 10𝐶)𝑥 = 0𝑥 → 4𝐴 + 𝐵 + 10𝐶 = 0 ……………….(1) −5𝐴 − 𝐵 + 25𝐶 = 1…………………………………………....(2) Substitusikan 𝐴 = −𝐶 ke persamaan (1) dan (2) 4𝐴 + 𝐵 + 10𝐶 = 0 → 4𝐴 + 𝐵 − 10𝐴 = 0 → −6𝐴 + 𝐵 = 0……………….(3) −5𝐴 − 𝐵 + 25𝐶 = 1 → −5𝐴 − 𝐵 − 25𝐴 = 1 → −30𝐴 − 𝐵 = 1………….(4) Eliminasi persamaan (3) dan (4) −6𝐴 + 𝐵 = 0 −30𝐴 − 𝐵 = 1 + −36𝐴 = 1 → 𝐴 = − 1 36 Subtitusikan 𝐴 = − 1 36 ke persamaan −6𝐴 + 𝐵 = 0 maka diperoleh 𝐵 = − 1 6 Karena 𝐴 = −𝐶 maka 𝐶 = 1 36
  • 7.
    ∫ 1 ( 𝑥 +5)2( 𝑥 − 1) 𝑑𝑥 = ∫ ( − 1 36 (𝑥 + 5) + − 1 6 (𝑥 + 5)2 + 1 36 (𝑥 − 1) ) 𝑑𝑥 ∫ 1 ( 𝑥 + 5)2( 𝑥 − 1) 𝑑𝑥 = − 1 36 ∫ 1 (𝑥 + 5) 𝑑𝑥 − 1 6 ∫ 1 (𝑥 + 5)2 𝑑𝑥 + 1 36 ∫ 1 (𝑥 − 1) 𝑑𝑥 Subtitusikan pada integral 𝑢1 = 𝑥 + 5 → 𝑑𝑢1 = 𝑑𝑥 dan 𝑢2 = 𝑥 − 1 → 𝑑𝑢2 = 𝑑𝑥 maka ∫ 1 ( 𝑥 + 5)2( 𝑥 − 1) 𝑑𝑥 = − 1 36 ∫ 𝑑𝑢1 𝑢1 − 1 6 ∫ 𝑢1 −2 𝑑𝑢 + 1 36 ∫ 𝑑𝑢2 𝑢2 ∫ 1 ( 𝑥 + 5)2( 𝑥 − 1) 𝑑𝑥 = − 1 36 𝑙𝑛| 𝑢1| + 1 6 𝑢1 −1 + 1 36 𝑙𝑛| 𝑢2| + 𝐶 ∫ 1 ( 𝑥 + 5)2( 𝑥 − 1) 𝑑𝑥 = − 1 36 𝑙𝑛| 𝑥 + 5| + 1 6 1 𝑥 + 5 + 1 36 𝑙𝑛| 𝑥 − 1| + 𝐶 KASUS III Q(x) mengandung faktor kuadratik yang tidak dapat diuraikan, tak ada yang berulang Jika Q(x) mempunyai faktor ax2 + bx + c, dengan b2 - 4ac < 0, maka bentuk untuk R(x)/Q(x) akan memiliki sebuah suku yang berbentuk 𝐴𝑥 + 𝐵 𝑎𝑥2 + 𝑏𝑥 + 𝑐 dimana A dan B adalah konstanta yang akan ditentukan. Sebagai contoh, fungsi yang dinyatakan oleh f(x) = 3x/[(x-3)(x2+4)(x2+9)] memiliki dekomposisi pecahan parsial yang berbentuk 3𝑥 ( 𝑥 − 3)( 𝑥2 + 4)(𝑥2 + 9) = 𝐴 (𝑥 − 3) + 𝐵𝑥 + 𝐶 (𝑥2 + 4) + 𝐷𝑥 + 𝐸 (𝑥2 + 9) Suku yang berbentuk 𝐴𝑥 + 𝐵 𝑎𝑥2 + 𝑏𝑥 + 𝑐 dapat diintegralkan dengan melengkapkan kuadratnya dan menggunakan rumus ∫ 𝑑𝑥 𝑥2 + 𝑎2 = 1 𝑎 𝑡𝑎𝑛−1 ( 𝑥 𝑎 )+ 𝐶 Contoh Soal KASUS III Soal-Soal 7.5 halaman 28 nomor 27 (Verberg, Purcell, Rigdon. Kalkulus Edisi Kesembilan Jilid 2. Jakarta:Erlangga. 2011) Hitung ∫ 2𝑥2 + 𝑥 − 8 𝑥3 + 4𝑥 𝑑𝑥 Penyelesaian: Oleh karena 𝑥3 + 4𝑥 = 𝑥(𝑥2 + 4) tidak dapat difaktorkan lebih lanjut, maka kita tuliskan
  • 8.
    2𝑥2 + 𝑥 −8 𝑥3 + 4𝑥 = 2𝑥2 + 𝑥 − 8 𝑥(𝑥2 + 4) = 𝐴 𝑥 + 𝐵𝑥 + 𝐶 𝑥2 + 4 Kalikan dengan x(x2+4) untuk mendapatkan 2𝑥2 + 𝑥 − 8 = 𝐴( 𝑥2 + 4) + ( 𝐵𝑥 + 𝐶) 𝑥 2𝑥2 + 𝑥 − 8 = 𝐴𝑥2 + 4𝐴 + 𝐵𝑥2 + 𝐶𝑥 2𝑥2 + 𝑥 − 8 = 𝐴𝑥2 + 𝐵𝑥2 + 𝐶𝑥 + 4𝐴 2𝑥2 + 𝑥 − 8 = ( 𝐴 + 𝐵) 𝑥2 + 𝐶𝑥 + 4𝐴 Samakan koefisien sehingga diperoleh, 𝐶𝑥 = 𝑥 → 𝐶 = 1 𝑑𝑎𝑛 4𝐴 = −8 → 𝐴 = −2 serta ( 𝐴 + 𝐵) 𝑥2 = 2𝑥2 → 𝐴 + 𝐵 = 2 → −2 + 𝐵 = 2 → 𝐵 = 4 ∫ 2𝑥2 + 𝑥 − 8 𝑥3 + 4𝑥 𝑑𝑥 = ∫[ −2 𝑥 + 4𝑥 + 1 𝑥2 + 4 ] 𝑑𝑥 Untuk mengintegralkan suku kedua, pecahkan menjadi dua bagian, sehingga ∫ 2𝑥2 + 𝑥 − 8 𝑥3 + 4𝑥 𝑑𝑥 = ∫ −2 𝑥 𝑑𝑥 + ∫ 4𝑥 𝑥2 + 4 𝑑𝑥 + ∫ 1 𝑥2 + 4 𝑑𝑥 Subtitusikan 𝑢1 = 𝑥 ke dalam integral yang pertama sehingga 𝑑𝑢1 = 𝑑𝑥 dan 𝑢2 = 𝑥2 + 4 ke dalam integral yang kedua sehingga 𝑑𝑢2 = 2𝑥 𝑑𝑥. Lalu hitung integral ketiga menggunakan rumus ∫ 𝑑𝑥 𝑥2 + 𝑎2 = 1 𝑎 𝑡𝑎𝑛−1 ( 𝑥 𝑎 )+ 𝐶 dengan 𝑎 = 2 ∫ 2𝑥2 + 𝑥 − 8 𝑥3 + 4𝑥 𝑑𝑥 = −2∫ 𝑑𝑢1 𝑢1 + 2∫ 𝑑𝑢2 𝑢2 + ∫ 1 𝑥2 + 4 𝑑𝑥 ∫ 2𝑥2 + 𝑥 − 8 𝑥3 + 4𝑥 𝑑𝑥 = −2 𝑙𝑛 | 𝑢1| + 2 𝑙𝑛| 𝑢2| + 1 2 tan−1 ( 𝑥 2 ) + 𝐶 ∫ 2𝑥2 + 𝑥 − 8 𝑥3 + 4𝑥 𝑑𝑥 = −2 𝑙𝑛 | 𝑥| + 2 𝑙𝑛| 𝑥2 + 4| + 1 2 tan−1 ( 𝑥 2 ) + 𝐶 Contoh Soal KASUS III Soal Latihan halaman 596 nomor 33 (James Stewart. Kalkulus Edisi Keempat Jilid 1. Jakarta:Erlangga. 2002) Hitunglah ∫ 2𝑡3 − 𝑡2 + 3𝑡 − 1 (𝑡2 + 1)(𝑡2 + 2) 𝑑𝑡 Penyelesaian: Dekomposisi pecahan parsialnya 2𝑡3 − 𝑡2 + 3𝑡 − 1 (𝑡2 + 1)(𝑡2 + 2) = 𝐴𝑡 + 𝐵 (𝑡2 + 1) + 𝐶𝑡 + 𝐷 (𝑡2 + 2) Kalikan dengan (𝑡2 + 1)(𝑡2 + 2) untuk mendapatkan 2𝑡3 − 𝑡2 + 3𝑡 − 1 = ( 𝐴𝑡 + 𝐵)( 𝑡2 + 2) + ( 𝐶𝑡 + 𝐷)( 𝑡2 + 1) 2𝑡3 − 𝑡2 + 3𝑡 − 1 = 𝐴𝑡3 + 2𝐴𝑡 + 𝐵𝑡2 + 2𝐵 + 𝐶𝑡3 + 𝐶𝑡 + 𝐷𝑡2 + 𝐷 2𝑡3 − 𝑡2 + 3𝑡 − 1 = (𝐴+𝐶)𝑡3 + (𝐵 + 𝐷)𝑡2 + (2𝐴 + 𝐶)𝑡 + (2𝐵 + 𝐷)
  • 9.
    Samakan koefisien sehinggadiperoleh 𝐴 + 𝐶 = 2….(1) 𝐵 + 𝐷 = −1.…(2) 2𝐴 + 𝐶 = 3.…(3) 2𝐵 + 𝐷 = −1….(4) Eliminasi persamaan (1) dan (3) 𝐴 + 𝐶 = 2 2𝐴 + 𝐶 = 3 – 𝐴 = 1 Subtitusi 𝐴 = 1 ke persamaan (1) sehingga 𝐴 + 𝐶 = 2 → 𝐶 = 1 Eliminasi persamaan (2) dan (4) 𝐵 + 𝐷 = −1 2𝐵 + 𝐷 = −1 – 𝐵 = 0 Subtitusi 𝐵 = 0 ke persamaan (2) sehingga 𝐵 + 𝐷 = −1 → 𝐷 = −1 ∫ 2𝑡3 − 𝑡2 + 3𝑡 − 1 (𝑡2 + 1)(𝑡2 + 2) 𝑑𝑡 = ∫ 𝑡 (𝑡2 + 1) 𝑑𝑡 + ∫ 𝑡 − 1 (𝑡2 + 2) 𝑑𝑡 Untuk mengintegralkan suku kedua, pecahkan menjadi dua bagian, sehingga ∫ 2𝑡3 − 𝑡2 + 3𝑡 − 1 (𝑡2 + 1)(𝑡2 + 2) 𝑑𝑡 = ∫ 𝑡 (𝑡2 + 1) 𝑑𝑡 + ∫ 𝑡 (𝑡2 + 2) 𝑑𝑡 + ∫ −1 (𝑡2 + 2) 𝑑𝑥 Subtitusikan 𝑢1 = 𝑡2 + 1 ke dalam integral yang pertama sehingga 𝑑𝑢1 = 2𝑡 𝑑𝑡 → 1 2 𝑑𝑢1 = 𝑡 𝑑𝑡 dan 𝑢2 = (𝑡2 + 2) ke dalam integral yang kedua sehingga 𝑑𝑢2 = 2𝑡 𝑑𝑡 → 1 2 𝑑𝑢2 = 𝑡 𝑑𝑡. Lalu hitung integral ketiga menggunakan rumus ∫ 𝑑𝑥 𝑥2 + 𝑎2 = 1 𝑎 𝑡𝑎𝑛−1 ( 𝑥 𝑎 )+ 𝐶 dengan 𝑎 = √2 ∫ 2𝑡3 − 𝑡2 + 3𝑡 − 1 (𝑡2 + 1)(𝑡2 + 2) 𝑑𝑡 = 1 2 ∫ 𝑑𝑢1 𝑢1 + 1 2 ∫ 𝑑𝑢2 𝑢2 + ∫ 1 (𝑡2 + 2) 𝑑𝑥 ∫ 2𝑡3 − 𝑡2 + 3𝑡 − 1 (𝑡2 + 1)(𝑡2 + 2) 𝑑𝑡 = 1 2 𝑙𝑛 | 𝑢1|+ 1 2 𝑙𝑛| 𝑢2| + 1 √2 tan−1 ( 𝑥 √2 ) + 𝐶 ∫ 2𝑡3 − 𝑡2 + 3𝑡 − 1 (𝑡2 + 1)(𝑡2 + 2) 𝑑𝑡 = −2 𝑙𝑛 | 𝑡2 + 1| + 2 𝑙𝑛| 𝑡2 + 2| + 1 2 tan−1 ( 𝑥 2 ) + 𝐶 Kasus IV Q (x) mengandung satu faktor kuadratik yang tak dapat diuraikan dan berulang Jika Q(x) mempunyai faktor ( 𝑎𝑥2 + 𝑏𝑥 + 𝑐) 𝑟 dengan 𝑏2 − 4𝑎𝑐 < 0 maka bukannya pecahan parsial tunggal 𝐴𝑥 + 𝐵 𝑎𝑥2 + 𝑏𝑥 + 𝑐 yang terjadi, melainkan jumlah 𝐴1 𝑥 + 𝐵1 𝑎𝑥2 + 𝑏𝑥 + 𝑐 + 𝐴2 𝑥 + 𝐵2 𝑎𝑥2 + 𝑏𝑥 + 𝑐 + ⋯ + 𝐴2 𝑥 + 𝐵2 𝑎𝑥2 + 𝑏𝑥 + 𝑐 yang muncul dalam dekomposisi pecahan parsial dari R(x)/Q(x). Masing-masing suku dalam persamaan 𝐴1 𝑥 + 𝐵1 𝑎𝑥2 + 𝑏𝑥 + 𝑐 + 𝐴2 𝑥 + 𝐵2 𝑎𝑥2 + 𝑏𝑥 + 𝑐 + ⋯ + 𝐴2 𝑥 + 𝐵2 𝑎𝑥2 + 𝑏𝑥 + 𝑐 dapat diintegralkan dengan pertama-tama melengkapkan kuadrat.
  • 10.
    Contoh Soal KASUSIV Soal Latihan halaman 596 nomor 32 (James Stewart. Kalkulus Edisi Keempat Jilid 1. Jakarta:Erlangga. 2002) Hitunglah ∫ 𝑥2 − 2𝑥 − 1 ( 𝑥 − 1)2( 𝑥2 + 1) 𝑑𝑥 Penyelesaian: Bentuk dekomposisi pecahan parsialnya adalah : 𝑥2 − 2𝑥 − 1 ( 𝑥 − 1)2( 𝑥2 + 1) = 𝐴 ( 𝑥 − 1) + 𝐵 ( 𝑥 − 1)2 + 𝐶𝑥 + 𝐷 ( 𝑥2 + 1) Kalikan dengan ( 𝑥 − 1)2( 𝑥2 + 1) sehingga diperoleh: 𝑥2 − 2𝑥 − 1 = 𝐴( 𝑥 − 1)( 𝑥2 + 1) + 𝐵( 𝑥2 + 1) + ( 𝐶𝑥 + 𝐷)( 𝑥 − 1)2 𝑥2 − 2𝑥 − 1 = 𝐴( 𝑥 − 1)( 𝑥2 + 1) + 𝐵( 𝑥2 + 1) + ( 𝐶𝑥 + 𝐷)( 𝑥2 − 2𝑥 + 1) 𝑥2 − 2𝑥 − 1 = 𝐴( 𝑥3 − 𝑥2 + 𝑥 − 1) + 𝐵( 𝑥2 + 1) + ( 𝐶𝑥 + 𝐷)( 𝑥2 − 2𝑥 + 1) 𝑥2 − 2𝑥 − 1 = 𝐴𝑥3 − 𝐴𝑥2 + 𝐴𝑥 − 𝐴 + 𝐵𝑥2 + 𝐵 + 𝐶𝑥3 − 2𝐶𝑥2 + 𝐶𝑥 + 𝐷𝑥2 − 2𝐷𝑥 + 𝐷 𝑥2 − 2𝑥 − 1 = ( 𝐴 + 𝐶) 𝑥3 + ( 𝐵 + 𝐷 − 𝐴 − 2𝐶) 𝑥2 + ( 𝐴 + 𝐶 − 2𝐷) 𝑥 − 𝐴 + 𝐵 + 𝐷 Samakan koefisiennya ( 𝐴 + 𝐶) 𝑥3 = 0𝑥3 → 𝐴 + 𝐶 = 0………………………...….(1) (𝐵 + 𝐷 – 𝐴 – 2𝐶)𝑥2 = 𝑥2 → 𝐵 + 𝐷 – 𝐴 – 2𝐶 = 1…….(2) (𝐴 + 𝐶 – 2𝐷)𝑥 = −2𝑥 → 𝐴 + 𝐶 – 2𝐷 = −2….............(3) −𝐴 + 𝐵 + 𝐷 = −1…………………………………..… (4) Lakukan eliminasi pada persamaan (1) dan (3) 𝐴 + 𝐶 = 0 𝐴 + 𝐶 − 2𝐷 = −2 - −2𝐷 = −2 𝐷 = 1 Lakukan eliminasi pada persamaan (2) dan (4) 𝐵 + 𝐷 − 𝐴 − 2𝐶 = 1 −𝐴 + 𝐵 + 𝐷 = −1 - −2𝐶 = 2 𝐶 = −1 Subtitusikan 𝐶 = −1 ke persamaan (1) A + C = 0 → 𝐴 + −1 = 0 → 𝐴 = 1 Subtitusikan 𝐴 = 1, 𝐶 = −1 dan 𝐷 = 1 ke persamaan (2) 𝐵 + 𝐷 − 𝐴 − 2𝐶 = 1 𝐵 + 1 − 1 − 2(−1) = 1 𝐵 = −2 + 1 𝐵 = −1 ∫ 𝑥2 − 2𝑥 − 1 ( 𝑥 − 1)2( 𝑥2 + 1) 𝑑𝑥 = ∫ [ 𝐴 ( 𝑥 − 1) + 𝐵 ( 𝑥 − 1)2 + 𝐶𝑥 + 𝐷 ( 𝑥2 + 1) ] 𝑑𝑥
  • 11.
    ∫ 𝑥2 − 2𝑥 −1 ( 𝑥 − 1)2( 𝑥2 + 1) 𝑑𝑥 = ∫ [ 1 ( 𝑥 − 1) + −1 ( 𝑥 − 1)2 + −𝑥 + 1 ( 𝑥2 + 1) ] 𝑑𝑥 ∫ 𝑥2 − 2𝑥 − 1 ( 𝑥 − 1)2( 𝑥2 + 1) 𝑑𝑥 = ∫ 1 ( 𝑥 − 1) 𝑑𝑥 − ∫ 1 ( 𝑥 − 1)2 𝑑𝑥 − ∫ 𝑥 ( 𝑥2 + 1) 𝑑𝑥 + ∫ 1 ( 𝑥2 + 1) 𝑑𝑥 Subtitusikan 𝑢1 = 𝑥 − 1 ke dalam integral yang pertama dan kedua sehingga 𝑑𝑢1 = 𝑑𝑥 dan 𝑢2 = 𝑥2 + 1 ke dalam integral yang ketiga sehingga 𝑑𝑢2 = 2𝑥 𝑑𝑥 → 1 2 𝑑𝑢2 = 𝑥 𝑑𝑥. Lalu hitung integral keempat menggunakan rumus ∫ 𝑑𝑥 𝑥2 + 𝑎2 = 1 𝑎 𝑡𝑎𝑛−1 ( 𝑥 𝑎 )+ 𝐶 Dengan a = 1 ∫ 𝑥2 − 2𝑥 − 1 ( 𝑥 − 1)2( 𝑥2 + 1) 𝑑𝑥 = ∫ 𝑑𝑢1 𝑢1 − ∫ 𝑢1 −2 𝑑𝑢 − 1 2 ∫ 𝑑𝑢2 𝑢2 + ∫ 1 ( 𝑥2 + 1) 𝑑𝑥 ∫ 𝑥2 − 2𝑥 − 1 ( 𝑥 − 1)2( 𝑥2 + 1) 𝑑𝑥 = 𝑙𝑛( 𝑢1) + 𝑢1 −1 − 1 2 𝑙𝑛( 𝑢2)+ 𝑡𝑎𝑛−1 𝑥 + 𝐶 ∫ 𝑥2 − 2𝑥 − 1 ( 𝑥 − 1)2( 𝑥2 + 1) 𝑑𝑥 = 𝑙𝑛( 𝑥 − 1) + 1 𝑥2 + 1 − 1 2 𝑙𝑛( 𝑥2 + 1) + 𝑡𝑎𝑛−1 𝑥 + 𝐶 Contoh Soal KASUS IV Soal-Soal 7.5 halaman 28 nomor 35 (Verberg, Purcell, Rigdon. Kalkulus Edisi Kesembilan Jilid 2. Jakarta:Erlangga. 2011) Hitunglah ∫ 𝑥3 − 4𝑥 (𝑥2 + 1)2 𝑑𝑥 Penyelesaian: Bentuk dekomposisi pecahan parsialnya 𝑥3 − 4𝑥 (𝑥2 + 1)2 = 𝐴𝑥 + 𝐵 (𝑥2 + 1) + 𝐶𝑥 + 𝐷 (𝑥2 + 1)2 Kalikan dengan (𝑥2 + 1)2 𝑥3 − 4𝑥 = 𝐴𝑥 + 𝐵( 𝑥2 + 1) + 𝐶𝑥 + 𝐷 𝑥3 − 4𝑥 = 𝐴𝑥3 + 𝐴𝑥 + 𝐵𝑥2 + 𝐵 + 𝐶𝑥 + 𝐷 𝑥3 − 4𝑥 = 𝐴𝑥3 + 𝐵𝑥2 + ( 𝐴 + 𝐶) 𝑥 + (𝐵 + 𝐷) Samakan koefisien sehingga diperoleh 𝑥3 = 𝐴𝑥3 → 𝐴 = 1............................... (1) 𝐵𝑥2 = 0𝑥2 → 𝐵 = 0……………….... (2) ( 𝐴 + 𝐶) 𝑥 = −4𝑥 → 𝐴 + 𝐶 = −4....... (3) 𝐵 + 𝐷 = 0........................................... (4) Subtitusikan persamaan (1) ke persamaan (3) 𝐴 + 𝐶 = −4 → 1 + 𝐶 = −4 → 𝑐 = −5 Subtitusikan persamaan (2) ke persamaan (4) 𝐵 + 𝐷 = 0 → 𝐷 = 0 ∫ 𝑥3 − 4𝑥 ( 𝑥2 + 1)2 = ∫ 𝑥 ( 𝑥2 + 1) 𝑑𝑥 + ∫ −5𝑥 ( 𝑥2 + 1)2 𝑑𝑥
  • 12.
    Subtitusikan 𝑢 =𝑥2 + 1 ke dalam integral yang pertama dan kedua sehingga 𝑑𝑢 = 2𝑥 𝑑𝑥 → 1 2 𝑑𝑢 = 𝑥 𝑑𝑥 ∫ 𝑥3 − 4𝑥 ( 𝑥2 + 1)2 = 1 2 ∫ 𝑑𝑢 𝑢 𝑑𝑥 + ∫(−5𝑥)𝑢−2 𝑑𝑢 ∫ 𝑥3 − 4𝑥 (𝑥2 + 1)2 = 1 2 ln( 𝑢) + 5 2 𝑢−1 ∫ 𝑥3 − 4𝑥 (𝑥2 + 1)2 = 1 2 ln( 𝑥2 + 1) + 5 2 1 𝑥2 + 1 + 𝐶 CATATAN. Terkadang fraksi parsial dapat dihindari ketika mengintegralkan fungsi rasional. Misalnya, meskipun integral ∫ 𝑥2 + 1 𝑥( 𝑥2 + 3) 𝑑𝑥 dapat dihitung dengan metode untuk kasus III, akan sangat lebih mudah untuk mengamati bahwa jika 𝑢 = 𝑥( 𝑥2 + 3) = 𝑥3 + 3𝑥, maka 𝑑𝑢 = (3𝑥2 + 3) 𝑑𝑥 dan karenanya ∫ 𝑥2 + 1 𝑥( 𝑥2 + 3) 𝑑𝑥 = 1 3 ln| 𝑥3 + 3𝑥| + 𝐶 Sumber Buku James Stewart. Kalkulus Edisi Keempat Jilid 1. Jakarta:Erlangga. 2002 Verberg, Purcell, Rigdon. Kalkulus Edisi Kesembilan Jilid 2. Jakarta:Erlangga. 2011