Shortest paths in graphs




                           1
Shortest path IN   directed graph




                                    2
Shortest paths




                 3
Variants
• Single-source: Find shortest paths from a
  given source vertex s in V to every vertex
  v in V.
• Single-destination: Find shortest paths to
  a given destination vertex.
• Single-pair: Find shortest path from u to
  v. No way known that’s better in worst case
  than solving single-source.
• All-pairs: Find shortest path from u to v
  for all u, v in V. We’ll see algorithms for all-
  pairs in the next chapter.

                                                 4
Negative-weight edges

• OK, as long as no negative-weight cycles
  are reachable from the source.
• •If we have a negative-weight cycle, we can
  just keep going around it, and get
•     w(s, v) = −∞for all v on the cycle.
• But OK if the negative-weight cycle is not
  reachable from the source.
• Some algorithms work only if there are no
  negative-weight edges in the graph.

                                            5
Lemma 1)
•   Optimal substructure lemma: Any sub-path of
    a shortest path is a shortest path.
•   Shortest paths can’t contain cycles:
      proofs: rather trivial.

•   We use the d[v] array at all times
INIT-SINGLE-SOURCE(V, s)
{
    for each v in V{
       d[v]←∞
       π[v] ← NIL
     }
    d[s] ← 0
}
                                                  6
Relaxing
RELAX(u, v, w){
  if d[v] > d[u] + w(u, v) then{
      d[v] ← d[u] + w(u, v)
      π[v]← u
  }
}
     For all the single-source shortest-paths
     algorithms we’ll do the following:
     • start by calling INIT-SINGLE-SOURCE,
     • then relax edges.
     The algorithms differ in the order and
     how many times they relax each edge.

                                            7
Lemma 2) Triangle inequality

Claim: For all (u, v) in E, we have
            δ(s, v) ≤ δ(s, u) + w(u, v).
Proof: Weight of shortest path s ---> v is
          ≤ weight of any path s --->v.
Path s ---> u → v is a path s --->v, and if we
  use a shortest path s ---> u, its weight is
  δ(s, u) + w(u, v).




                                                 8
Lemma 3) Upper-bound property
1) Always have d[v] ≥ δ(s, v) for all v.
2) Once d[v] = δ(s, v), it never changes.
Proof Initially true.
• Suppose there exists a vertex such that
  d[v] < δ(s, v). Without loss of generality, v is first
  vertex for which this happens.
• Let u be the vertex that causes d[v] to change.
  Then d[v] = d[u] + w(u, v).
So, d[v] < δ(s, v)
    ≤ δ(s, u) + w(u, v) (triangle inequality)
    ≤ d[u] + w(u, v) (v is first violation)
  d[v] < d[u] + w(u, v) .
Contradicts d[v] = d[u] + w(u, v).
                                                           9
Lemma 4: Convergence property

If s ---> u → v is a shortest path and
 d[u] = δ(s, u), and we call RELAX(u,v,w), then
 d[v] = δ(s, v) afterward.
Proof: After relaxation:
d[v] ≤ d[u] + w(u, v) (RELAX code)
=      δ(s, u) + w(u, v) (assumption)
=     δ(s, v) (Optimal substructure lemma)
Since d[v] ≥ δ(s, v), must have d[v] = δ(s, v).


                                              10
(Lemma 5) Path relaxation property

Let p = v0, v1, . . . , vk be a shortest path from s = v0
  to vk .
If we relax, in order, (v0, v1), (v1, v2), . . . , (Vk−1,
  Vk), even intermixed with other relaxations,
then d[Vk ] = δ(s, Vk ).
Proof Induction to show that d[vi ] = δ(s, vi ) after
  (vi−1, vi ) is relaxed.
Basis: i = 0. Initially, d[v0] = 0 = δ(s, v0) = δ(s, s).
Inductive step: Assume d[vi−1] = δ(s, vi−1). Relax
  (vi−1, vi ). By convergence property, d[vi ] = δ(s,
  vi ) afterward and d[vi ] never changes.

                                                            11
The Bellman-Ford algorithm

• Allows negative-weight edges.
• Computes d[v] and π[v] for all v inV.
• Returns TRUE if no negative-weight cycles
  reachable from s, FALSE otherwise.




                                              12
Bellman-ford
BELLMAN-FORD(V, E, w, s){
     INIT-SINGLE-SOURCE(V, s)
     for i ← 1 to |V| − 1
            for each edge (u, v) in E
                   RELAX(u, v, w)
    for each edge (u, v) in E
          if d[v] > d[u] + w(u, v)
              return FALSE
   return TRUE
}
Time: O(V*E)= O(V^3) in the worst case.

                                          13
Correctness of Belman-Ford
Let v be reachable from s, and let p = {v0, v1, . . . , vk}
   be a shortest path from s  v,
               where v0 = s and vk = v.
• Since p is acyclic, it has ≤ |V| − 1 edges, so k ≤|V|−1.
Each iteration of the for loop relaxes all edges:
• First iteration relaxes (v0, v1).
• Second iteration relaxes (v1, v2).
• kth iteration relaxes (vk−1, vk).
By the path-relaxation property,
       d[v] = d[vk ] = δ(s, vk ) = δ(s, v).

                                                         14
How about the TRUE/FALSE return value?

• Suppose there is no negative-weight cycle
  reachable from s.
At termination, for all (u, v) in E,
   d[v] = δ(s, v)
        ≤ δ(s, u) + w(u, v) (triangle inequality)
        = d[u] + w(u, v) .
So BELLMAN-FORD returns TRUE.




                                                    15
Proof continues




                  16
Single-source shortest paths in a directed
               acyclic graph
DAG-SHORTEST-PATHS(V, E, w, s)
{
   topologically sort the vertices
   INIT-SINGLE-SOURCE(V, s)
   for each vertex u, in topologically order
      for each vertex v in Adj[u]
           RELAX(u, v, w)
}

                                               17
18
Dijkstra’s algorithm

• No negative-weight edges.
• Essentially a weighted version of breadth-
  first search.
• Instead of a FIFO queue, uses a priority
  queue.
• Keys are shortest-path weights (d[v]).
• Have two sets of vertices:
     S = vertices whose final shortest-path
          weights are determined,
     Q = priority queue = (was V − S. not
 anymore)
                                               19
Dijkstra algorithm
DIJKSTRA(V, E, w, s){
  INIT-SINGLE-SOURCE(V, s)
  Q←s
  while Q = ∅{
      u ← EXTRACT-MIN(Q)
       for each vertex v in Adj [u]{
             if (d[v] == infinity){
                       RELAX(u,v,w); (d[v]=d[u]+w[u,v])
                      enqueue(v,Q)
             }
            elseif(v inside Q)
                 RELAX(u,v,w);
                 change priority(Q,v);
    }
}                                                         20
Dijkstra's




             21
Dijkstra's




             22
Best-first search
• Best first search – an algorithm scheme:
   • Have a queue (open-list) of nodes. That is of
     generated but no expanded.
   • List is sorted according to a cost function.
   • Add the start node to the queue
   =============================
   while queue not empty{ (expansion cycle):
      • Remove the best node from the queue
         • Goal-test (If goal, stop)
      • Add its children to the queue
         • Take care of duplicates {relax}

  }
                                                     23
Best-first search
• Best-first search algorithm differ in their
  cost function, labeled f(n)
   • and maybe some other technical details are
     different too.
   • There are many implementation variants.
• Breadth-first search: f(n) = number of edges in the tree
• Dijsktra’s algorithm: f(n) = weight of the edges.
   • Also called Unifrom cost search (UCS). Should be called
      wegihted-breadth-first search (WBRFS).
• A* Algorithm: f(n)=g(n)+h(n). We will study this next year.
• Other special cases too.


                                                               24
Best-first search
• In general a node n in best-first search is
  going through the following three stages:
  • Unknown It was not yet generated.
    • AKA (free, white, unseen…)
  • In queue n was generated and it is in the queue.
    • AKA (Opened, generated-not-expanded, touched,
      visited, gray, seen-not-handled)
  • Expanded (AKA, handled, finished, black,
    closed)



                                                      25
Correctness proof for Dijkstra
• 1)  Queue is a perimeter of nodes around s.
   • Proof by induction:
        • Initially true. S is a perimeter around itself.
        • Generalization: A node was removed, but all its negihbours were added.
   • Consequence: every path to the goal (including any shortest path)
     has a representative node in queue
• 2) The cost of a node in queue can only be increased.
   •   Proof: Since all edges are non-negative. Cost can only be increased.

• 3) When node is chosen for expansion, its cost is the best in the
  queue.
• Consequence: If there is a better path there must be an ancestor
  in the q ueue (1) with a better cost (2). This is impossible. (3)




                                                                                   26
Correctness proof for Dijkstra
• B will only be expanded if there is no ancestor
  of B with small value.



         S                        S
        9     8                  4
    A                        A         8

        3     B                  3     B

                    C                       C
                                                    27
Correctness proof for Dijkstra
• What happens if edges are negative?
  • Item 2 (lower bound) is no longer true and therefore -
  • Costs are not a lower bound and can be later
    decreased. Optimality is not guaranteed.

• When node A is selected,
it does not have the       C
shortest path to it.                2
• Why? Because via B we              A -4 B
have a shorter path
                                      5   8
• Could be corrected if we
re-insert nodes into the                    S
queue
                                                         28
Proof according to book:
very hard and not necessary (Do not learn)




                                             29
30
Proof




        31
All pairs Shortest paths




                           32
33
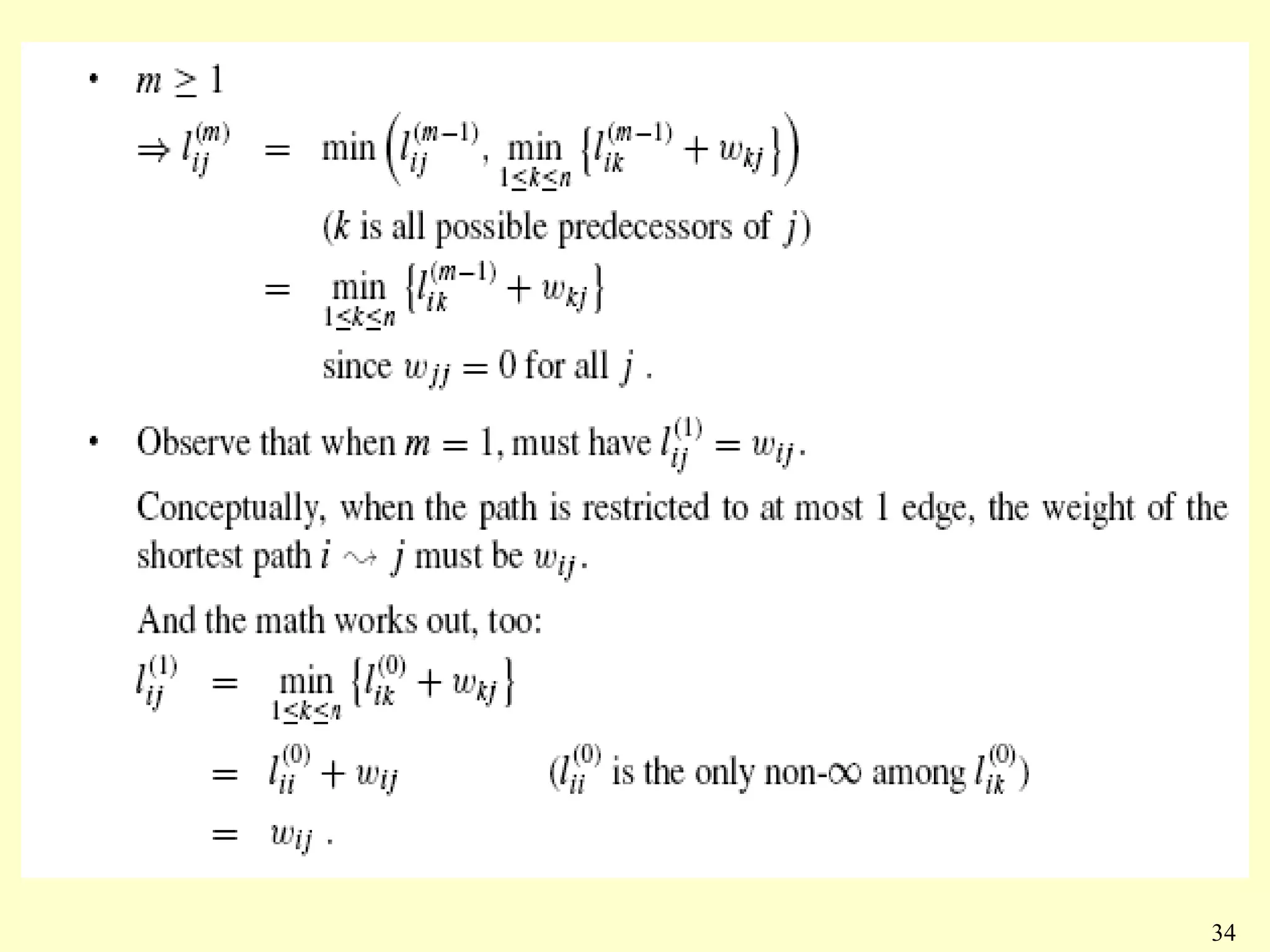
34
35
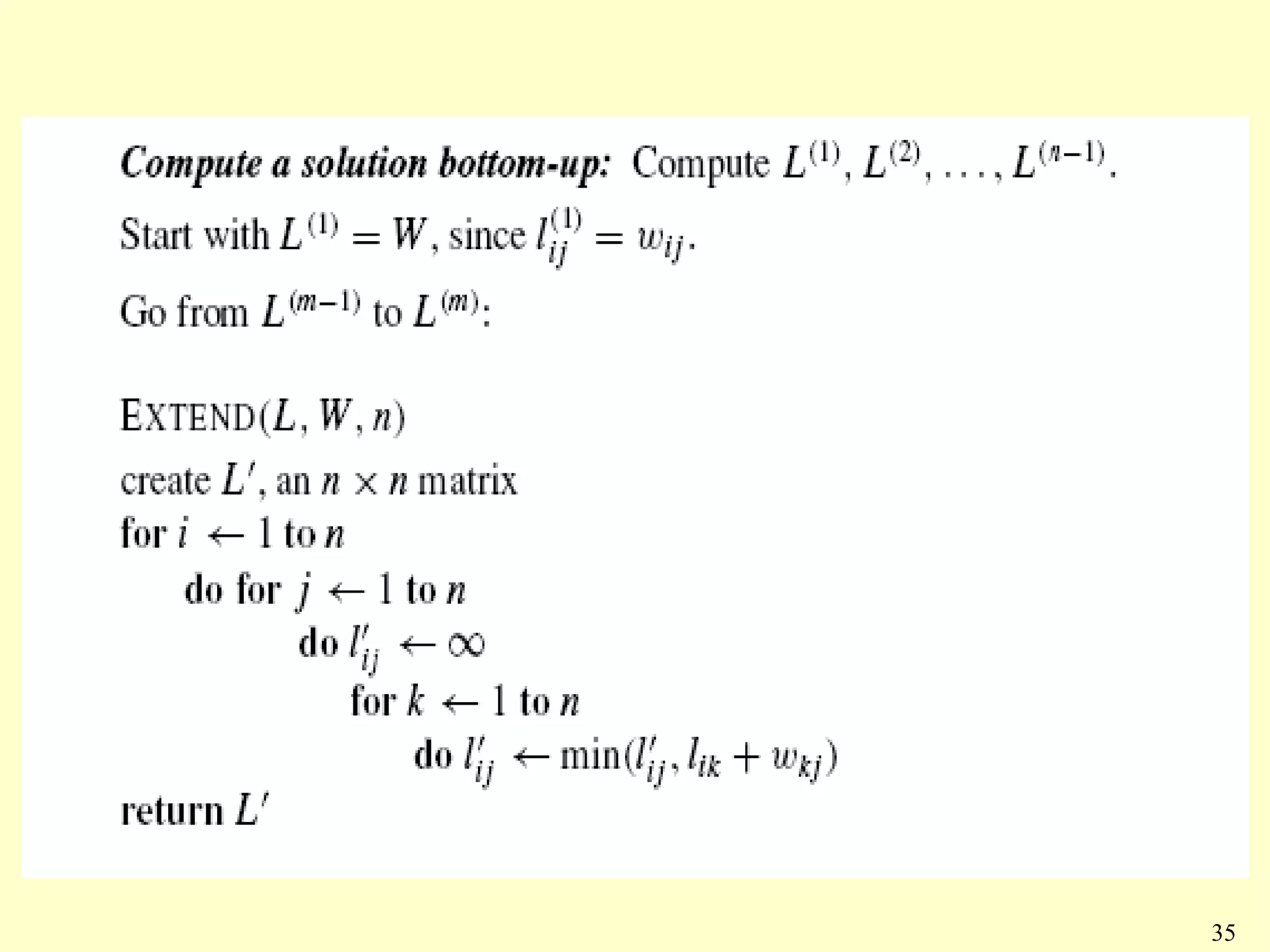
APSP




       36
Matrixes
Observation: EXTEND is like matrix
  multiplication:
L→A
W→B
L’ → C
min → +
+→·
∞→0


                                     37
C=BxA  L’=LxW
                 38
Matrix Multiplication




                        39
All pairs shortest paths
• Directed graph G = (V, E), weight w : E → R,
  |V | = n .
Goal: create an n × n matrix of shortest-path
  distances δ(u, v).
• Could run BELLMAN-FORD once from each
  vertex
• If no negative-weight edges, could run
  Dijkstra’s algorithm once from each
  vertex:
• We’ll see how to do in O(V3) in all cases,
  with no fancy data structure.
                                             40
Floyd-Warshal algorithm
For path p = {v1, v2, . . . , vl} , an intermediate
vertex is any vertex of p other than v1 or vl .
• Let dij{k} = shortest-path weight of any
  path i  j with all intermediate vertices
  from {1, 2, . . . , k}.

Consider a shortest path p:i j with all
 intermediate vertices in {1, 2, . . . , k}:



                                                  41
Floyd-Warshal




                42
Floyd-Warshal




                43
The algorithm




                44
Proof for floyd warshal
• Invariant: for each K we have the shortest
  path from each pair with intermediate
  vertices {1,2, .. K}
Proof is an easy induction.
• Basic step: use D(0)
• Induction step: look at the last line!!
• Time: O(v^3)




                                           45
Transitive closure
Given G = (V, E), directed.
Compute G∗ = (V, E∗).
• E∗ = {(i, j ) : there is a path i  j in G}.
Could assign weight of 1 to each edge, then
  run FLOYD-WARSHALL.
• If di j < n, then there is a path i  j .
• Otherwise, di j =∞ and there is no path.




                                                 46
47
Time: O(n^3), but simpler operations than
FLOYD-WARSHALL.                           48

Inroduction_To_Algorithms_Lect14

  • 1.
  • 2.
    Shortest path IN directed graph 2
  • 3.
  • 4.
    Variants • Single-source: Findshortest paths from a given source vertex s in V to every vertex v in V. • Single-destination: Find shortest paths to a given destination vertex. • Single-pair: Find shortest path from u to v. No way known that’s better in worst case than solving single-source. • All-pairs: Find shortest path from u to v for all u, v in V. We’ll see algorithms for all- pairs in the next chapter. 4
  • 5.
    Negative-weight edges • OK,as long as no negative-weight cycles are reachable from the source. • •If we have a negative-weight cycle, we can just keep going around it, and get • w(s, v) = −∞for all v on the cycle. • But OK if the negative-weight cycle is not reachable from the source. • Some algorithms work only if there are no negative-weight edges in the graph. 5
  • 6.
    Lemma 1) • Optimal substructure lemma: Any sub-path of a shortest path is a shortest path. • Shortest paths can’t contain cycles: proofs: rather trivial. • We use the d[v] array at all times INIT-SINGLE-SOURCE(V, s) { for each v in V{ d[v]←∞ π[v] ← NIL } d[s] ← 0 } 6
  • 7.
    Relaxing RELAX(u, v, w){ if d[v] > d[u] + w(u, v) then{ d[v] ← d[u] + w(u, v) π[v]← u } } For all the single-source shortest-paths algorithms we’ll do the following: • start by calling INIT-SINGLE-SOURCE, • then relax edges. The algorithms differ in the order and how many times they relax each edge. 7
  • 8.
    Lemma 2) Triangleinequality Claim: For all (u, v) in E, we have δ(s, v) ≤ δ(s, u) + w(u, v). Proof: Weight of shortest path s ---> v is ≤ weight of any path s --->v. Path s ---> u → v is a path s --->v, and if we use a shortest path s ---> u, its weight is δ(s, u) + w(u, v). 8
  • 9.
    Lemma 3) Upper-boundproperty 1) Always have d[v] ≥ δ(s, v) for all v. 2) Once d[v] = δ(s, v), it never changes. Proof Initially true. • Suppose there exists a vertex such that d[v] < δ(s, v). Without loss of generality, v is first vertex for which this happens. • Let u be the vertex that causes d[v] to change. Then d[v] = d[u] + w(u, v). So, d[v] < δ(s, v) ≤ δ(s, u) + w(u, v) (triangle inequality) ≤ d[u] + w(u, v) (v is first violation)  d[v] < d[u] + w(u, v) . Contradicts d[v] = d[u] + w(u, v). 9
  • 10.
    Lemma 4: Convergenceproperty If s ---> u → v is a shortest path and d[u] = δ(s, u), and we call RELAX(u,v,w), then d[v] = δ(s, v) afterward. Proof: After relaxation: d[v] ≤ d[u] + w(u, v) (RELAX code) = δ(s, u) + w(u, v) (assumption) = δ(s, v) (Optimal substructure lemma) Since d[v] ≥ δ(s, v), must have d[v] = δ(s, v). 10
  • 11.
    (Lemma 5) Pathrelaxation property Let p = v0, v1, . . . , vk be a shortest path from s = v0 to vk . If we relax, in order, (v0, v1), (v1, v2), . . . , (Vk−1, Vk), even intermixed with other relaxations, then d[Vk ] = δ(s, Vk ). Proof Induction to show that d[vi ] = δ(s, vi ) after (vi−1, vi ) is relaxed. Basis: i = 0. Initially, d[v0] = 0 = δ(s, v0) = δ(s, s). Inductive step: Assume d[vi−1] = δ(s, vi−1). Relax (vi−1, vi ). By convergence property, d[vi ] = δ(s, vi ) afterward and d[vi ] never changes. 11
  • 12.
    The Bellman-Ford algorithm •Allows negative-weight edges. • Computes d[v] and π[v] for all v inV. • Returns TRUE if no negative-weight cycles reachable from s, FALSE otherwise. 12
  • 13.
    Bellman-ford BELLMAN-FORD(V, E, w,s){ INIT-SINGLE-SOURCE(V, s) for i ← 1 to |V| − 1 for each edge (u, v) in E RELAX(u, v, w) for each edge (u, v) in E if d[v] > d[u] + w(u, v) return FALSE return TRUE } Time: O(V*E)= O(V^3) in the worst case. 13
  • 14.
    Correctness of Belman-Ford Letv be reachable from s, and let p = {v0, v1, . . . , vk} be a shortest path from s  v, where v0 = s and vk = v. • Since p is acyclic, it has ≤ |V| − 1 edges, so k ≤|V|−1. Each iteration of the for loop relaxes all edges: • First iteration relaxes (v0, v1). • Second iteration relaxes (v1, v2). • kth iteration relaxes (vk−1, vk). By the path-relaxation property, d[v] = d[vk ] = δ(s, vk ) = δ(s, v). 14
  • 15.
    How about theTRUE/FALSE return value? • Suppose there is no negative-weight cycle reachable from s. At termination, for all (u, v) in E, d[v] = δ(s, v) ≤ δ(s, u) + w(u, v) (triangle inequality) = d[u] + w(u, v) . So BELLMAN-FORD returns TRUE. 15
  • 16.
  • 17.
    Single-source shortest pathsin a directed acyclic graph DAG-SHORTEST-PATHS(V, E, w, s) { topologically sort the vertices INIT-SINGLE-SOURCE(V, s) for each vertex u, in topologically order for each vertex v in Adj[u] RELAX(u, v, w) } 17
  • 18.
  • 19.
    Dijkstra’s algorithm • Nonegative-weight edges. • Essentially a weighted version of breadth- first search. • Instead of a FIFO queue, uses a priority queue. • Keys are shortest-path weights (d[v]). • Have two sets of vertices: S = vertices whose final shortest-path weights are determined, Q = priority queue = (was V − S. not anymore) 19
  • 20.
    Dijkstra algorithm DIJKSTRA(V, E,w, s){ INIT-SINGLE-SOURCE(V, s) Q←s while Q = ∅{ u ← EXTRACT-MIN(Q) for each vertex v in Adj [u]{ if (d[v] == infinity){ RELAX(u,v,w); (d[v]=d[u]+w[u,v]) enqueue(v,Q) } elseif(v inside Q) RELAX(u,v,w); change priority(Q,v); } } 20
  • 21.
  • 22.
  • 23.
    Best-first search • Bestfirst search – an algorithm scheme: • Have a queue (open-list) of nodes. That is of generated but no expanded. • List is sorted according to a cost function. • Add the start node to the queue ============================= while queue not empty{ (expansion cycle): • Remove the best node from the queue • Goal-test (If goal, stop) • Add its children to the queue • Take care of duplicates {relax} } 23
  • 24.
    Best-first search • Best-firstsearch algorithm differ in their cost function, labeled f(n) • and maybe some other technical details are different too. • There are many implementation variants. • Breadth-first search: f(n) = number of edges in the tree • Dijsktra’s algorithm: f(n) = weight of the edges. • Also called Unifrom cost search (UCS). Should be called wegihted-breadth-first search (WBRFS). • A* Algorithm: f(n)=g(n)+h(n). We will study this next year. • Other special cases too. 24
  • 25.
    Best-first search • Ingeneral a node n in best-first search is going through the following three stages: • Unknown It was not yet generated. • AKA (free, white, unseen…) • In queue n was generated and it is in the queue. • AKA (Opened, generated-not-expanded, touched, visited, gray, seen-not-handled) • Expanded (AKA, handled, finished, black, closed) 25
  • 26.
    Correctness proof forDijkstra • 1) Queue is a perimeter of nodes around s. • Proof by induction: • Initially true. S is a perimeter around itself. • Generalization: A node was removed, but all its negihbours were added. • Consequence: every path to the goal (including any shortest path) has a representative node in queue • 2) The cost of a node in queue can only be increased. • Proof: Since all edges are non-negative. Cost can only be increased. • 3) When node is chosen for expansion, its cost is the best in the queue. • Consequence: If there is a better path there must be an ancestor in the q ueue (1) with a better cost (2). This is impossible. (3) 26
  • 27.
    Correctness proof forDijkstra • B will only be expanded if there is no ancestor of B with small value. S S 9 8 4 A A 8 3 B 3 B C C 27
  • 28.
    Correctness proof forDijkstra • What happens if edges are negative? • Item 2 (lower bound) is no longer true and therefore - • Costs are not a lower bound and can be later decreased. Optimality is not guaranteed. • When node A is selected, it does not have the C shortest path to it. 2 • Why? Because via B we A -4 B have a shorter path 5 8 • Could be corrected if we re-insert nodes into the S queue 28
  • 29.
    Proof according tobook: very hard and not necessary (Do not learn) 29
  • 30.
  • 31.
  • 32.
  • 33.
  • 34.
  • 35.
  • 36.
  • 37.
    Matrixes Observation: EXTEND islike matrix multiplication: L→A W→B L’ → C min → + +→· ∞→0 37
  • 38.
  • 39.
  • 40.
    All pairs shortestpaths • Directed graph G = (V, E), weight w : E → R, |V | = n . Goal: create an n × n matrix of shortest-path distances δ(u, v). • Could run BELLMAN-FORD once from each vertex • If no negative-weight edges, could run Dijkstra’s algorithm once from each vertex: • We’ll see how to do in O(V3) in all cases, with no fancy data structure. 40
  • 41.
    Floyd-Warshal algorithm For pathp = {v1, v2, . . . , vl} , an intermediate vertex is any vertex of p other than v1 or vl . • Let dij{k} = shortest-path weight of any path i  j with all intermediate vertices from {1, 2, . . . , k}. Consider a shortest path p:i j with all intermediate vertices in {1, 2, . . . , k}: 41
  • 42.
  • 43.
  • 44.
  • 45.
    Proof for floydwarshal • Invariant: for each K we have the shortest path from each pair with intermediate vertices {1,2, .. K} Proof is an easy induction. • Basic step: use D(0) • Induction step: look at the last line!! • Time: O(v^3) 45
  • 46.
    Transitive closure Given G= (V, E), directed. Compute G∗ = (V, E∗). • E∗ = {(i, j ) : there is a path i  j in G}. Could assign weight of 1 to each edge, then run FLOYD-WARSHALL. • If di j < n, then there is a path i  j . • Otherwise, di j =∞ and there is no path. 46
  • 47.
  • 48.
    Time: O(n^3), butsimpler operations than FLOYD-WARSHALL. 48