Dynamics of Machinery
ME6505
Prepared by
Dr.K.Periasamy
Professor,
Mechanical Department
Kongunadu College of Engg. and Technology.
UNIT I : FORCE ANALYSIS
Rigid Body dynamics in general plane motion – Equations of motion - Dynamic
force analysis - Inertia force and Inertia torque – D’Alemberts principle - The
principle of superposition - Dynamic Analysis in Reciprocating Engines – Gas
Forces - Equivalent masses - Bearing loads - Crank shaft Torque - Turning
moment diagrams - Fly wheels –Engine shaking Forces - Cam dynamics -
Unbalance, Spring, Surge and Windup.
Static force analysis.
If components of a machine accelerate, inertia is produced due to their
masses. However, the magnitudes of these forces are small compares to the
externally applied loads. Hence inertia effect due to masses are neglected. Such
an analysis is known as static force analysis
• What is inertia?
• The property of matter offering resistance to any change of its state of rest or of
uniform motion in a straight line is known as inertia.
conditions for a body to be in static and dynamic equilibrium?
• Necessary and sufficient conditions for static and dynamic equilibrium are
Vector sum of all forces acting on a body is zero The vector sum of the moments
of all forces acting about any arbitrary point or axis is zero.
Static force analysis and dynamic force analysis.
• If components of a machine accelerate, inertia forces are produced due to
their masses. If the magnitude of these forces are small compared to the
externally applied loads, they can be neglected while analysing the mechanism.
Such an analysis is known as static force analysis.
• If the inertia effect due to the mass of the component is also considered, it is
called dynamic force analysis.
D’Alembert’s principle.
• D’Alembert’s principle states that the inertia forces and torques, and the external
forces and torques acting on a body together result in statical equilibrium.
• In other words, the vector sum of all external forces and inertia forces acting
upon a system of rigid bodies is zero. The vector sum of all external moments
and inertia torques acting upon a system of rigid bodies is also separately zero.
• The principle of super position states that for linear systems the individual
responses to several disturbances or driving functions can be superposed on
each other to obtain the total response of the system.
• The velocity and acceleration of various parts of reciprocating mechanism can be
determined , both analytically and graphically.
Dynamic Analysis in Reciprocating Engines-Gas Forces
• Piston efforts (Fp): Net force applied on the piston , along the line of stroke In
horizontal reciprocating engines.It is also known as effective driving force (or) net
load on the gudgeon pin.
crank-pin effort.
• The component of FQ perpendicular to the crank is known as crank-pin effort.
crank effort or turning movement on the crank shaft?
• It is the product of the crank-pin effort (FT)and crank pin radius(r).
Forces acting on the connecting rod
• Inertia force of the reciprocating parts (F1) acting along the line of stroke.
• The side thrust between the cross head and the guide bars acting at right angles
to line of stroke.
• Weight of the connecting rod.
• Inertia force of the connecting rod (FC)
• The radial force (FR) parallel to crank and
• The tangential force (FT) acting perpendicular to crank
• Determination of Equivalent Dynamical System of Two Masses by Graphical
Method
• Consider a body of mass m, acting at G as
• shown in fig 15.15. This mass m, may be replaced
• by two masses m1 and m2 so that the system becomes dynamical equivalent.
The position of mass m1 may be fixed arbitrarily at A. Now draw perpendicular
CG at G, equal in length of the radius of gyration of the body, kG .Then join AC
and draw CB perpendicular to AC intersecting AG produced in
• B. The point B now fixes the position of the second
• mass m2. The triangles ACG and BCG are similar. Therefore,
Turning movement diagram or crank effort diagram?
• It is the graphical representation of the turning movement or crank effort for
various position of the crank.
• In turning moment diagram, the turning movement is taken as the ordinate (Y-
axis) and crank angle as abscissa (X axis).
UNIT II : BALANCING
Static and dynamic balancing - Balancing of rotating
masses –Balancing reciprocating masses-
Balancing a single cylinder Engine - Balancing
Multi-cylinder Engines, Balancing V-engines, -
Partial balancing in locomotive Engines-Balancing
machines.
STATIC AND DYNAMIC BALANCING
When man invented the wheel, he very quickly learnt that if
it wasn’t completely round and if it didn’t rotate evenly
about it’s central axis, then he had a problem!
What the problem he had?
The wheel would vibrate causing damage to itself and it’s
support mechanism and in severe cases, is unusable.
A method had to be found to minimize the problem. The
mass had to be evenly distributed about the rotating
centerline so that the resultant vibration was at a minimum.
UNBALANCE:
The condition which exists in a rotor when vibratory force
or motion is imparted to its bearings as a result of
centrifugal forces is called unbalance or the uneven
distribution of mass about a rotor’s rotating centreline.
BALANCING:
Balancing is the technique of correcting or eliminating unwanted inertia forces
or moments in rotating or reciprocating masses and is achieved by changing
the location of the mass centres.
The objectives of balancing an engine are to ensure:
1. That the centre of gravity of the system remains stationery during a
complete revolution of the crank shaft and
2. That the couples involved in acceleration of the different moving parts
balance each other.
Types of balancing:
a) Static Balancing:
i) Static balancing is a balance of forces due to action of gravity.
ii) A body is said to be in static balance when its centre of gravity
is in the axis of rotation.
b) Dynamic balancing:
i) Dynamic balance is a balance due to the action of inertia forces.
ii) A body is said to be in dynamic balance when the resultant
moments or couples, which involved in the acceleration of
different moving parts is equal to zero.
iii) The conditions of dynamic balance are met, the conditions of
static balance are also met.
BALANCING OF ROTATING MASSES
When a mass moves along a circular path, it
experiences a centripetal acceleration and a force is
required to produce it. An equal and opposite force
called centrifugal force acts radially outwards and is
a disturbing force on the axis of rotation. The
magnitude of this remains constant but the direction
changes with the rotation of the mass.
In a revolving rotor, the centrifugal force remains balanced as long as
the centre of the mass of rotor lies on the axis of rotation of the shaft.
When this does not happen, there is an eccentricity and an unbalance
force is produced. This type of unbalance is common in steam turbine
rotors, engine crankshafts, rotors of compressors, centrifugal pumps
etc.
The unbalance forces exerted on machine members are time varying, impart
vibratory motion and noise, there are human discomfort, performance of the
machine deteriorate and detrimental effect on the structural integrity of the
machine foundation.
Balancing involves redistributing the mass which may be carried out by
addition or removal of mass from various machine members. Balancing of
rotating masses can be of
1. Balancing of a single rotating mass by a single mass rotating in the same
plane.
2. Balancing of a single rotating mass by two masses rotating in different
planes.
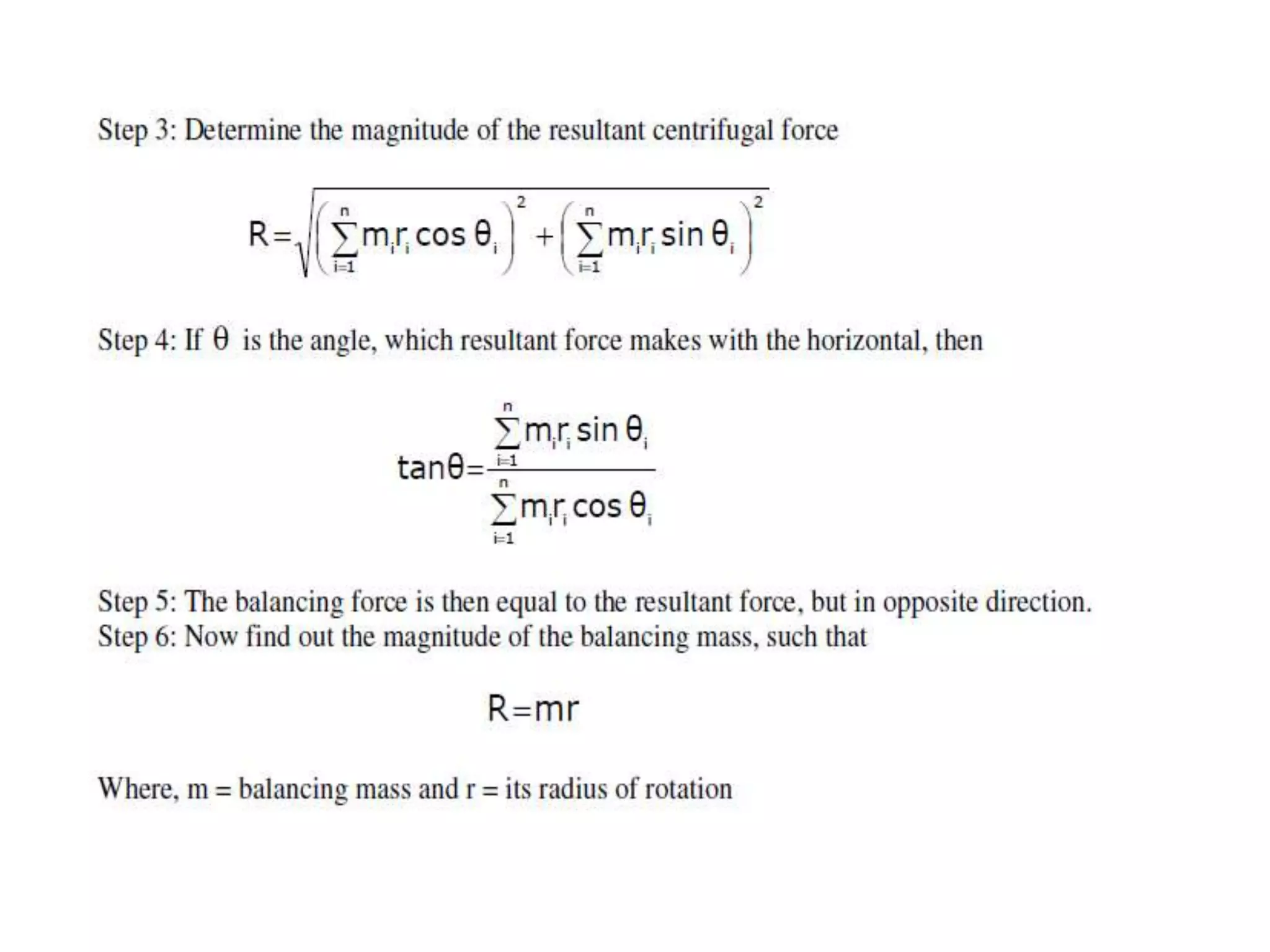
3. Balancing of several masses rotating in the same plane
4. Balancing of several masses rotating in different planes
BALANCING OF A SINGLE ROTATING MASS BY A SINGLE
MASS ROTATING IN THE SAME PLANE
Consider a disturbing mass m1 which is attached to a shaft rotating at rad/s.
r = radius of rotation of the mass m
The centrifugal force exerted by mass m1 on the shaft is given by,
F = m r c 1 1
This force acts radially outwards and produces bending moment on the shaft. In
order to counteract the effect of this force Fc1 , a balancing mass m2 may be
attached in the same plane of rotation of the disturbing mass m1 such that the
centrifugal forces due to the two masses are equal and opposite.
BALANCING OF A SINGLE ROTATING MASS BY TWO MASSES ROTATING
There are two possibilities while attaching two balancing masses:
1. The plane of the disturbing mass may be in between the planes of the two
balancing masses.
2. The plane of the disturbing mass may be on the left or right side of two
planes containing the balancing masses.
In order to balance a single rotating mass by two masses rotating in different
planes which are parallel to the plane of rotation of the disturbing mass i) the net
dynamic force acting on the shaft must be equal to zero, i.e. the centre of the
masses of the system must lie on the axis of rotation and this is the condition for
static balancing ii) the net couple due to the dynamic forces acting on the shaft
must be equal to zero, i.e. the algebraic sum of the moments about any point in
the plane must be zero. The conditions i) and ii) together give dynamic balancing.
Balancing Multi-cylinder Engines, Balancing V-engines
UNIT III : FREE VIBRATION
Basic features of vibratory systems - idealized
models - Basic elements and lumping of
parameters - Degrees of freedom - Single degree
of freedom - Free vibration - Equations of motion -
natural frequency - Types of Damping - Damped
vibration critical speeds of simple shaft - Torsional
systems; Natural frequency of two and three rotor
systems
Introduction
19 - 23
• Mechanical vibration is the motion of a particle or body which
oscillates about a position of equilibrium. Most vibrations in
machines and structures are undesirable due to increased stresses
and energy losses.
• Time interval required for a system to complete a full cycle of the
motion is the period of the vibration.
• Number of cycles per unit time defines the frequency of the vibrations.
• Maximum displacement of the system from the equilibrium position is the
amplitude of the vibration.
• When the motion is maintained by the restoring forces only, the vibration
is described as free vibration. When a periodic force is applied to the
system, the motion is described as forced vibration.
• When the frictional dissipation of energy is neglected, the motion
is said to be undamped. Actually, all vibrations are damped to
some degree.
Free Vibrations of Particles. Simple Harmonic Motion
19 - 24
• If a particle is displaced through a distance xm from its
equilibrium position and released with no velocity, the
particle will undergo simple harmonic motion,
 
0








kx
x
m
kx
x
k
W
F
ma st



• General solution is the sum of two particular solutions,
   
t
C
t
C
t
m
k
C
t
m
k
C
x
n
n 
 cos
sin
cos
sin
2
1
2
1




















• x is a periodic function and n is the natural circular
frequency of the motion.
• C1 and C2 are determined by the initial conditions:
   
t
C
t
C
x n
n 
 cos
sin 2
1 
 0
2 x
C 
n
v
C 
0
1 
   
t
C
t
C
x
v n
n
n
n 


 sin
cos 2
1 

 
Free Vibrations of Particles. Simple Harmonic Motion
19 - 25
 

 
 t
x
x n
m sin


n
n



2 period





 2
1 n
n
n
f natural frequency
  

 2
0
2
0 x
v
x n
m  amplitude
 
 
n
x
v 
 0
0
1
tan phase angle
• Displacement is equivalent to the x component of the sum of two vectors
which rotate with constant angular velocity
2
1 C
C



.
n

0
2
0
1
x
C
v
C
n



Free Vibrations of Particles. Simple Harmonic Motion
19 - 26
 

 
 t
x
x n
m sin
• Velocity-time and acceleration-time curves can be
represented by sine curves of the same period as the
displacement-time curve but different phase angles.
 
 
2
sin
cos













t
x
t
x
x
v
n
n
m
n
n
m

 
 














t
x
t
x
x
a
n
n
m
n
n
m
sin
sin
2
2


Types of Vibratory motion:
Transverse vibration
Sample Problem
19 - 30
m
kN
6
m
kN
4 2
1 
 k
k
• Springs in parallel:
- determine the spring constant for equivalent
spring
m
N
10
m
kN
10 4
2
1
2
1







k
k
P
k
k
k
P



- apply the approximate relations for the
harmonic motion of a spring-mass system
n
n
n
m
k




2
s
rad
14
.
14
kg
20
N/m
104




s
444
.
0

n

  
s
rad
4.14
1
m
040
.
0

 n
m
m x
v 
s
m
566
.
0

m
v
2
s
m
00
.
8

m
a
  2
2
s
rad
4.14
1
m
040
.
0

 n
m
m a
x
a
Free Vibrations of Rigid Bodies
19 - 31
• If an equation of motion takes the form
0
or
0 2
2



 


 n
n x
x 



the corresponding motion may be considered
as simple harmonic motion.
• Analysis objective is to determine n.
   
  mg
W
mb
b
b
m
I 


 ,
2
2
but 2
3
2
2
2
12
1
0
5
3
sin
5
3



 



b
g
b
g 



g
b
b
g
n
n
n
3
5
2
2
,
5
3
then 



 


• For an equivalent simple pendulum,
3
5b
l 
• Consider the oscillations of a square plate
    

 


 I
mb
b
W 

 sin
Forced Vibrations
19 - 32
:
ma
F 

  x
m
x
k
W
t
P st
f
m 




 

sin
t
P
kx
x
m f
m 
sin




  x
m
t
x
k
W f
m
st 




 

 sin
t
k
kx
x
m f
m 
 sin




Forced vibrations - Occur
when a system is subjected
to a periodic force or a
periodic displacement of a
support.

f
 forced frequency
Forced Vibrations
19 - 33
  t
x
t
C
t
C
x
x
x
f
m
n
n
particular
ary
complement


 sin
cos
sin 2
1 




   2
2
2
1
1 n
f
m
n
f
m
f
m
m
k
P
m
k
P
x





 





t
k
kx
x
m f
m 
 sin




t
P
kx
x
m f
m 
sin




At f = n, forcing input is in
resonance with the system.
t
P
t
kx
t
x
m f
m
f
m
f
m
f 


 sin
sin
sin
2



Substituting particular solution into governing equation,
Sample Problem
19 - 34
A motor weighing 350 lb is supported by
four springs, each having a constant 750
lb/in. The unbalance of the motor is
equivalent to a weight of 1 oz located 6
in. from the axis of rotation.
Determine a) speed in rpm at which
resonance will occur, and b) amplitude of
the vibration at 1200 rpm.
• The resonant frequency is equal to the
natural frequency of the system.
• Evaluate the magnitude of the periodic
force due to the motor unbalance.
Determine the vibration amplitude from
the frequency ratio at 1200 rpm.
Sample Problem
19 - 35
• The resonant frequency is equal to the natural
frequency of the system.
ft
s
lb
87
.
10
2
.
32
350 2



m
 
ft
lb
000
,
36
in
lb
3000
750
4



k
W = 350 lb
k = 4(350
lb/in)
rpm
549
rad/s
5
.
57
87
.
10
000
,
36




m
k
n

Resonance speed = 549
rpm
Sample Problem
19 - 36
W = 350 lb
k = 4(350
lb/in) rad/s
5
.
57

n

• Evaluate the magnitude of the periodic force due to
the motor unbalance. Determine the vibration
amplitude from the frequency ratio at 1200 rpm.
  ft
s
lb
001941
.
0
s
ft
2
.
32
1
oz
16
lb
1
oz
1
rad/s
125.7
rpm
1200
2
2




















m
f 

    lb
33
.
15
7
.
125
001941
.
0 2
12
6
2



 
mr
ma
P n
m
   
in
001352
.
0
5
.
57
7
.
125
1
3000
33
.
15
1 2
2






n
f
m
m
k
P
x


xm = 0.001352 in. (out of
phase)
Damped Free Vibrations
19 - 37
• With viscous damping due to fluid friction,
:
ma
F 
  
0







kx
x
c
x
m
x
m
x
c
x
k
W st







• Substituting x = elt and dividing through by elt
yields the characteristic equation,
m
k
m
c
m
c
k
c
m 












2
2
2
2
0 l
l
l
• Define the critical damping coefficient such that
n
c
c m
m
k
m
c
m
k
m
c

2
2
0
2
2










• All vibrations are damped to some degree by
forces due to dry friction, fluid friction, or internal
friction.
Damped Free Vibrations
19 - 38
• Characteristic equation,
m
k
m
c
m
c
k
c
m 












2
2
2
2
0 l
l
l

 n
c m
c 
2 critical damping coefficient
• Heavy damping: c > cc
t
t
e
C
e
C
x 2
1
2
1
l
l

 - negative roots
- nonvibratory motion
• Critical damping: c = cc
  t
n
e
t
C
C
x 


 2
1 - double roots
- nonvibratory motion
• Light damping: c < cc
   
t
C
t
C
e
x d
d
t
m
c

 cos
sin 2
1
2

 











2
1
c
n
d
c
c

 damped frequency
Damped Forced Vibrations
19 - 39
 
    
 
  
 








2
2
2
2
1
2
tan
2
1
1
n
f
n
f
c
n
f
c
n
f
m
m
m
c
c
c
c
x
k
P
x










magnification
factor
phase difference between forcing and steady
state response
t
P
kx
x
c
x
m f
m 
sin


 

 particular
ary
complement x
x
x 

)
38
.
2
(
32
4
0
d
I


)
39
.
2
(
32
4
0
l
Gd
l
GI
M
k t
t





Polar Moment of Inertia:
Torsional Spring Constant:
1) If the cross section of the shaft supporting the disc is not circular, an
appropriate torsional spring constant is to be used.
2) The polar mass moment of inertia of a disc is given by:
3) An important application: in a mechanical clock
g
WD
D
h
J
8
32
4
4
0 



where ρ is the mass density
h is the thickness
D is the diameter
W is the weight of the disc
43
where ωn is given by Eq. (2.41) and A1 and A2 can be
determined from the initial conditions. If
• General solution of Eq. (2.40) can be obtained:
)
44
.
2
(
sin
cos
)
( 2
1 t
A
t
A
t n
n 

 

)
45
.
2
(
)
0
(
)
0
(
and
)
0
( 0
0 



 
 




 t
dt
d
t
t
The constants A1 and A2 can be found:
)
46
.
2
(
/
0
2
0
1
n
A
A






Eq. (2.44) can also represent a simple harmonic motion.
UNIT IV : FORCED VIBRATION
Response to periodic forcing - Harmonic Forcing -
Forcing caused by unbalance - Support motion –
Force transmissibility and amplitude transmissibility
- Vibration isolation.
Damping
 a process whereby energy is taken from the vibrating system and
is being absorbed by the surroundings.
 Examples of damping forces:
 internal forces of a spring,
 viscous force in a fluid,
 electromagnetic damping in galvanometers,
 shock absorber in a car.
Damped Vibration (1)
 The oscillating system is opposed by dissipative forces.
 The system does positive work on the surroundings.
 Examples:
 a mass oscillates under water
 oscillation of a metal plate in the magnetic field
Damped Vibration (2)
 Total energy of the oscillator decreases with time
 The rate of loss of energy depends on the instantaneous velocity
 Resistive force  instantaneous velocity
 i.e. F = -bv where b = damping coefficient
 Frequency of damped vibration < Frequency of undamped vibration
Types of Damped Oscillations (1)
 Slight damping (underdamping)
Characteristics:
 - oscillations with reducing amplitudes
 - amplitude decays exponentially with time
 - period is slightly longer
 - Figure
 -
constant
a
.......
4
3
3
2
2
1




a
a
a
a
a
a
Types of Damped Oscillations (2)
 Critical damping
 No real oscillation
 Time taken for the displacement to become effective zero is a minimum
 Heavy damping (Overdamping)
 Resistive forces exceed those of critical damping
 The system returns very slowly to the equilibrium position
Magnification Factor or Dynamic Magnifier
• It is the ratio of maximum displacement of the forced vibration (xmax
) to the deflection due to the static force F(xo). We have proved in
the previous article that the maximum displacement or the
amplitude of forced vibration,
• If there is no damping (i.e. if the vibration is undamped), then c = 0.
In that case, magnification factor
• At resonance, = n. Therefore magnification factor,
Characteristics of Forced Oscillation
 Same frequency as the driver system
 Constant amplitude
 Transient oscillations at the beginning which eventually settle down to
vibrate with a constant amplitude (steady state)
Characteristics of Forced Oscillation
 In steady state, the system vibrates at the frequency of the driving force
Forced Vibration
 Adjust the position of the load on the driving pendulum so that it
oscillates exactly at a frequency of 1 Hz
 Couple the oscillator to the driving pendulum by the given elastic cord
 Set the driving pendulum going and note the response of the blade
 In steady state, measure the amplitude of forced vibration
 Measure the time taken for the blade to perform 10 free oscillations
 Adjust the position of the tuning mass to change the natural frequency
of free vibration and repeat the experiment
 Plot a graph of the amplitude of vibration at different natural
frequencies of the oscillator
 Change the magnitude of damping by rotating the card through
different angles
 Plot a series of resonance curves
Resonance (1)
 Resonance occurs when an oscillator is acted upon by a second driving
oscillator whose frequency equals the natural frequency of the system
 The amplitude of reaches a maximum
 The energy of the system becomes a maximum
 The phase of the displacement of the driver leads that of the oscillator
by 90
 Examples
 Mechanics:
 Oscillations of a child’s swing
 Destruction of the Tacoma Bridge
 Sound:
 An opera singer shatters a wine glass
 Resonance tube
 Kundt’s tubeElectricity
 Radio tuning
 Light
 Maximum absorption of infrared waves by a NaCl crystal
Resonant System
 There is only one value of the driving frequency for resonance, e.g.
spring-mass system
 There are several driving frequencies which give resonance, e.g.
resonance tube
RESONANCE: UNDESIRABLE
The body of an aircraft should not resonate with
the propeller
The springs supporting the body of a car should
not resonate with the engine
Demonstration of Resonance
 Resonance tube
 Place a vibrating tuning fork above the mouth of the measuring cylinder
 Vary the length of the air column by pouring water into the cylinder until a
loud sound is heard
 The resonant frequency of the air column is then equal to the frequency of
the tuning fork
 Sonometer
 Press the stem of a vibrating tuning fork against the bridge of a sonometer
wire
 Adjust the length of the wire until a strong vibration is set up in it
 The vibration is great enough to throw off paper riders mounted along its
length
Vibration Isolation and Transmissibility
• The ratio of the force transmitted (FT) to the force applied (F) is
known as the isolation factor or transmissibility ratio of the spring
support.
1. Spring force or elastic force which is equal to s. xmax, and
2. Damping force which is equal to c. .xmax.
UNIT V : GOVERNORS AND GYROSCOPES
Governors - Types - Centrifugal governors - Gravity
controlled and spring controlled centrifugal
governors –Characteristics - Effect of friction -
Controlling Force .
Gyroscopes - Gyroscopic forces and Torques -
Gyroscopic stabilization - Gyroscopic effects in
Automobiles, ships and airplanes
Governors
• Engine Speed control
This presentation is from Virginia Tech and has not been edited by Georgia
Curriculum Office.
• Governors serve three basic purposes:
• Maintain a speed selected by the operator which is within the range of the
governor.
• Prevent over-speed which may cause engine damage.
• Limit both high and low speeds.
• Generally governors are used to maintain a fixed speed not readily adjustable by
the operator or to maintain a speed selected by means of a throttle control lever.
• In either case, the governor protects against overspeeding
How does it work?
• If the load is removed on an operating engine, the governor
immediately closes the throttle.
• If the engine load is increased, the throttle will be opened to prevent
engine speed form being reduced.
Pneumatic Governors
• Sometimes called air-vane
governors, they are
operated by the stream of
air flow created by the
cooling fins of the
flywheel.
Centrifugal Governor
• Sometimes referred to as
a mechanical governor, it
uses pivoted flyweights
that are attached to a
revolving shaft or gear
driven by the engine.
Mechanical Governor
• With this system, governor rpm is always directly
proportional to engine rpm.
Mechanical Governor
• If the engine is subjected to a sudden load that reduces rpm, the
reduction in speed lessens centrifugal force on the flyweights.
• The weights move inward and lower the spool and governor lever,
thus opening the throttle to maintain engine speed.
Vacuum Governors
• Located between the carburetor and the intake manifold.
• It senses changes in intake manifold pressure (vacuum).
• As engine speed increases or decreases the governor closes
or opens the throttle respectively to control engine speed.
• Hunting Hunting is a condition whereby the engine speed
fluctuate or is erratic usually when first started.
• The engine speeds up and slows down over and over as the
governor tries to regulate the engine speed.
• This is usually caused by an improperly adjusted carburetor.
• Stability is the ability to maintain a desired engine speed
without fluctuating.
• Instability results in hunting or oscillating due to over
correction.
• Excessive stability results in a dead-beat governor or one that
does not correct sufficiently for load changes.
• Sensitivity is the percent of speed change required to produce
a corrective movement of the fuel control mechanism.
• High governor sensitivity will help keep the engine operating at
a constant speed.
Summary
• Governors are usually of the following types:
• Air-vane (pneumatic)
• Mechanical (centrifugal)
• Vacuum
• The governor must have stability and sensitivity in order to regulate speeds
properly. This will prevent hunting or erratic engine speed changes
depending upon load changes.
• Small engine governors are used to:
• Maintain selected engine speed.
• Prevent over-speeding.
• Limit high and low speeds.
Gyroscope
A gyroscope consists of a rotor mounted in the inner gimbal. The inner
gimbal is mounted in the outer gimbal which itself is mounted on a
fixed frame as shown in Fig. When the rotor spins about X-axis with
angular velocity ω rad/s and the inner gimbal precesses (rotates)
about Y-axis, the spatial mechanism is forced to turn about Z-axis
other than its own axis of rotation, and the gyroscopic effect is thus
setup. The resistance to this motion is called gyroscopic effect.
GYROSCOPIC COUPLE
Consider a rotary body of mass m having radius of gyration k mounted on the
shaft supported at two bearings. Let the rotor spins (rotates) about X-axis with
constant angular velocity rad/s. The X-axis is, therefore, called spin axis, Y-
axis, precession axis and Z-axis, the couple or torque axis .
GYROSCOPIC EFFECT ON SHIP
Stability of a Four Wheel Drive Moving in a Curved Path

Dynamics of Machines (ALL UNITS)

  • 1.
    Dynamics of Machinery ME6505 Preparedby Dr.K.Periasamy Professor, Mechanical Department Kongunadu College of Engg. and Technology.
  • 2.
    UNIT I :FORCE ANALYSIS Rigid Body dynamics in general plane motion – Equations of motion - Dynamic force analysis - Inertia force and Inertia torque – D’Alemberts principle - The principle of superposition - Dynamic Analysis in Reciprocating Engines – Gas Forces - Equivalent masses - Bearing loads - Crank shaft Torque - Turning moment diagrams - Fly wheels –Engine shaking Forces - Cam dynamics - Unbalance, Spring, Surge and Windup.
  • 3.
    Static force analysis. Ifcomponents of a machine accelerate, inertia is produced due to their masses. However, the magnitudes of these forces are small compares to the externally applied loads. Hence inertia effect due to masses are neglected. Such an analysis is known as static force analysis • What is inertia? • The property of matter offering resistance to any change of its state of rest or of uniform motion in a straight line is known as inertia. conditions for a body to be in static and dynamic equilibrium? • Necessary and sufficient conditions for static and dynamic equilibrium are Vector sum of all forces acting on a body is zero The vector sum of the moments of all forces acting about any arbitrary point or axis is zero. Static force analysis and dynamic force analysis. • If components of a machine accelerate, inertia forces are produced due to their masses. If the magnitude of these forces are small compared to the externally applied loads, they can be neglected while analysing the mechanism. Such an analysis is known as static force analysis. • If the inertia effect due to the mass of the component is also considered, it is called dynamic force analysis.
  • 4.
    D’Alembert’s principle. • D’Alembert’sprinciple states that the inertia forces and torques, and the external forces and torques acting on a body together result in statical equilibrium. • In other words, the vector sum of all external forces and inertia forces acting upon a system of rigid bodies is zero. The vector sum of all external moments and inertia torques acting upon a system of rigid bodies is also separately zero. • The principle of super position states that for linear systems the individual responses to several disturbances or driving functions can be superposed on each other to obtain the total response of the system. • The velocity and acceleration of various parts of reciprocating mechanism can be determined , both analytically and graphically. Dynamic Analysis in Reciprocating Engines-Gas Forces • Piston efforts (Fp): Net force applied on the piston , along the line of stroke In horizontal reciprocating engines.It is also known as effective driving force (or) net load on the gudgeon pin. crank-pin effort. • The component of FQ perpendicular to the crank is known as crank-pin effort. crank effort or turning movement on the crank shaft? • It is the product of the crank-pin effort (FT)and crank pin radius(r).
  • 5.
    Forces acting onthe connecting rod • Inertia force of the reciprocating parts (F1) acting along the line of stroke. • The side thrust between the cross head and the guide bars acting at right angles to line of stroke. • Weight of the connecting rod. • Inertia force of the connecting rod (FC) • The radial force (FR) parallel to crank and • The tangential force (FT) acting perpendicular to crank
  • 7.
    • Determination ofEquivalent Dynamical System of Two Masses by Graphical Method • Consider a body of mass m, acting at G as • shown in fig 15.15. This mass m, may be replaced • by two masses m1 and m2 so that the system becomes dynamical equivalent. The position of mass m1 may be fixed arbitrarily at A. Now draw perpendicular CG at G, equal in length of the radius of gyration of the body, kG .Then join AC and draw CB perpendicular to AC intersecting AG produced in • B. The point B now fixes the position of the second • mass m2. The triangles ACG and BCG are similar. Therefore, Turning movement diagram or crank effort diagram? • It is the graphical representation of the turning movement or crank effort for various position of the crank. • In turning moment diagram, the turning movement is taken as the ordinate (Y- axis) and crank angle as abscissa (X axis).
  • 8.
    UNIT II :BALANCING Static and dynamic balancing - Balancing of rotating masses –Balancing reciprocating masses- Balancing a single cylinder Engine - Balancing Multi-cylinder Engines, Balancing V-engines, - Partial balancing in locomotive Engines-Balancing machines.
  • 9.
    STATIC AND DYNAMICBALANCING When man invented the wheel, he very quickly learnt that if it wasn’t completely round and if it didn’t rotate evenly about it’s central axis, then he had a problem! What the problem he had? The wheel would vibrate causing damage to itself and it’s support mechanism and in severe cases, is unusable. A method had to be found to minimize the problem. The mass had to be evenly distributed about the rotating centerline so that the resultant vibration was at a minimum.
  • 10.
    UNBALANCE: The condition whichexists in a rotor when vibratory force or motion is imparted to its bearings as a result of centrifugal forces is called unbalance or the uneven distribution of mass about a rotor’s rotating centreline. BALANCING: Balancing is the technique of correcting or eliminating unwanted inertia forces or moments in rotating or reciprocating masses and is achieved by changing the location of the mass centres. The objectives of balancing an engine are to ensure: 1. That the centre of gravity of the system remains stationery during a complete revolution of the crank shaft and 2. That the couples involved in acceleration of the different moving parts balance each other.
  • 11.
    Types of balancing: a)Static Balancing: i) Static balancing is a balance of forces due to action of gravity. ii) A body is said to be in static balance when its centre of gravity is in the axis of rotation. b) Dynamic balancing: i) Dynamic balance is a balance due to the action of inertia forces. ii) A body is said to be in dynamic balance when the resultant moments or couples, which involved in the acceleration of different moving parts is equal to zero. iii) The conditions of dynamic balance are met, the conditions of static balance are also met.
  • 12.
    BALANCING OF ROTATINGMASSES When a mass moves along a circular path, it experiences a centripetal acceleration and a force is required to produce it. An equal and opposite force called centrifugal force acts radially outwards and is a disturbing force on the axis of rotation. The magnitude of this remains constant but the direction changes with the rotation of the mass.
  • 13.
    In a revolvingrotor, the centrifugal force remains balanced as long as the centre of the mass of rotor lies on the axis of rotation of the shaft. When this does not happen, there is an eccentricity and an unbalance force is produced. This type of unbalance is common in steam turbine rotors, engine crankshafts, rotors of compressors, centrifugal pumps etc.
  • 14.
    The unbalance forcesexerted on machine members are time varying, impart vibratory motion and noise, there are human discomfort, performance of the machine deteriorate and detrimental effect on the structural integrity of the machine foundation. Balancing involves redistributing the mass which may be carried out by addition or removal of mass from various machine members. Balancing of rotating masses can be of 1. Balancing of a single rotating mass by a single mass rotating in the same plane. 2. Balancing of a single rotating mass by two masses rotating in different planes. 3. Balancing of several masses rotating in the same plane 4. Balancing of several masses rotating in different planes
  • 15.
    BALANCING OF ASINGLE ROTATING MASS BY A SINGLE MASS ROTATING IN THE SAME PLANE Consider a disturbing mass m1 which is attached to a shaft rotating at rad/s.
  • 16.
    r = radiusof rotation of the mass m The centrifugal force exerted by mass m1 on the shaft is given by, F = m r c 1 1 This force acts radially outwards and produces bending moment on the shaft. In order to counteract the effect of this force Fc1 , a balancing mass m2 may be attached in the same plane of rotation of the disturbing mass m1 such that the centrifugal forces due to the two masses are equal and opposite. BALANCING OF A SINGLE ROTATING MASS BY TWO MASSES ROTATING There are two possibilities while attaching two balancing masses: 1. The plane of the disturbing mass may be in between the planes of the two balancing masses. 2. The plane of the disturbing mass may be on the left or right side of two planes containing the balancing masses. In order to balance a single rotating mass by two masses rotating in different planes which are parallel to the plane of rotation of the disturbing mass i) the net dynamic force acting on the shaft must be equal to zero, i.e. the centre of the masses of the system must lie on the axis of rotation and this is the condition for static balancing ii) the net couple due to the dynamic forces acting on the shaft must be equal to zero, i.e. the algebraic sum of the moments about any point in the plane must be zero. The conditions i) and ii) together give dynamic balancing.
  • 18.
  • 22.
    UNIT III :FREE VIBRATION Basic features of vibratory systems - idealized models - Basic elements and lumping of parameters - Degrees of freedom - Single degree of freedom - Free vibration - Equations of motion - natural frequency - Types of Damping - Damped vibration critical speeds of simple shaft - Torsional systems; Natural frequency of two and three rotor systems
  • 23.
    Introduction 19 - 23 •Mechanical vibration is the motion of a particle or body which oscillates about a position of equilibrium. Most vibrations in machines and structures are undesirable due to increased stresses and energy losses. • Time interval required for a system to complete a full cycle of the motion is the period of the vibration. • Number of cycles per unit time defines the frequency of the vibrations. • Maximum displacement of the system from the equilibrium position is the amplitude of the vibration. • When the motion is maintained by the restoring forces only, the vibration is described as free vibration. When a periodic force is applied to the system, the motion is described as forced vibration. • When the frictional dissipation of energy is neglected, the motion is said to be undamped. Actually, all vibrations are damped to some degree.
  • 24.
    Free Vibrations ofParticles. Simple Harmonic Motion 19 - 24 • If a particle is displaced through a distance xm from its equilibrium position and released with no velocity, the particle will undergo simple harmonic motion,   0         kx x m kx x k W F ma st    • General solution is the sum of two particular solutions,     t C t C t m k C t m k C x n n   cos sin cos sin 2 1 2 1                     • x is a periodic function and n is the natural circular frequency of the motion. • C1 and C2 are determined by the initial conditions:     t C t C x n n   cos sin 2 1   0 2 x C  n v C  0 1      t C t C x v n n n n     sin cos 2 1    
  • 25.
    Free Vibrations ofParticles. Simple Harmonic Motion 19 - 25       t x x n m sin   n n    2 period       2 1 n n n f natural frequency      2 0 2 0 x v x n m  amplitude     n x v   0 0 1 tan phase angle • Displacement is equivalent to the x component of the sum of two vectors which rotate with constant angular velocity 2 1 C C    . n  0 2 0 1 x C v C n   
  • 26.
    Free Vibrations ofParticles. Simple Harmonic Motion 19 - 26       t x x n m sin • Velocity-time and acceleration-time curves can be represented by sine curves of the same period as the displacement-time curve but different phase angles.     2 sin cos              t x t x x v n n m n n m                    t x t x x a n n m n n m sin sin 2 2  
  • 27.
  • 28.
  • 30.
    Sample Problem 19 -30 m kN 6 m kN 4 2 1   k k • Springs in parallel: - determine the spring constant for equivalent spring m N 10 m kN 10 4 2 1 2 1        k k P k k k P    - apply the approximate relations for the harmonic motion of a spring-mass system n n n m k     2 s rad 14 . 14 kg 20 N/m 104     s 444 . 0  n     s rad 4.14 1 m 040 . 0   n m m x v  s m 566 . 0  m v 2 s m 00 . 8  m a   2 2 s rad 4.14 1 m 040 . 0   n m m a x a
  • 31.
    Free Vibrations ofRigid Bodies 19 - 31 • If an equation of motion takes the form 0 or 0 2 2         n n x x     the corresponding motion may be considered as simple harmonic motion. • Analysis objective is to determine n.       mg W mb b b m I     , 2 2 but 2 3 2 2 2 12 1 0 5 3 sin 5 3         b g b g     g b b g n n n 3 5 2 2 , 5 3 then         • For an equivalent simple pendulum, 3 5b l  • Consider the oscillations of a square plate            I mb b W    sin
  • 32.
    Forced Vibrations 19 -32 : ma F     x m x k W t P st f m         sin t P kx x m f m  sin       x m t x k W f m st          sin t k kx x m f m   sin     Forced vibrations - Occur when a system is subjected to a periodic force or a periodic displacement of a support.  f  forced frequency
  • 33.
    Forced Vibrations 19 -33   t x t C t C x x x f m n n particular ary complement    sin cos sin 2 1         2 2 2 1 1 n f m n f m f m m k P m k P x             t k kx x m f m   sin     t P kx x m f m  sin     At f = n, forcing input is in resonance with the system. t P t kx t x m f m f m f m f     sin sin sin 2    Substituting particular solution into governing equation,
  • 34.
    Sample Problem 19 -34 A motor weighing 350 lb is supported by four springs, each having a constant 750 lb/in. The unbalance of the motor is equivalent to a weight of 1 oz located 6 in. from the axis of rotation. Determine a) speed in rpm at which resonance will occur, and b) amplitude of the vibration at 1200 rpm. • The resonant frequency is equal to the natural frequency of the system. • Evaluate the magnitude of the periodic force due to the motor unbalance. Determine the vibration amplitude from the frequency ratio at 1200 rpm.
  • 35.
    Sample Problem 19 -35 • The resonant frequency is equal to the natural frequency of the system. ft s lb 87 . 10 2 . 32 350 2    m   ft lb 000 , 36 in lb 3000 750 4    k W = 350 lb k = 4(350 lb/in) rpm 549 rad/s 5 . 57 87 . 10 000 , 36     m k n  Resonance speed = 549 rpm
  • 36.
    Sample Problem 19 -36 W = 350 lb k = 4(350 lb/in) rad/s 5 . 57  n  • Evaluate the magnitude of the periodic force due to the motor unbalance. Determine the vibration amplitude from the frequency ratio at 1200 rpm.   ft s lb 001941 . 0 s ft 2 . 32 1 oz 16 lb 1 oz 1 rad/s 125.7 rpm 1200 2 2                     m f       lb 33 . 15 7 . 125 001941 . 0 2 12 6 2      mr ma P n m     in 001352 . 0 5 . 57 7 . 125 1 3000 33 . 15 1 2 2       n f m m k P x   xm = 0.001352 in. (out of phase)
  • 37.
    Damped Free Vibrations 19- 37 • With viscous damping due to fluid friction, : ma F     0        kx x c x m x m x c x k W st        • Substituting x = elt and dividing through by elt yields the characteristic equation, m k m c m c k c m              2 2 2 2 0 l l l • Define the critical damping coefficient such that n c c m m k m c m k m c  2 2 0 2 2           • All vibrations are damped to some degree by forces due to dry friction, fluid friction, or internal friction.
  • 38.
    Damped Free Vibrations 19- 38 • Characteristic equation, m k m c m c k c m              2 2 2 2 0 l l l   n c m c  2 critical damping coefficient • Heavy damping: c > cc t t e C e C x 2 1 2 1 l l   - negative roots - nonvibratory motion • Critical damping: c = cc   t n e t C C x     2 1 - double roots - nonvibratory motion • Light damping: c < cc     t C t C e x d d t m c   cos sin 2 1 2               2 1 c n d c c   damped frequency
  • 39.
    Damped Forced Vibrations 19- 39                       2 2 2 2 1 2 tan 2 1 1 n f n f c n f c n f m m m c c c c x k P x           magnification factor phase difference between forcing and steady state response t P kx x c x m f m  sin       particular ary complement x x x  
  • 41.
  • 42.
    1) If thecross section of the shaft supporting the disc is not circular, an appropriate torsional spring constant is to be used. 2) The polar mass moment of inertia of a disc is given by: 3) An important application: in a mechanical clock g WD D h J 8 32 4 4 0     where ρ is the mass density h is the thickness D is the diameter W is the weight of the disc
  • 43.
    43 where ωn isgiven by Eq. (2.41) and A1 and A2 can be determined from the initial conditions. If • General solution of Eq. (2.40) can be obtained: ) 44 . 2 ( sin cos ) ( 2 1 t A t A t n n      ) 45 . 2 ( ) 0 ( ) 0 ( and ) 0 ( 0 0              t dt d t t The constants A1 and A2 can be found: ) 46 . 2 ( / 0 2 0 1 n A A       Eq. (2.44) can also represent a simple harmonic motion.
  • 44.
    UNIT IV :FORCED VIBRATION Response to periodic forcing - Harmonic Forcing - Forcing caused by unbalance - Support motion – Force transmissibility and amplitude transmissibility - Vibration isolation.
  • 45.
    Damping  a processwhereby energy is taken from the vibrating system and is being absorbed by the surroundings.  Examples of damping forces:  internal forces of a spring,  viscous force in a fluid,  electromagnetic damping in galvanometers,  shock absorber in a car.
  • 46.
    Damped Vibration (1) The oscillating system is opposed by dissipative forces.  The system does positive work on the surroundings.  Examples:  a mass oscillates under water  oscillation of a metal plate in the magnetic field
  • 47.
    Damped Vibration (2) Total energy of the oscillator decreases with time  The rate of loss of energy depends on the instantaneous velocity  Resistive force  instantaneous velocity  i.e. F = -bv where b = damping coefficient  Frequency of damped vibration < Frequency of undamped vibration
  • 48.
    Types of DampedOscillations (1)  Slight damping (underdamping) Characteristics:  - oscillations with reducing amplitudes  - amplitude decays exponentially with time  - period is slightly longer  - Figure  - constant a ....... 4 3 3 2 2 1     a a a a a a
  • 49.
    Types of DampedOscillations (2)  Critical damping  No real oscillation  Time taken for the displacement to become effective zero is a minimum  Heavy damping (Overdamping)  Resistive forces exceed those of critical damping  The system returns very slowly to the equilibrium position
  • 50.
    Magnification Factor orDynamic Magnifier • It is the ratio of maximum displacement of the forced vibration (xmax ) to the deflection due to the static force F(xo). We have proved in the previous article that the maximum displacement or the amplitude of forced vibration,
  • 51.
    • If thereis no damping (i.e. if the vibration is undamped), then c = 0. In that case, magnification factor • At resonance, = n. Therefore magnification factor,
  • 52.
    Characteristics of ForcedOscillation  Same frequency as the driver system  Constant amplitude  Transient oscillations at the beginning which eventually settle down to vibrate with a constant amplitude (steady state)
  • 53.
    Characteristics of ForcedOscillation  In steady state, the system vibrates at the frequency of the driving force
  • 54.
    Forced Vibration  Adjustthe position of the load on the driving pendulum so that it oscillates exactly at a frequency of 1 Hz  Couple the oscillator to the driving pendulum by the given elastic cord  Set the driving pendulum going and note the response of the blade  In steady state, measure the amplitude of forced vibration  Measure the time taken for the blade to perform 10 free oscillations  Adjust the position of the tuning mass to change the natural frequency of free vibration and repeat the experiment  Plot a graph of the amplitude of vibration at different natural frequencies of the oscillator  Change the magnitude of damping by rotating the card through different angles  Plot a series of resonance curves
  • 55.
    Resonance (1)  Resonanceoccurs when an oscillator is acted upon by a second driving oscillator whose frequency equals the natural frequency of the system  The amplitude of reaches a maximum  The energy of the system becomes a maximum  The phase of the displacement of the driver leads that of the oscillator by 90  Examples  Mechanics:  Oscillations of a child’s swing  Destruction of the Tacoma Bridge  Sound:  An opera singer shatters a wine glass  Resonance tube  Kundt’s tubeElectricity  Radio tuning  Light  Maximum absorption of infrared waves by a NaCl crystal
  • 56.
    Resonant System  Thereis only one value of the driving frequency for resonance, e.g. spring-mass system  There are several driving frequencies which give resonance, e.g. resonance tube RESONANCE: UNDESIRABLE The body of an aircraft should not resonate with the propeller The springs supporting the body of a car should not resonate with the engine
  • 57.
    Demonstration of Resonance Resonance tube  Place a vibrating tuning fork above the mouth of the measuring cylinder  Vary the length of the air column by pouring water into the cylinder until a loud sound is heard  The resonant frequency of the air column is then equal to the frequency of the tuning fork  Sonometer  Press the stem of a vibrating tuning fork against the bridge of a sonometer wire  Adjust the length of the wire until a strong vibration is set up in it  The vibration is great enough to throw off paper riders mounted along its length
  • 58.
    Vibration Isolation andTransmissibility • The ratio of the force transmitted (FT) to the force applied (F) is known as the isolation factor or transmissibility ratio of the spring support. 1. Spring force or elastic force which is equal to s. xmax, and 2. Damping force which is equal to c. .xmax.
  • 59.
    UNIT V :GOVERNORS AND GYROSCOPES Governors - Types - Centrifugal governors - Gravity controlled and spring controlled centrifugal governors –Characteristics - Effect of friction - Controlling Force . Gyroscopes - Gyroscopic forces and Torques - Gyroscopic stabilization - Gyroscopic effects in Automobiles, ships and airplanes
  • 60.
    Governors • Engine Speedcontrol This presentation is from Virginia Tech and has not been edited by Georgia Curriculum Office. • Governors serve three basic purposes: • Maintain a speed selected by the operator which is within the range of the governor. • Prevent over-speed which may cause engine damage. • Limit both high and low speeds. • Generally governors are used to maintain a fixed speed not readily adjustable by the operator or to maintain a speed selected by means of a throttle control lever. • In either case, the governor protects against overspeeding
  • 61.
    How does itwork? • If the load is removed on an operating engine, the governor immediately closes the throttle. • If the engine load is increased, the throttle will be opened to prevent engine speed form being reduced.
  • 62.
    Pneumatic Governors • Sometimescalled air-vane governors, they are operated by the stream of air flow created by the cooling fins of the flywheel.
  • 63.
    Centrifugal Governor • Sometimesreferred to as a mechanical governor, it uses pivoted flyweights that are attached to a revolving shaft or gear driven by the engine.
  • 64.
    Mechanical Governor • Withthis system, governor rpm is always directly proportional to engine rpm.
  • 65.
    Mechanical Governor • Ifthe engine is subjected to a sudden load that reduces rpm, the reduction in speed lessens centrifugal force on the flyweights. • The weights move inward and lower the spool and governor lever, thus opening the throttle to maintain engine speed.
  • 66.
    Vacuum Governors • Locatedbetween the carburetor and the intake manifold. • It senses changes in intake manifold pressure (vacuum). • As engine speed increases or decreases the governor closes or opens the throttle respectively to control engine speed.
  • 67.
    • Hunting Huntingis a condition whereby the engine speed fluctuate or is erratic usually when first started. • The engine speeds up and slows down over and over as the governor tries to regulate the engine speed. • This is usually caused by an improperly adjusted carburetor. • Stability is the ability to maintain a desired engine speed without fluctuating. • Instability results in hunting or oscillating due to over correction. • Excessive stability results in a dead-beat governor or one that does not correct sufficiently for load changes. • Sensitivity is the percent of speed change required to produce a corrective movement of the fuel control mechanism. • High governor sensitivity will help keep the engine operating at a constant speed.
  • 68.
    Summary • Governors areusually of the following types: • Air-vane (pneumatic) • Mechanical (centrifugal) • Vacuum • The governor must have stability and sensitivity in order to regulate speeds properly. This will prevent hunting or erratic engine speed changes depending upon load changes. • Small engine governors are used to: • Maintain selected engine speed. • Prevent over-speeding. • Limit high and low speeds.
  • 69.
    Gyroscope A gyroscope consistsof a rotor mounted in the inner gimbal. The inner gimbal is mounted in the outer gimbal which itself is mounted on a fixed frame as shown in Fig. When the rotor spins about X-axis with angular velocity ω rad/s and the inner gimbal precesses (rotates) about Y-axis, the spatial mechanism is forced to turn about Z-axis other than its own axis of rotation, and the gyroscopic effect is thus setup. The resistance to this motion is called gyroscopic effect.
  • 71.
    GYROSCOPIC COUPLE Consider arotary body of mass m having radius of gyration k mounted on the shaft supported at two bearings. Let the rotor spins (rotates) about X-axis with constant angular velocity rad/s. The X-axis is, therefore, called spin axis, Y- axis, precession axis and Z-axis, the couple or torque axis .
  • 75.
  • 78.
    Stability of aFour Wheel Drive Moving in a Curved Path