Proteins: structure, translation, etc.
Structure of proteins
- amino acids, peptide bond, primary-quaternary structures, disulfide bond
Protein synthesis
-protein translation, co-translational folding, stalling, etc.
Protein folding and unfolding
- Levinthal paradox, acquisition of native structure, loss of structure
2-1
glycine (G)
alanine (A)
valine (V) leucine (L)
Amino acid structures
serine (S) threonine (T)
cysteine
methionine (M)
phenylalanine (F) tyrosine (Y)
proline
isoleucine (I)
lysine (K)
tryptophan (W)
histidine (H)
aspartic
acid (D)
glutamic
acid (E)
aspargine (N) glutamine (Q)
arginine (R)
3
+
+
2
2-2
hydrophobic
MILV
FYW
C
P
small neutral
G(A*)ST
hydrophilic
EDNQ
KRH
Amino acid relationships
*A is also
fairly hydrophobic
Suggested amino acid substitutions
Amino acids connected by a line can be substituted with
95% confidence
Adapted from D. Bordo and P. Argos (1991) J. Mol. Biol. 217, 721-729.
Solvent exposed
(SEA>30 Å2 , )
Interior
(SEA<10 Å2, )
SEA, solvent
exposed area
aromatic
2-3
©Alberts et al. (1998)
 You should know the structure of a polypeptide chain (protein)!
Peptide bond formation 2-4
The peptide bond
R=side chain
O=C-N-H is planar
(double-bond character)
Phi (Φ) and Psi (ψ) angles can vary;
their rotation allows polypeptides
to adopt their various structures
(alpha-helices, beta-sheets, etc.)
Ri+1
Ri
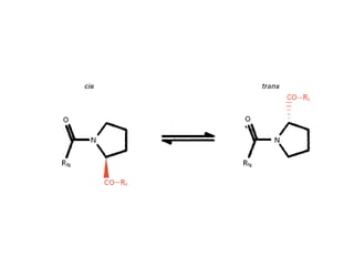
cis conformation is rare except for proline
potential for steric hindrance
2-5
Protein structure: overview
Structural element Description
primary structure amino acid sequence of protein
secondary structure helices, sheets, turns/loops
super-secondary structure association of secondary structures
domain self-contained structural unit
tertiary structure folded structure of whole protein
• includes disulfide bonds
quaternary structure assembled complex (oligomer)
• homo-oligomeric (1 protein type)
• hetero-oligomeric (>1 type)
2-6
Protein structure: helices
alpha 3.10 pi
amino acids
per turn: 3.6 3.0 4.4
frequency ~97% ~3% rare
- alpha helices are about
10 residues on average
- side chains are well
staggered, preventing
steric hindrance
- helices can form
bundles, coiled coils, etc.
H-bonding
2-7
Protein structure: sheets
- the basic unit of a
beta-sheet is called a
beta-strand
- unlike alpha-helix, sheets
can be formed from
discontinuous regions of a
polypeptide chain
- beta-sheets can form
various higher-level
structures, such as a
beta-barrel
anti-parallel
parallel
‘twisted’
Green
Fluorescent
Protein
(GFP)
2-8
Protein structure: sheets (detail)
‘twisted’
- notice the difference
in H-bonding pattern
between parallel and
anti-parallel beta-sheets
- also notice orientation
of side chains relative
to the sheets
2-9
Protein structure: turns/loops
ribonuclease A
- there are various types of
turns, differing in the
number of residues and
H-bonding pattern
- loops are typically longer;
they are often called coils
and do not have a
‘regular’,
or repeating, structure loop
(usually exposed on surface)
alpha-helix beta-sheet
2-10
Ramachandran plot
Phi (Φ)
Psi (ψ)
- Phi (Φ) and Psi (ψ) rotate,
allowing the polypeptide to assume
its various conformations
- some conformations of the
polypeptide backbone result in
steric hindrance and are disallowed
- glycine has no side chain and is
therefore conformationally highly
flexible (it is often found in turns)
no steric
clashes
permitted
if atoms are
more closely
spaced
2-11
Types of non-covalent interactions
interaction nature
bond
length
“bond”
strength example
ionic
(salt bridge)
electrostatic 1.8-4.0 Å
(3.0-10 Å
for like
charges)
1-6
kcal/mol
positive: K, R, H,
N-terminus
negative: D, E,
C-terminus
hydrophobic entropy - 2-3 hydrophobic side chains
(M,I,L,V,F,W,Y,A,C,P)
H-bond H-bonding 2.6-3.5 2-10 H donor, O acceptor
van der
Waals
attraction/
repulsion
2.8-4.0 <1 closely-spaced atoms;
if too close, repulsion
aromatic-
aromatic
p-p 4.5-7.0 1-2 F,W,Y (stacked)
aromatic-
amino group
H-bonding 2.9-3.6 2.7-4.9 N-H donor to F,W,Y
these all contribute to some extent to protein structure & stability;
- important to understand extremophilic (or any other) proteins
2-12
Protein-solvent interactions
hydrophilic amino acids (D, E, K, R, H, N, Q)
- these amino acids tend to interact extensively with solvent in
context of the folded protein; the interaction is mostly ionic and H-
bonding
- there are instances of hydrophilic residues being buried in the
interior of the protein; often, pairs of these residues form salt
bridges
hydrophobic amino acids (M, I, L, V, F, W, Y, A*, C, P)
- these tend to form the ‘core’ of the protein, i.e., are buried
within the folded protein; some hydrophobic residues can be
entirely (or partially) exposed
small neutral amino acids (G, A*, S, T)
- less preference for being solvent-exposed or not
2-13
The disulfide bond
protein protein
+
protein protein
• disulfide bond formation is a covalent modification; the
oxidation reaction can either be intramolecular (within the same
protein) or inter-molecular (within different proteins, e.g.,
antibody light and heavy chains). The reaction is reversible.
- most disulfide-bonded proteins are extracellular
(e.g. lysozyme contains four disulfide bonds);
the conditions inside the cytosol are reducing,
meaning that the cysteines are usually in reduced form
- cellular enzymes (protein disulfide isomerases) assist
many proteins in forming proper disulfide bond(s)
oxidation
reduction
+ 2 H+
+ 2 e-
2-14
Protein folding
“arguably the single most important process in biology”
in the test tube versus in the cell
~40 years ~20 years
2-15
Folding of RNAse A in the test tube
denaturation renaturation
Incubate protein
in guanidine
hydrochloride
(GuHCl)
or urea
100-fold
dilution of protein
into physiological
buffer
Anfinsen, CB (1973) Principles that govern the folding of protein chains.
Science 181, 223-230.
- the amino acid sequence of a polypeptide is sufficient to
specify its three-dimensional conformation
Thus: “protein folding is a spontaneous process that does not
require the assistance of extraneous factors”
(aggregation)
2-16
Levinthal paradox
folding
denatured
protein:
random coil
106 possible
conformations
Native protein
1 stable
conformation
in vitro in vivo
folding
t = seconds
t = seconds or much less
2-17
• folding can be thought
to occur along
“energy surfaces or
landscapes”
• limited number of
secondary structure
elements: helices,
sheets and turns
Protein folding theory
Dobson, CM (2001)
Phil Trans R Soc Lond
356, 133-145
2-18
Folding of lysozyme
• hen lysozyme has 129 residues,
consists of 2 domains (α and β)
hydrophobic collapse
- upon dilution of unfolded
protein in buffer, the protein
will ‘collapse’ onto itself,
trying to bury as many
hydrophobic surfaces as
possible
- in doing so, the protein
may fold properly, or:
- misfold and aggregate
- go through a ‘trapped
intermediate’ stage
2-19
Protein synthesis: the ribosome
Yusupov et al. (2001) Science 292, 883.
- whole 70S ribosome from Thermus
thermophilus at 5.5Å
- small (30S) subunit: 16S RNA, ~20
proteins
- large (50S) subunit: 23S RNA, 5S RNA,
>30 proteins
- high concentration in the cell (~ 50 μM)
2-20
Protein synthesis cycle
interface view of 50S subunit
E-, P-, A-site
tRNAs and mRNA
1. acylation of tRNAs with respective amino acids
2. binding of tRNA charged with methionine to P-site
on the AUG start codon (present on the mRNA)
3. next tRNA charged with appropriate amino acid
binds A-site
4. transpeptidation (peptide bond formation) between
P-site (N-terminal) amino acid and A-site amino acid
leads to the growth of the polypeptide chain. The
catalysis is by the peptidyltransferase, which consists
only of RNA. The ribosome is thus a ribozyme.
5. the E-site represents the ‘exit’ site for the
uncharged tRNA
6. release from tRNA and disassembly then occurs
2-21
Elongation of the polypeptide chain
adapted from Selmer et al. (1999) Science 286: 2349-2352
- PT = peptidyltransferase site
- rRNAs are in grey
- proteins are in green
- polypeptide chain model is
shown to traverse the
ribosome channel from the PT
site to the polypeptide exit site
- the channel/tunnel and exit site are quite narrow, meaning that
there is likely to be little if any co-translational protein folding
in the channel
- possibility of an alpha-helix forming? (“yes”)
2-22
Co-translational protein folding
folding
assembly
Fact:
- first ~30 amino acids of the polypeptide chain
present within the ribosome is constrained
(the N-terminus emerges first)
Assumption:
as soon as the nascent chain is extruded, it will start
to fold co-translationally (i.e., acquire secondary
structures, super-secondary structures, domains)
until the complete polypeptide is produced and
extruded
2-23
Observing co-translational folding
N-terminal
domain
(~22 kDa)
C-terminal
domain
(~40 kDa)
Experiment:
1. translate firefly luciferase RNA in vitro in the
presence of 35S-methionine for 2 min
2. Prevent re-initiation of translation with
aurintricarboxylic acid (ATCA): ‘synchronizing’
3. at set timepoints, quench translation, incubate with
proteinase K (digests unstructured/non-compact
regions in proteins, but not folded domains/proteins)
4. add denaturing (SDS) buffer, then perform SDS-
PAGE (polyacrylamide gel electrophoresis)
5. dry gel, observe by autoradiography
Firefly
Luciferase
(62 kDa)
3
Result:
4 5 6 7 8 10 12
no
ProK
with
ProK
min
60 kDa
40 kDa
20 kDa
60 kDa
40 kDa
20 kDa
2
3 4 5 6 7 8 10 12 min
2
2-24
Antibiotics & protein synthesis
antibiotic effect
cyclohexamide
inhibits the eukaryotic peptidyltransferase;
prevents release of the polypeptide chain. Can
be used to isolate ribosome-nascent chain
complexes
chloramphenicol inhibits the prokaryotic peptidyltransferase
puromycin
causes premature chain termination and release
from ribosome. Puromycin is similar to a
tyrosyl-tRNA and acts as a substrate during
elongation. Once added to the carboxyl end of
the nascent chain, protein synthesis is aborted
tetracycline inhibits aminoacyl tRNA binding to the A-site
kanamycin causes misreading of the mRNA
streptomycin causes misreading of the mRNA
antibiotics can be useful tools for manipulating translation, folding
2-25
ssrA RNA in bacteria
Solution:
- SsrA, or 10SA RNA is a small RNA (363 nt)
that resembles a tRNA and can be charged
with alanine. It is placed into the
peptidyltransferase site by the protein SsrB
- SsrA can be used as a template, and codes
a peptide, ANDENYALAA
- the fusion protein containing this sequence
is recognized and degraded by the ClpAP or
ClpPX proteases
Problem:
- turnover (degradation) of mRNA occurs
very quickly in bacteria, and the 3’ end of
the mRNA has a higher probability of being
degraded first
- if the stop codon is removed, there are no
signals for mRNA release from the
ribosome, and the mRNA will stall
2-26
Nascent chain stalling in eukaryotes
- can make proteins that are of a defined length by translating
an RNA that is truncated at the 3’ end (i.e., has no stop codon)
Steps:
1. linearize a vector encoding a gene of interest using a restriction
enzyme, such that the cut is precisely where you want the
polypeptide to end (before the stop codon)
2. make RNA using nucleotides and polymerase enzyme
3. add to an in vitro translation system (rabbit reticulocyte lysate),
which has all of the required components to translate the RNA
4. if the RNA is not truncated, the full-length protein will be made
and released; if the RNA is truncated, it will remain bound to the
ribosome
Note: the protein can be labeled this way with 35S-methionine;
co-translational folding still takes place
2-27
Chain stalling: in practice
Goal: show that firefly luciferase can adopt a folded, functional
conformation co-translationally
Experiment:
1. prepare DNA construct that encodes firefly luciferase and an extra 35
amino acids at its C-terminus
2. digest construct such that the last 2 amino acids and the stop codon are
removed
3. prepare RNA using polymerase and nucleotides
4. in vitro translate the RNA in rabbit reticulocyte lysate
5. assay for firefly luciferase activity (light emission at 560 nm occurs when
luciferin substrate is oxidatively decarboxylated)
Fact: only full-length firefly luciferase is functional
Problem? Hint: does this experiment show physiological relevance?
2-28
Protein folding:
in 3 different environments
• ex vivo refolding rabbit reticulocyte lysate
- rabbit reticulocyte lysate is an abundant source of molecular
chaperones, many of which are ATP-dependent
• in vitro folding environments
- protein folding (from denaturant), when possible, requires the
proper environment:
proper pH, salts, concentration of protein, temperature,
stabilizing agents (e.g., other proteins, glycerol, etc.)
• in vivo folding
- molecular chaperones, protein folding catalysts, proper redox
environment, availability of binding partners
2-29
Following the acquisition
of (native) structure
denaturation renaturation native
structure?
• regain of 2º, 3º and 4º structures
- by circular dichroism and
fluorescence measurements
- by other criteria (e.g., native gel
electrophoresis, SEC,
protease sensitivity assays, etc.)
• regain of activity
- activity not necessarily enzymatic
Circular
dichroism
unfolding
refolding
2-30
Acquisition of native structure:
examples
• actin
- chemically denatured actin can be refolded by incubating it in
rabbit reticulocyte lysate; native gel electrophoresis, and
binding to DNAse I is used to assess folding
• various small proteins (RNAse A, lysozyme, etc.)
- can be denatured chemically and refolded simply by dilution
of the denaturing agent; activity assays are available, but
folding can be monitored using spectroscopic techniques
• other
- small-angle light x-ray scattering (SAXS), NMR are some
other techniques used to monitor protein folding
2-31
Protein denaturants
• high temperatures
- cause protein unfolding, aggregation
• low temperatures
- some proteins are sensitive to cold denaturation
• heavy metals (e.g., lead, cadmium, etc.)
- highly toxic; efficiently induce the ‘stress response’
• proteotoxic agents (e.g., alcohols, cross-linking agents, etc.)
• oxygen radicals, ionizing radiation
- cause permanent protein damage
• chaotropes (urea, guanidine hydrochloride, etc.)
- highly potent at denaturing proteins;
often used in protein folding studies
2-32
Following the loss of structure
• loss of secondary structure
- the far-UV circular dichroism spectrum of a protein changes
at the so-called ‘melting temperature’ or Tm
- fluorescence characteristics will likely also change
• loss of tertiary structure
- the far- and near-UV circular dichroism spectra of a protein
change, but the Tm of both spectra may be different
- fluorescence characteristics will likely also change
• loss of activity
- the activity of a protein can be monitored over time
• aggregation
- can measure light scattering (e.g., at 320 nm) spectrophoto-
metrically, or by detecting the protein in a precipitate
2-33
Loss of structure: example
folded
unfolded
intermediate
Far-UV
spectrum
Fluorescence
spectrum
Noland et al. (1999) Biochemistry 38, 16136.
native
unfolded
2M
urea
Urea (M)
chymotrypsin
0
no
0
Yes
1
Yes
2
Yes
Bacterial luciferase (α subunit)
2-34

class_L02.ppt

  • 1.
    Proteins: structure, translation,etc. Structure of proteins - amino acids, peptide bond, primary-quaternary structures, disulfide bond Protein synthesis -protein translation, co-translational folding, stalling, etc. Protein folding and unfolding - Levinthal paradox, acquisition of native structure, loss of structure 2-1
  • 2.
    glycine (G) alanine (A) valine(V) leucine (L) Amino acid structures serine (S) threonine (T) cysteine methionine (M) phenylalanine (F) tyrosine (Y) proline isoleucine (I) lysine (K) tryptophan (W) histidine (H) aspartic acid (D) glutamic acid (E) aspargine (N) glutamine (Q) arginine (R) 3 + + 2 2-2
  • 3.
    hydrophobic MILV FYW C P small neutral G(A*)ST hydrophilic EDNQ KRH Amino acidrelationships *A is also fairly hydrophobic Suggested amino acid substitutions Amino acids connected by a line can be substituted with 95% confidence Adapted from D. Bordo and P. Argos (1991) J. Mol. Biol. 217, 721-729. Solvent exposed (SEA>30 Å2 , ) Interior (SEA<10 Å2, ) SEA, solvent exposed area aromatic 2-3
  • 4.
    ©Alberts et al.(1998)  You should know the structure of a polypeptide chain (protein)! Peptide bond formation 2-4
  • 5.
    The peptide bond R=sidechain O=C-N-H is planar (double-bond character) Phi (Φ) and Psi (ψ) angles can vary; their rotation allows polypeptides to adopt their various structures (alpha-helices, beta-sheets, etc.) Ri+1 Ri cis conformation is rare except for proline potential for steric hindrance 2-5
  • 7.
    Protein structure: overview Structuralelement Description primary structure amino acid sequence of protein secondary structure helices, sheets, turns/loops super-secondary structure association of secondary structures domain self-contained structural unit tertiary structure folded structure of whole protein • includes disulfide bonds quaternary structure assembled complex (oligomer) • homo-oligomeric (1 protein type) • hetero-oligomeric (>1 type) 2-6
  • 8.
    Protein structure: helices alpha3.10 pi amino acids per turn: 3.6 3.0 4.4 frequency ~97% ~3% rare - alpha helices are about 10 residues on average - side chains are well staggered, preventing steric hindrance - helices can form bundles, coiled coils, etc. H-bonding 2-7
  • 9.
    Protein structure: sheets -the basic unit of a beta-sheet is called a beta-strand - unlike alpha-helix, sheets can be formed from discontinuous regions of a polypeptide chain - beta-sheets can form various higher-level structures, such as a beta-barrel anti-parallel parallel ‘twisted’ Green Fluorescent Protein (GFP) 2-8
  • 10.
    Protein structure: sheets(detail) ‘twisted’ - notice the difference in H-bonding pattern between parallel and anti-parallel beta-sheets - also notice orientation of side chains relative to the sheets 2-9
  • 11.
    Protein structure: turns/loops ribonucleaseA - there are various types of turns, differing in the number of residues and H-bonding pattern - loops are typically longer; they are often called coils and do not have a ‘regular’, or repeating, structure loop (usually exposed on surface) alpha-helix beta-sheet 2-10
  • 12.
    Ramachandran plot Phi (Φ) Psi(ψ) - Phi (Φ) and Psi (ψ) rotate, allowing the polypeptide to assume its various conformations - some conformations of the polypeptide backbone result in steric hindrance and are disallowed - glycine has no side chain and is therefore conformationally highly flexible (it is often found in turns) no steric clashes permitted if atoms are more closely spaced 2-11
  • 13.
    Types of non-covalentinteractions interaction nature bond length “bond” strength example ionic (salt bridge) electrostatic 1.8-4.0 Å (3.0-10 Å for like charges) 1-6 kcal/mol positive: K, R, H, N-terminus negative: D, E, C-terminus hydrophobic entropy - 2-3 hydrophobic side chains (M,I,L,V,F,W,Y,A,C,P) H-bond H-bonding 2.6-3.5 2-10 H donor, O acceptor van der Waals attraction/ repulsion 2.8-4.0 <1 closely-spaced atoms; if too close, repulsion aromatic- aromatic p-p 4.5-7.0 1-2 F,W,Y (stacked) aromatic- amino group H-bonding 2.9-3.6 2.7-4.9 N-H donor to F,W,Y these all contribute to some extent to protein structure & stability; - important to understand extremophilic (or any other) proteins 2-12
  • 14.
    Protein-solvent interactions hydrophilic aminoacids (D, E, K, R, H, N, Q) - these amino acids tend to interact extensively with solvent in context of the folded protein; the interaction is mostly ionic and H- bonding - there are instances of hydrophilic residues being buried in the interior of the protein; often, pairs of these residues form salt bridges hydrophobic amino acids (M, I, L, V, F, W, Y, A*, C, P) - these tend to form the ‘core’ of the protein, i.e., are buried within the folded protein; some hydrophobic residues can be entirely (or partially) exposed small neutral amino acids (G, A*, S, T) - less preference for being solvent-exposed or not 2-13
  • 15.
    The disulfide bond proteinprotein + protein protein • disulfide bond formation is a covalent modification; the oxidation reaction can either be intramolecular (within the same protein) or inter-molecular (within different proteins, e.g., antibody light and heavy chains). The reaction is reversible. - most disulfide-bonded proteins are extracellular (e.g. lysozyme contains four disulfide bonds); the conditions inside the cytosol are reducing, meaning that the cysteines are usually in reduced form - cellular enzymes (protein disulfide isomerases) assist many proteins in forming proper disulfide bond(s) oxidation reduction + 2 H+ + 2 e- 2-14
  • 16.
    Protein folding “arguably thesingle most important process in biology” in the test tube versus in the cell ~40 years ~20 years 2-15
  • 17.
    Folding of RNAseA in the test tube denaturation renaturation Incubate protein in guanidine hydrochloride (GuHCl) or urea 100-fold dilution of protein into physiological buffer Anfinsen, CB (1973) Principles that govern the folding of protein chains. Science 181, 223-230. - the amino acid sequence of a polypeptide is sufficient to specify its three-dimensional conformation Thus: “protein folding is a spontaneous process that does not require the assistance of extraneous factors” (aggregation) 2-16
  • 18.
    Levinthal paradox folding denatured protein: random coil 106possible conformations Native protein 1 stable conformation in vitro in vivo folding t = seconds t = seconds or much less 2-17
  • 19.
    • folding canbe thought to occur along “energy surfaces or landscapes” • limited number of secondary structure elements: helices, sheets and turns Protein folding theory Dobson, CM (2001) Phil Trans R Soc Lond 356, 133-145 2-18
  • 20.
    Folding of lysozyme •hen lysozyme has 129 residues, consists of 2 domains (α and β) hydrophobic collapse - upon dilution of unfolded protein in buffer, the protein will ‘collapse’ onto itself, trying to bury as many hydrophobic surfaces as possible - in doing so, the protein may fold properly, or: - misfold and aggregate - go through a ‘trapped intermediate’ stage 2-19
  • 21.
    Protein synthesis: theribosome Yusupov et al. (2001) Science 292, 883. - whole 70S ribosome from Thermus thermophilus at 5.5Å - small (30S) subunit: 16S RNA, ~20 proteins - large (50S) subunit: 23S RNA, 5S RNA, >30 proteins - high concentration in the cell (~ 50 μM) 2-20
  • 22.
    Protein synthesis cycle interfaceview of 50S subunit E-, P-, A-site tRNAs and mRNA 1. acylation of tRNAs with respective amino acids 2. binding of tRNA charged with methionine to P-site on the AUG start codon (present on the mRNA) 3. next tRNA charged with appropriate amino acid binds A-site 4. transpeptidation (peptide bond formation) between P-site (N-terminal) amino acid and A-site amino acid leads to the growth of the polypeptide chain. The catalysis is by the peptidyltransferase, which consists only of RNA. The ribosome is thus a ribozyme. 5. the E-site represents the ‘exit’ site for the uncharged tRNA 6. release from tRNA and disassembly then occurs 2-21
  • 23.
    Elongation of thepolypeptide chain adapted from Selmer et al. (1999) Science 286: 2349-2352 - PT = peptidyltransferase site - rRNAs are in grey - proteins are in green - polypeptide chain model is shown to traverse the ribosome channel from the PT site to the polypeptide exit site - the channel/tunnel and exit site are quite narrow, meaning that there is likely to be little if any co-translational protein folding in the channel - possibility of an alpha-helix forming? (“yes”) 2-22
  • 24.
    Co-translational protein folding folding assembly Fact: -first ~30 amino acids of the polypeptide chain present within the ribosome is constrained (the N-terminus emerges first) Assumption: as soon as the nascent chain is extruded, it will start to fold co-translationally (i.e., acquire secondary structures, super-secondary structures, domains) until the complete polypeptide is produced and extruded 2-23
  • 25.
    Observing co-translational folding N-terminal domain (~22kDa) C-terminal domain (~40 kDa) Experiment: 1. translate firefly luciferase RNA in vitro in the presence of 35S-methionine for 2 min 2. Prevent re-initiation of translation with aurintricarboxylic acid (ATCA): ‘synchronizing’ 3. at set timepoints, quench translation, incubate with proteinase K (digests unstructured/non-compact regions in proteins, but not folded domains/proteins) 4. add denaturing (SDS) buffer, then perform SDS- PAGE (polyacrylamide gel electrophoresis) 5. dry gel, observe by autoradiography Firefly Luciferase (62 kDa) 3 Result: 4 5 6 7 8 10 12 no ProK with ProK min 60 kDa 40 kDa 20 kDa 60 kDa 40 kDa 20 kDa 2 3 4 5 6 7 8 10 12 min 2 2-24
  • 26.
    Antibiotics & proteinsynthesis antibiotic effect cyclohexamide inhibits the eukaryotic peptidyltransferase; prevents release of the polypeptide chain. Can be used to isolate ribosome-nascent chain complexes chloramphenicol inhibits the prokaryotic peptidyltransferase puromycin causes premature chain termination and release from ribosome. Puromycin is similar to a tyrosyl-tRNA and acts as a substrate during elongation. Once added to the carboxyl end of the nascent chain, protein synthesis is aborted tetracycline inhibits aminoacyl tRNA binding to the A-site kanamycin causes misreading of the mRNA streptomycin causes misreading of the mRNA antibiotics can be useful tools for manipulating translation, folding 2-25
  • 27.
    ssrA RNA inbacteria Solution: - SsrA, or 10SA RNA is a small RNA (363 nt) that resembles a tRNA and can be charged with alanine. It is placed into the peptidyltransferase site by the protein SsrB - SsrA can be used as a template, and codes a peptide, ANDENYALAA - the fusion protein containing this sequence is recognized and degraded by the ClpAP or ClpPX proteases Problem: - turnover (degradation) of mRNA occurs very quickly in bacteria, and the 3’ end of the mRNA has a higher probability of being degraded first - if the stop codon is removed, there are no signals for mRNA release from the ribosome, and the mRNA will stall 2-26
  • 28.
    Nascent chain stallingin eukaryotes - can make proteins that are of a defined length by translating an RNA that is truncated at the 3’ end (i.e., has no stop codon) Steps: 1. linearize a vector encoding a gene of interest using a restriction enzyme, such that the cut is precisely where you want the polypeptide to end (before the stop codon) 2. make RNA using nucleotides and polymerase enzyme 3. add to an in vitro translation system (rabbit reticulocyte lysate), which has all of the required components to translate the RNA 4. if the RNA is not truncated, the full-length protein will be made and released; if the RNA is truncated, it will remain bound to the ribosome Note: the protein can be labeled this way with 35S-methionine; co-translational folding still takes place 2-27
  • 29.
    Chain stalling: inpractice Goal: show that firefly luciferase can adopt a folded, functional conformation co-translationally Experiment: 1. prepare DNA construct that encodes firefly luciferase and an extra 35 amino acids at its C-terminus 2. digest construct such that the last 2 amino acids and the stop codon are removed 3. prepare RNA using polymerase and nucleotides 4. in vitro translate the RNA in rabbit reticulocyte lysate 5. assay for firefly luciferase activity (light emission at 560 nm occurs when luciferin substrate is oxidatively decarboxylated) Fact: only full-length firefly luciferase is functional Problem? Hint: does this experiment show physiological relevance? 2-28
  • 30.
    Protein folding: in 3different environments • ex vivo refolding rabbit reticulocyte lysate - rabbit reticulocyte lysate is an abundant source of molecular chaperones, many of which are ATP-dependent • in vitro folding environments - protein folding (from denaturant), when possible, requires the proper environment: proper pH, salts, concentration of protein, temperature, stabilizing agents (e.g., other proteins, glycerol, etc.) • in vivo folding - molecular chaperones, protein folding catalysts, proper redox environment, availability of binding partners 2-29
  • 31.
    Following the acquisition of(native) structure denaturation renaturation native structure? • regain of 2º, 3º and 4º structures - by circular dichroism and fluorescence measurements - by other criteria (e.g., native gel electrophoresis, SEC, protease sensitivity assays, etc.) • regain of activity - activity not necessarily enzymatic Circular dichroism unfolding refolding 2-30
  • 32.
    Acquisition of nativestructure: examples • actin - chemically denatured actin can be refolded by incubating it in rabbit reticulocyte lysate; native gel electrophoresis, and binding to DNAse I is used to assess folding • various small proteins (RNAse A, lysozyme, etc.) - can be denatured chemically and refolded simply by dilution of the denaturing agent; activity assays are available, but folding can be monitored using spectroscopic techniques • other - small-angle light x-ray scattering (SAXS), NMR are some other techniques used to monitor protein folding 2-31
  • 33.
    Protein denaturants • hightemperatures - cause protein unfolding, aggregation • low temperatures - some proteins are sensitive to cold denaturation • heavy metals (e.g., lead, cadmium, etc.) - highly toxic; efficiently induce the ‘stress response’ • proteotoxic agents (e.g., alcohols, cross-linking agents, etc.) • oxygen radicals, ionizing radiation - cause permanent protein damage • chaotropes (urea, guanidine hydrochloride, etc.) - highly potent at denaturing proteins; often used in protein folding studies 2-32
  • 34.
    Following the lossof structure • loss of secondary structure - the far-UV circular dichroism spectrum of a protein changes at the so-called ‘melting temperature’ or Tm - fluorescence characteristics will likely also change • loss of tertiary structure - the far- and near-UV circular dichroism spectra of a protein change, but the Tm of both spectra may be different - fluorescence characteristics will likely also change • loss of activity - the activity of a protein can be monitored over time • aggregation - can measure light scattering (e.g., at 320 nm) spectrophoto- metrically, or by detecting the protein in a precipitate 2-33
  • 35.
    Loss of structure:example folded unfolded intermediate Far-UV spectrum Fluorescence spectrum Noland et al. (1999) Biochemistry 38, 16136. native unfolded 2M urea Urea (M) chymotrypsin 0 no 0 Yes 1 Yes 2 Yes Bacterial luciferase (α subunit) 2-34