MATH 3005 Homework Solution Han-Bom Moon
Homework 2 Solution
Chapter 2 - Groups.
due: Sep. 19.
1. In each case, find the inverse of the element.
(a) 12 ∈ (Z20, +).
12 + 8 = 0 mod 20 ⇒ −12 = 8
(b) 12 ∈ (U(13), ×).
12 · 12 = (−1) · (−1) = 1 mod 13 ⇒ 12−1
= 12
(c) More generally, n − 1 ∈ (U(n), ×) for n > 2.
(n − 1)2
= n2
− 2n + 1 = 1 mod n ⇒ (n − 1)−1
= n − 1
2. Let G be a group and let a, b, c ∈ G.
(a) Write the following expressions without using parentheses.
(ab)3
, (a2
ba−1
)3
, a3
(b2
c−1
a2
)−2
(ab)3
= (ab)(ab)(ab) = ababab
(a2
ba−1
)3
= (a2
ba−1
)(a2
ba−1
)(a2
ba−1
) = a2
b(a−1
a2
)b(a−1
a2
)ba−1
= a2
bababa−1
(b2
c−1
a2
)−1
= (a2
)−1
(c−1
)−1
(b2
)−1
= a−2
cb−2
⇒ a3
(b2
c−1
a2
)−2
= a3
((b2
c−1
a2
)−1
)2
= a3
(a−2
cb−2
)(a−2
cb−2
) = acb−2
a−2
cb−2
(b) Now assume that G is Abelian. Simplify elements in (a) further.
(ab)3
= ababab = aaabbb = a3
b3
(a2
ba−1
)3
= a2
bababa−1
= a2
aaa−1
bbb = a3
b3
a3
(b2
c−1
a2
)−2
= acb−2
a−2
cb−2
= aa−2
ccb−2
b−2
= a−1
c2
b−4
3. Let G be a group and let H := {x−1 | x ∈ G}. Show that G = H as sets.
Here is a standard technique to show the equality between sets. To show the fact
that H = G as a set, we need to show that H ⊂ G and G ⊂ H. Also to show that
H ⊂ G, we have to prove that for any element a ∈ H, a ∈ G.
Step 1. H ⊂ G
If a ∈ H, then a = x−1 for some x ∈ G. Because G is a group, x−1 ∈ G. Thus
a ∈ G and H ⊂ G.
Step 2. G ⊂ H
Let a ∈ G. Then a = (a−1)−1, because a · a−1 = e = a−1a so a satisfies the axiom
for the inverse of a−1. Therefore a is the inverse of some element of G. Thus
a ∈ H and G ⊂ H.
1
MATH 3005 Homework Solution Han-Bom Moon
4. Show that a group G is Abelian if and only if (ab)−1 = a−1b−1 for every a, b ∈ G.
Step 1. G is Abelian ⇒ (ab)−1 = a−1b−1 for all a, b ∈ G.
Note that (ab)−1 = b−1a−1 in general. Because G is Abelian, b−1a−1 = a−1b−1.
Step 2. (ab)−1 = a−1b−1 for all a, b ∈ G ⇒ G is Abelian.
Take a, b ∈ G. Note that a−1b−1 = (ba)−1. Therefore (ab)−1 = (ba)−1. Thus
ab = ((ab)−1)−1 = ((ba)−1)−1 = ba and G is Abelian.
5. Let G be a finite group. Show that {x ∈ G | x3 = e} has odd number of elements.
A simple technique to show that the number of elements of a set S is even is to
show that we can pair all elements of S. (More formally, we can think a pairing
on a set S as a bijective map p : S → S such that p(x) = x and p(p(x)) = x. Then
we can make pairs {x, p(x)} for all elements x ∈ S.) Of course, to show that the
number of elements of S is odd, take one element x out from S and show that we
can pair all elements of S − {x}.
Let S = {x ∈ G | x3 = e}. We want to show that the number of elements of S is
odd. Note that e ∈ S. Let S = S −{e}. We will show that the number of elements
in S is even.
Take x ∈ S and consider x−1. First of all, because (x−1)3 = (x3)−1 = e−1 = e,
x−1 ∈ S. Because x = e, x−1 = e and x−1 ∈ S .
We claim that collecting {x, x−1} for all x ∈ S forms pairs for all x ∈ S . This
is indeed a pair (i.e., x = x−1), because if x = x−1, then x2 = xx−1 = e and
x = xe = xx2 = x3 = e. Obviously each element in S is in one of such pairs.
Next, suppose that {x, x−1} ∩ {y, y−1} = ∅. If x = y, then {x, x−1} = {y, y−1}.
If x = y−1, then because x−1 = (y−1)−1 = y, {x, x−1} = {y, y−1} again. In any
cases, such two pairs {x, x−1} and {y, y−1} are disjoint or equal. Therefore we
can divide the set S into pairs. Therefore the number of elements of S is even
and that of S is odd.
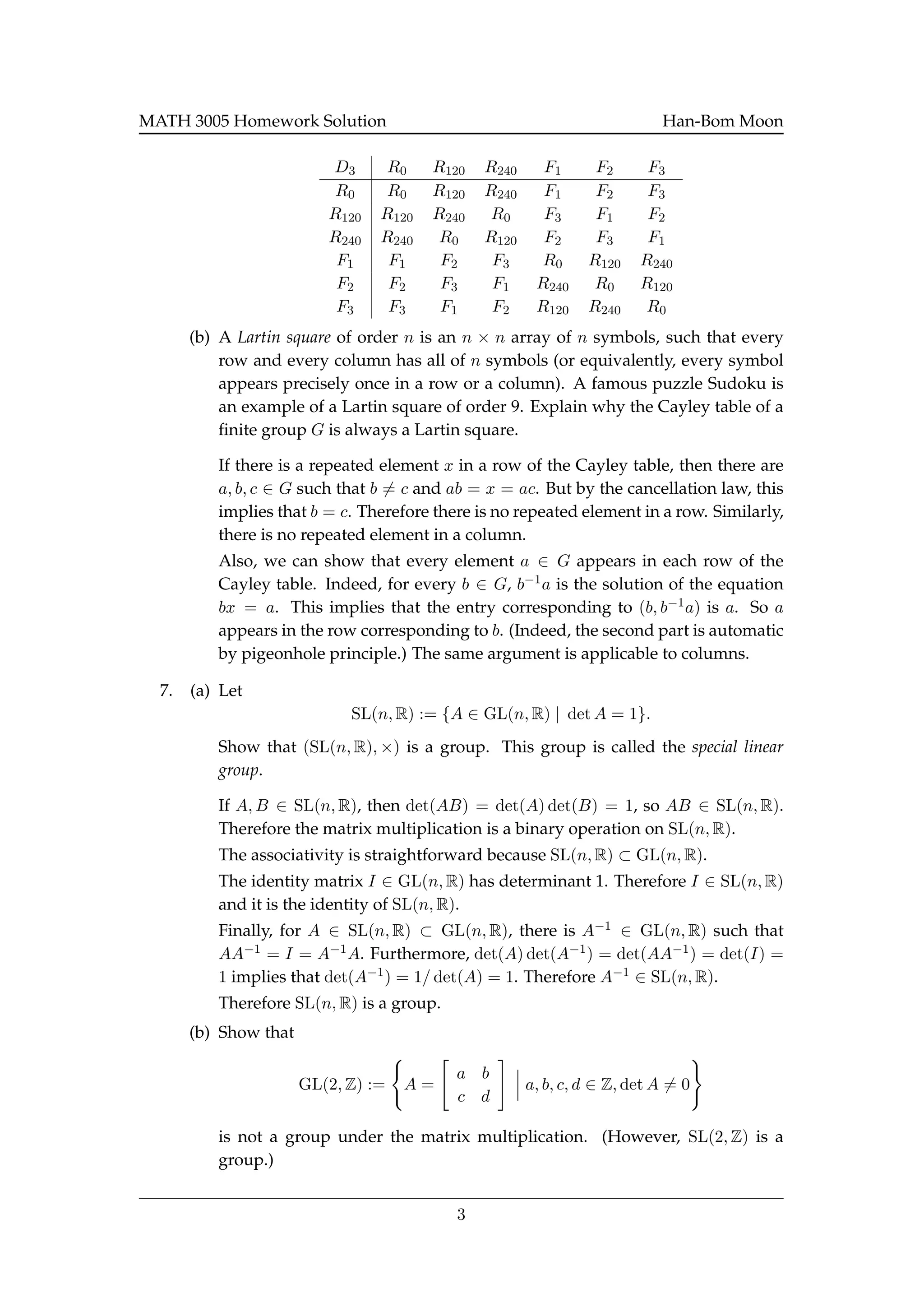
6. (a) Construct Cayley tables of (U(12), ×) and D3.
U(12) 1 5 7 11
1 1 5 7 11
5 5 1 11 7
7 7 11 1 5
11 11 7 5 1
For D3, let R120, R240, R0 be three rotations. Let v1, v2, v3 be three vertices
(written in counterclockwise order) and let F1 (resp. F2, F3 be three reflec-
tions along a line connecting v1 (resp. v2, v3) and the center of the regular
triangle.
2
MATH 3005 Homework Solution Han-Bom Moon
D3 R0 R120 R240 F1 F2 F3
R0 R0 R120 R240 F1 F2 F3
R120 R120 R240 R0 F3 F1 F2
R240 R240 R0 R120 F2 F3 F1
F1 F1 F2 F3 R0 R120 R240
F2 F2 F3 F1 R240 R0 R120
F3 F3 F1 F2 R120 R240 R0
(b) A Lartin square of order n is an n × n array of n symbols, such that every
row and every column has all of n symbols (or equivalently, every symbol
appears precisely once in a row or a column). A famous puzzle Sudoku is
an example of a Lartin square of order 9. Explain why the Cayley table of a
finite group G is always a Lartin square.
If there is a repeated element x in a row of the Cayley table, then there are
a, b, c ∈ G such that b = c and ab = x = ac. But by the cancellation law, this
implies that b = c. Therefore there is no repeated element in a row. Similarly,
there is no repeated element in a column.
Also, we can show that every element a ∈ G appears in each row of the
Cayley table. Indeed, for every b ∈ G, b−1a is the solution of the equation
bx = a. This implies that the entry corresponding to (b, b−1a) is a. So a
appears in the row corresponding to b. (Indeed, the second part is automatic
by pigeonhole principle.) The same argument is applicable to columns.
7. (a) Let
SL(n, R) := {A ∈ GL(n, R) | det A = 1}.
Show that (SL(n, R), ×) is a group. This group is called the special linear
group.
If A, B ∈ SL(n, R), then det(AB) = det(A) det(B) = 1, so AB ∈ SL(n, R).
Therefore the matrix multiplication is a binary operation on SL(n, R).
The associativity is straightforward because SL(n, R) ⊂ GL(n, R).
The identity matrix I ∈ GL(n, R) has determinant 1. Therefore I ∈ SL(n, R)
and it is the identity of SL(n, R).
Finally, for A ∈ SL(n, R) ⊂ GL(n, R), there is A−1 ∈ GL(n, R) such that
AA−1 = I = A−1A. Furthermore, det(A) det(A−1) = det(AA−1) = det(I) =
1 implies that det(A−1) = 1/ det(A) = 1. Therefore A−1 ∈ SL(n, R).
Therefore SL(n, R) is a group.
(b) Show that
GL(2, Z) := A =
a b
c d
a, b, c, d ∈ Z, det A = 0
is not a group under the matrix multiplication. (However, SL(2, Z) is a
group.)
3
MATH 3005 Homework Solution Han-Bom Moon
For A :=
2 0
0 1
∈ GL(2, Z) ⊂ GL(2, R), A−1 =
1/2 0
0 1
is the only
one matrix in GL(2, R) satisfying AA−1 = A−1A = I. But A−1 /∈ GL(2, Z).
Therefore GL(2, Z) is not a group.
8. Define
O(2) := {A ∈ GL(2, R) | AAt
= I}.
(a) Show that (O(2), ×) is a group. This group is called the orthogonal group.
For A, B ∈ O(2), (AB)(AB)t = ABBtAt = AAt = I. Thus AB ∈ O(2) and
the matrix multiplication defines a binary operation on O(2).
Since O(2) ⊂ GL(2, R), the associativity is obvious. IIt = I implies that
I ∈ O(2). Finally, for A ∈ O(2), AAt = I means that At = A−1 and AtA = I.
So (A−1)(A−1)t = AtA = I and A−1 ∈ O(2). Therefore O(2) is a group.
(b) Show that every element of O(2) is of the form
cos θ − sin θ
sin θ cos θ
or
− cos θ sin θ
sin θ cos θ
for some angle θ. (Therefore this group has a close connection with plane
rotations.)
Take A =
a b
c d
∈ O(2).
AAt
=
a b
c d
a c
b d
=
a2 + b2 ac + bd
ac + bd c2 + d2 =
1 0
0 1
= I
So we have a2 + b2 = 1, c2 + d2 = 1 and ac + bd = 0.
Since (a, b), (d, c) ∈ R2 are on the unit circle centered at the origin, there
are two angles 0 ≤ τ, θ < 2π such that d = cos θ, c = sin θ, a = cos τ and
b = sin τ. From ac + bd = 0, sin(τ + θ) = cos τ sin θ + sin τ cos θ = 0. So
τ + θ = kπ for some k ∈ Z. So τ = kπ − θ.
If k is even, then cos τ = cos(kπ − θ) = cos(−θ) = cos θ and sin τ = sin(kπ −
θ) = sin(−θ) = − sin θ. Therefore we have
A =
cos τ sin τ
sin θ cos θ
=
cos θ − sin θ
sin θ cos θ
.
If k is odd, then cos τ = cos(kπ − θ) = cos(π − θ) = − cos θ and sin τ =
sin(kπ − θ) = sin(π − θ) = sin θ. So
A =
cos τ sin τ
sin θ cos θ
=
− cos θ sin θ
sin θ cos θ
.
(You may use 1 = det I = det(AAt) = (det A)(det At) = (det A)(det A),
ad − bc = det A = ±1, instead of ac + bd = 0.)
4

Homework 2 sol

  • 1.
    MATH 3005 HomeworkSolution Han-Bom Moon Homework 2 Solution Chapter 2 - Groups. due: Sep. 19. 1. In each case, find the inverse of the element. (a) 12 ∈ (Z20, +). 12 + 8 = 0 mod 20 ⇒ −12 = 8 (b) 12 ∈ (U(13), ×). 12 · 12 = (−1) · (−1) = 1 mod 13 ⇒ 12−1 = 12 (c) More generally, n − 1 ∈ (U(n), ×) for n > 2. (n − 1)2 = n2 − 2n + 1 = 1 mod n ⇒ (n − 1)−1 = n − 1 2. Let G be a group and let a, b, c ∈ G. (a) Write the following expressions without using parentheses. (ab)3 , (a2 ba−1 )3 , a3 (b2 c−1 a2 )−2 (ab)3 = (ab)(ab)(ab) = ababab (a2 ba−1 )3 = (a2 ba−1 )(a2 ba−1 )(a2 ba−1 ) = a2 b(a−1 a2 )b(a−1 a2 )ba−1 = a2 bababa−1 (b2 c−1 a2 )−1 = (a2 )−1 (c−1 )−1 (b2 )−1 = a−2 cb−2 ⇒ a3 (b2 c−1 a2 )−2 = a3 ((b2 c−1 a2 )−1 )2 = a3 (a−2 cb−2 )(a−2 cb−2 ) = acb−2 a−2 cb−2 (b) Now assume that G is Abelian. Simplify elements in (a) further. (ab)3 = ababab = aaabbb = a3 b3 (a2 ba−1 )3 = a2 bababa−1 = a2 aaa−1 bbb = a3 b3 a3 (b2 c−1 a2 )−2 = acb−2 a−2 cb−2 = aa−2 ccb−2 b−2 = a−1 c2 b−4 3. Let G be a group and let H := {x−1 | x ∈ G}. Show that G = H as sets. Here is a standard technique to show the equality between sets. To show the fact that H = G as a set, we need to show that H ⊂ G and G ⊂ H. Also to show that H ⊂ G, we have to prove that for any element a ∈ H, a ∈ G. Step 1. H ⊂ G If a ∈ H, then a = x−1 for some x ∈ G. Because G is a group, x−1 ∈ G. Thus a ∈ G and H ⊂ G. Step 2. G ⊂ H Let a ∈ G. Then a = (a−1)−1, because a · a−1 = e = a−1a so a satisfies the axiom for the inverse of a−1. Therefore a is the inverse of some element of G. Thus a ∈ H and G ⊂ H. 1
  • 2.
    MATH 3005 HomeworkSolution Han-Bom Moon 4. Show that a group G is Abelian if and only if (ab)−1 = a−1b−1 for every a, b ∈ G. Step 1. G is Abelian ⇒ (ab)−1 = a−1b−1 for all a, b ∈ G. Note that (ab)−1 = b−1a−1 in general. Because G is Abelian, b−1a−1 = a−1b−1. Step 2. (ab)−1 = a−1b−1 for all a, b ∈ G ⇒ G is Abelian. Take a, b ∈ G. Note that a−1b−1 = (ba)−1. Therefore (ab)−1 = (ba)−1. Thus ab = ((ab)−1)−1 = ((ba)−1)−1 = ba and G is Abelian. 5. Let G be a finite group. Show that {x ∈ G | x3 = e} has odd number of elements. A simple technique to show that the number of elements of a set S is even is to show that we can pair all elements of S. (More formally, we can think a pairing on a set S as a bijective map p : S → S such that p(x) = x and p(p(x)) = x. Then we can make pairs {x, p(x)} for all elements x ∈ S.) Of course, to show that the number of elements of S is odd, take one element x out from S and show that we can pair all elements of S − {x}. Let S = {x ∈ G | x3 = e}. We want to show that the number of elements of S is odd. Note that e ∈ S. Let S = S −{e}. We will show that the number of elements in S is even. Take x ∈ S and consider x−1. First of all, because (x−1)3 = (x3)−1 = e−1 = e, x−1 ∈ S. Because x = e, x−1 = e and x−1 ∈ S . We claim that collecting {x, x−1} for all x ∈ S forms pairs for all x ∈ S . This is indeed a pair (i.e., x = x−1), because if x = x−1, then x2 = xx−1 = e and x = xe = xx2 = x3 = e. Obviously each element in S is in one of such pairs. Next, suppose that {x, x−1} ∩ {y, y−1} = ∅. If x = y, then {x, x−1} = {y, y−1}. If x = y−1, then because x−1 = (y−1)−1 = y, {x, x−1} = {y, y−1} again. In any cases, such two pairs {x, x−1} and {y, y−1} are disjoint or equal. Therefore we can divide the set S into pairs. Therefore the number of elements of S is even and that of S is odd. 6. (a) Construct Cayley tables of (U(12), ×) and D3. U(12) 1 5 7 11 1 1 5 7 11 5 5 1 11 7 7 7 11 1 5 11 11 7 5 1 For D3, let R120, R240, R0 be three rotations. Let v1, v2, v3 be three vertices (written in counterclockwise order) and let F1 (resp. F2, F3 be three reflec- tions along a line connecting v1 (resp. v2, v3) and the center of the regular triangle. 2
  • 3.
    MATH 3005 HomeworkSolution Han-Bom Moon D3 R0 R120 R240 F1 F2 F3 R0 R0 R120 R240 F1 F2 F3 R120 R120 R240 R0 F3 F1 F2 R240 R240 R0 R120 F2 F3 F1 F1 F1 F2 F3 R0 R120 R240 F2 F2 F3 F1 R240 R0 R120 F3 F3 F1 F2 R120 R240 R0 (b) A Lartin square of order n is an n × n array of n symbols, such that every row and every column has all of n symbols (or equivalently, every symbol appears precisely once in a row or a column). A famous puzzle Sudoku is an example of a Lartin square of order 9. Explain why the Cayley table of a finite group G is always a Lartin square. If there is a repeated element x in a row of the Cayley table, then there are a, b, c ∈ G such that b = c and ab = x = ac. But by the cancellation law, this implies that b = c. Therefore there is no repeated element in a row. Similarly, there is no repeated element in a column. Also, we can show that every element a ∈ G appears in each row of the Cayley table. Indeed, for every b ∈ G, b−1a is the solution of the equation bx = a. This implies that the entry corresponding to (b, b−1a) is a. So a appears in the row corresponding to b. (Indeed, the second part is automatic by pigeonhole principle.) The same argument is applicable to columns. 7. (a) Let SL(n, R) := {A ∈ GL(n, R) | det A = 1}. Show that (SL(n, R), ×) is a group. This group is called the special linear group. If A, B ∈ SL(n, R), then det(AB) = det(A) det(B) = 1, so AB ∈ SL(n, R). Therefore the matrix multiplication is a binary operation on SL(n, R). The associativity is straightforward because SL(n, R) ⊂ GL(n, R). The identity matrix I ∈ GL(n, R) has determinant 1. Therefore I ∈ SL(n, R) and it is the identity of SL(n, R). Finally, for A ∈ SL(n, R) ⊂ GL(n, R), there is A−1 ∈ GL(n, R) such that AA−1 = I = A−1A. Furthermore, det(A) det(A−1) = det(AA−1) = det(I) = 1 implies that det(A−1) = 1/ det(A) = 1. Therefore A−1 ∈ SL(n, R). Therefore SL(n, R) is a group. (b) Show that GL(2, Z) := A = a b c d a, b, c, d ∈ Z, det A = 0 is not a group under the matrix multiplication. (However, SL(2, Z) is a group.) 3
  • 4.
    MATH 3005 HomeworkSolution Han-Bom Moon For A := 2 0 0 1 ∈ GL(2, Z) ⊂ GL(2, R), A−1 = 1/2 0 0 1 is the only one matrix in GL(2, R) satisfying AA−1 = A−1A = I. But A−1 /∈ GL(2, Z). Therefore GL(2, Z) is not a group. 8. Define O(2) := {A ∈ GL(2, R) | AAt = I}. (a) Show that (O(2), ×) is a group. This group is called the orthogonal group. For A, B ∈ O(2), (AB)(AB)t = ABBtAt = AAt = I. Thus AB ∈ O(2) and the matrix multiplication defines a binary operation on O(2). Since O(2) ⊂ GL(2, R), the associativity is obvious. IIt = I implies that I ∈ O(2). Finally, for A ∈ O(2), AAt = I means that At = A−1 and AtA = I. So (A−1)(A−1)t = AtA = I and A−1 ∈ O(2). Therefore O(2) is a group. (b) Show that every element of O(2) is of the form cos θ − sin θ sin θ cos θ or − cos θ sin θ sin θ cos θ for some angle θ. (Therefore this group has a close connection with plane rotations.) Take A = a b c d ∈ O(2). AAt = a b c d a c b d = a2 + b2 ac + bd ac + bd c2 + d2 = 1 0 0 1 = I So we have a2 + b2 = 1, c2 + d2 = 1 and ac + bd = 0. Since (a, b), (d, c) ∈ R2 are on the unit circle centered at the origin, there are two angles 0 ≤ τ, θ < 2π such that d = cos θ, c = sin θ, a = cos τ and b = sin τ. From ac + bd = 0, sin(τ + θ) = cos τ sin θ + sin τ cos θ = 0. So τ + θ = kπ for some k ∈ Z. So τ = kπ − θ. If k is even, then cos τ = cos(kπ − θ) = cos(−θ) = cos θ and sin τ = sin(kπ − θ) = sin(−θ) = − sin θ. Therefore we have A = cos τ sin τ sin θ cos θ = cos θ − sin θ sin θ cos θ . If k is odd, then cos τ = cos(kπ − θ) = cos(π − θ) = − cos θ and sin τ = sin(kπ − θ) = sin(π − θ) = sin θ. So A = cos τ sin τ sin θ cos θ = − cos θ sin θ sin θ cos θ . (You may use 1 = det I = det(AAt) = (det A)(det At) = (det A)(det A), ad − bc = det A = ±1, instead of ac + bd = 0.) 4