KU-DHARWAD
SSGFG COLLEGE NARAGUND
DEPARTMENT OF ELECTRONICS
NEW CBCS SYLLABUS WEF:2020-21
BY
MAHIBOOB ALI K MULLA
MSc , M Phil .
KUD BSc CBCS SYLLABUS FOR ELECTRONICS
Semester Theory/
Practical
Subject Code Total Teaching
hours perweek
Total
Teaching hours per
Semester
Duration
of Exams.
Internal
Assessment
Marks
Semester end
Exam
Marks
Total
Marks
Credits
I Theory DSC
ELET:101 04 hrs 60 03 hrs 20 80 100 04
Practical DSC
ELEP:102 04 hrs 60 03 hrs 10 40 50 02
II Theory DSC
ELET:201 04 hrs 60 03 hrs 20 80 100 04
Practical DSC
ELEP:202 04 hrs 60 03 hrs 10 40 50 02
III Theory DSC
ELET:301 04 hrs 60 03 hrs 20 80 100 04
Practical DSC
ELEP:302 04 hrs 60 03 hrs 10 40 50 02
IV Theory DSC
ELET:401 04 hrs 60 03 hrs 20 80 100 04
Practical DSC
ELEP:402 04 hrs 60 03 hrs 10 40 50 02
V Theory DSE
ELET:501A
OR
ELET:501B
04 hrs 60 03 hrs 20 80 100 04
Practical DSE
ELEP:502
04 hrs
60 03 hrs 10 40 50 02
Practical SEC
ELEP:503 04hrs 60 03hrs 10 40 50 02
VI Theory DSE
ELET:601A
OR
ELET:601B
04 hrs 60 03 hrs 20 80 100 04
Practical DSE
ELEP:602 04 hrs 60 03 hrs 10 40 50 02
Practical SEC
ELEP:603 04hrs 60 03hrs 10 40 50 02
Total 200 800 1000 40
ELECTRONICS SYLLABUS WEF: 2020-21
BSc
SEM
THEORY SUBJECTS WL/W
HRS
PRACTICAL SUBJECTS WL/W
HRS
1 BASIC ELECTRONICS DSC ELECT-101 04 ELECTRONICS(DSC-ELEP:102) 04
2 LINEAR AND DIGITALINTEGRATEDCIRCUITS DSC-ELET:201 04 ELECTRONICS(DSC-ELEP:202) 04
3 COMMUNICATION ELECTRONICS DSC-ELECT:301 04 ELECTRONICS(DSC-ELEP:302) 04
4 Photonics and Microcontroller DSC-ELECT:401 04 ELECTRONICS(DSC-ELEP:402) 04
5 A OR
B
DSE-ELECT:501 04 ELECTRONICS(DSC-ELEP:502) 04
SEC-ELEP:503 - ELECTRONICS(SEC-ELEP:S03) 04
6 A OR
B
DSE-ELECT:601 04 ELECTRONICS(DSC-ELEP:602) 04
SEC-ELEP:603 - ELECTRONICS(SEC-ELEP:603) 04
TOTAL 06 24 08 32
• PART - A:2MARKS - Q = 12 , ANSWER - 10Q*2M= [20M]
• PART - B:5MARKS - Q= 06 , ANSWER – 04Q*5M= [20M]
• PART - C:4MARKS - Nr.Pr. Q=08 , ANSWER - 05Q*4M= [20M]
• PART - D:10MARKS - Q=04 , ANSWER - 02Q*10M=[20M]
• TOTAL = 80 MARKS, IA= 20 MARKS
QUESTION PAPER PATTERN
B.SC. I, II, III, IV , V AND VI SEM (CBCS)
SUBJECT: ELECTRONICS
Scheme Of Evaluation For Practical Examinations In Electronics
B.Sc.I,II,III,IV,V and VIsemester (CBCS)
1. Basicformulawithdescriptionofquantities,Units&Natureofgraph.04Marks
2. CircuitDiagram/RayDiagram/Schematicdiagram with properlabeling.04Marks
3. TabularColumnwithQuantitieiesandUnitMentioned. -04Marks
4. Experimental Skills. -04Marks
5. Recordingofobservations ‐08Marks
6. Calculationsanddrawing graph ‐06Marks
7. AccuracyofResult ‐02Marks
8. Viva‐Voce ‐04Marks
9. Completed &Certified Journal ‐04Marks
10. Total -40 Marks
Scheme of Evaluation for the Computer/ Microprocessor Programming
• 1. Alogorithm / Basic Formula with description ‐05Marks
• 2. Flow Chart / Tabular Column ‐05Marks
• 3. Writing Programme / Calculation of Required -10Marks
• Quantities for data set‐1.
• 4. Typing and execution of Programme with out error ‐10Marks
• / Calculation of Required Quantities for data set ‐2
• 5. Accuracy of Result ‐02Marks
• 6. Viva‐Voce ‐04Marks
• 7. Completed & CertifiedJournal ‐04Marks
• 8. Total -40 Marks
BSc I Sem : BASIC ELECTRONICS
DSC ELECT-101
60HOURS [4H/W]
Independent Voltage Sources
• An independent voltage source produces a constant voltage across
its two terminals. This voltage is independent of the amount of
current that is flowing through the two terminals of voltage source.
• Independent ideal voltage source and its V-I characteristics are
shown in the following figure.
• The V-I characteristics of an independent ideal voltage source is a
constant line, which is always equal to the source voltage (VS)
irrespective of the current value (I). So, the internal resistance of an
independent ideal voltage source is zero Ohms.
Hence, the independent ideal voltage sources do nt exist practically, because there will be
some internal resistance. Independent practical voltage source and its V-I characteristics
are shown in the following figure.
There is a deviation in the V-I characteristics of an independent practical voltage source
from the V-I characteristics of an independent ideal voltage source. This is due to the
voltage drop across the internal resistance (RS) of an independent practical voltage source.
o
Independent Current Sources
An independent current source produces a constant current. This current is
independent of the voltage across its two terminals. Independent ideal
current source and its V-I characteristics are shown in the following figure.
• The V-I characteristics of an independent ideal current source is a constant
line, which is always equal to the source current (IS) irrespective of the
voltage value (V). So, the internal resistance of an independent ideal current
source is infinite ohms.
• Hence, the independent ideal current sources do not exist practically,
because there will be some internal resistance.
Independent practical current source and its V-I characteristics are
shown in the following figure.
• There is a deviation in the V-I characteristics of an independent
practical current source from the V-I characteristics of an independent
ideal current source. This is due to the amount of current flows
through the internal shunt resistance (RS) of an independent practical
current source.
•
Source Transformation Technique
• We know that there are two practical sources, namely, voltage
source and current source. We can transform (convert) one source
into the other based on the requirement, while solving network
problems.The technique of transforming one source into the other is
called as source transformation technique. Following are the two
possible source transformations :
• Practical voltage source into a practical current source
• Practical current source into a practical voltage source
following figure
Practical current source into a practical voltage source :
The transformation of practical current source into a practical voltage source is shown in the following
figure. Practical current source consists of a current source (IS) in parallel with a resistor (RS).
This can be converted into a practical voltage source as shown in the figure. It consists of a
voltage source (VS) in series with a resistor (RS). The value of VS will be equal to the product
of IS and RS. Mathematically, it can be represented as VS=ISRS
NETWORK THEOREMS:
The superposition theorem states that for a linear system the response
(voltage or current) in any branch of a bilateral linear circuit having more
than one independent source equals the algebraic sum of the responses
caused by each independent source acting alone, where all the other
independent sources are replaced by their internal impedances.
Explanation of Superposition Theorem
Let us understand the superposition theorem with the help of an
example. The circuit diagram is shown below consists of two voltage
sources V1 and V2.
First, take the source V1 alone and short circuit the V2 source as shown
in the circuit diagram below:
Here, the value of current flowing in each branch,
i.e. i1’, i2’ and i3’ is calculated by the following
equations.
The difference between the above two equations gives the value of the
current i3’
Now, activating the voltage source V2 and
deactivating the voltage source V1 by short-
circuiting it, find the various currents, i.e. i1’’, i2’’,
i3’’ flowing in the circuit diagram shown below:
Here,
Here,
And the value of the current i3’’ will be calculated by the equation shown below:
As per the superposition theorem, the value of current i1, i2, i3 is now
calculated as:
The direction of the current should be taken care of while finding the
current in the various branches.
Thevenin’s Theorem :
• Thevenin’s Theorem is that any linear active network consisting of independent or dependent voltage
and current source and the network elements can be replaced by an equivalent circuit having a
voltage source in series with a resistance.Where the voltage source Vth called Thevenins voltage
source being the open-circuited voltage across the open-circuited load terminals and the resistance
Rth called Thevenins resistance being the internal resistance of the source.
• The Thevenin’s statement is explained with the help of a circuit shown below:
• Let us consider a simple DC circuit as shown in the figure above, where we have to find
the load current IL by the Thevenin’s theorem.
• In order to find the equivalent voltage source, rL is removed from the circuit as shown in
the figure below and Voc or VTH is calculated.
So
Now, to find the internal resistance of the network (Thevenin’s
resistance or equivalent resistance) in series with the open-circuit
voltage VOC , also known as Thevenin’s voltage VTH, the voltage
source is removed or we can say it is deactivated by a short circuit
(as the source does not have any internal resistance) as shown in the
figure below:
Therefore,
So,
Theorem Equivalent Circuit of Thevenin’s Theorem
• Where,
• VTH is the Thevenin’s equivalent voltage. It is an open circuit voltage
across the terminal AB known as load terminal
RTH is the Thevenin’s equivalent resistance, as seen from the load
terminals where all the sources are replaced by their internal
impedance
rL is the load resistance
• Thevenin’s Theorem is an easy way to solve a complicated network.
Norton’s Theorem :
• Norton’s Theorem states that – A linear active network consisting of
the independent or dependent voltage source and current sources and
the various circuit elements can be substituted by an equivalent circuit
consisting of a current source IN in parallel with a resistance RN. The
current source being the short-circuited current across the load
terminal and the resistance being the internal resistance of the source
network.
• Explanation of Norton’s Theorem :To understand Norton’s Theorem in
detail, let us consider a circuit diagram given below
• Now the short circuit is removed, and the independent source is
deactivated as shown in the circuit diagram below and the value of
the internal resistance is calculated by:
• Now the short circuit is removed, and the independent source is deactivated as shown in the
circuit diagram below and the value of the internal resistance is calculated by:
Now, the value of current I flowing in the circuit is found out by the equation
And the short-circuit current ISC is given by the equation shown below:
So,
As per Norton’s Theorem, the equivalent source circuit would contain a current source in
parallel to the internal resistance, the current source being the short-circuited current
across the shorted terminals of the load resistor. The Norton’s Equivalent circuit is
represented as
• Finally, the load current IL calculated by the equation shown below
Where,
•IL is the load current
•Isc is the short circuit current
•Rint is the internal resistance of the circuit
•RL is the load resistance of the circuit
Reciprocity Theorem :
• Reciprocity Theorem states that – In any bilateral linear network
Containing Voltage source and a load , the current through the load is un
altered if the location of Voltage source Vs and load are interchanged.
• The Reciprocity Theorem is explained with the help of the circuit diagram
shown below
The various resistances R1, R2, R3 is connected in the circuit diagram above with a
voltage source (V) and a current source (I). It is clear from the figure above that
the voltage source and current sources are interchanged for solving the network
with the help of Reciprocity Theorem.
• The limitation of this theorem is that it is applicable only to single-
source networks and not in the multi-source network. The network
where reciprocity theorem is applied should be linear and consist of
resistors, inductors, capacitors and coupled circuits. The circuit should
not have any time-varying elements.
Maximum Power Transfer Theorem :
• Maximum Power Transfer Theorem states that – A resistive load, being
connected to a DC network, receives maximum power when the load
resistance is equal to the internal resistance of the source network as seen
from the load terminals. The Maximum Power Transfer theorem is used to
find the load resistance for which there would be the maximum amount of
power transfer from the source to the load.
• The maximum power transfer theorem finds their applications in
communication systems
• Explanation of Maximum Power Transfer Theorem :
A variable resistance RL is connected to a DC source network as shown in
the circuit diagram in figure A below and the figure B represents the
Thevenin’s voltage VTH and Thevenin’s resistance RTH of the source network.
• The aim of the Maximum Power Transfer theorem is to determine the
value of load resistance RL, such that it receives maximum power from the
DC source.
Considering figure B the value of current will be calculated by the equation shown below
While the power delivered to the resistive load is given by the equation
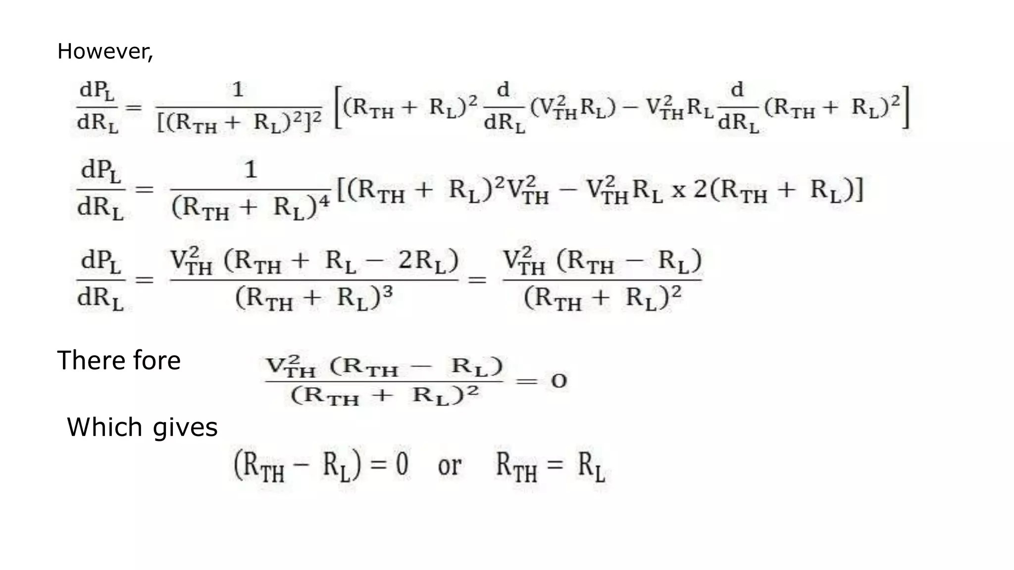
Putting the value of I from the equation (1) in the equation (2) we will get
PL can be maximized by varying RL and hence, maximum power can be delivered when (dPL/dRL) = 0
There fore
However,
Which gives
Hence, it is proved that power transfer from a DC source network to a resistive
network is maximum when the internal resistance of the DC source network is equal
to the load resistance.Again, with RTH = RL, the system is perfectly matched to the
load and the source, thus, the power transfer becomes maximum, and this amount
of power Pmax can be obtained by the equation shown below: Equation (3) gives the
power which is consumed by the load. The power transfer by the source will also be
the same as the power consumed by the load, i.e. equation (3), as the load power
and the source power being the same. Thus, the total power supplied is given by the
equation During Maximum Power Transfer the efficiency ƞ becomes:
• The concept of Maximum Power Transfer theorem is that by making the
source resistance equal to the load resistance, which has wide application in
communication circuits where the magnitude of power transfer is
sufficiently small. To achieve maximum power transfer, the source and the
load resistance are matched and with this, efficiency becomes 50% with the
flow of maximum power from the source to the load.
• In the Electrical Power Transmission system, the load resistance being
sufficiently greater than the source resistance, it is difficult to achieve the
condition of maximum power transfer.
• In power system emphasis is given to keep the voltage drops and the line
losses to a minimum value and hence the operation of the power system,
operating with bulk power transmission capability, becomes uneconomical if
it is operating with only 50% efficiency just for achieving maximum power
transfer.
• Hence, in the electrical power transmission system, the criterion of
maximum power transfer is very rarely used.
TWO PORT NETWORK :
Two port network is a pair of two terminal electrical network in which, current
enters through one terminal and leaves through another terminal of each port.
Two port network representation is shown in the following figure.
Here, one pair of terminals, 1 & 1’ represents one port, which is called as port1 and
the other pair of terminals, 2 & 2’ represents another port, which is called as port2.
There are four variables V1, V2, I1 and I2 in a two port network as shown in the
figure. Out of which, we can choose two variables as independent and another two
variables as dependent. So, we will get six possible pairs of equations. These
equations represent the dependent variables in terms of independent variables. The
coefficients of independent variables are called as parameters. So, each pair of
equations will give a set of four parameters.
Two Port Network Parameters :
• The parameters of a two port network are called as two port network
parameters or simply, two port parameters. Following are the types of two
port network parameters.
• Z , Y , H , T parameters
• Z parameters :
• We will get the following set of two equations by considering the variables
V1 & V2 as dependent and I1 & I2 as independent. The coefficients of
independent variables, I1 and I2 are called as Z parameters.
V1=Z11 I1+Z12 I2 and V2=Z21 I1+Z22 I2
The Z parameters are
Z11=V1/ I1 whenI2=0 , Z12=V1/ I2 whenI1=0 , Z21=V2/ I1 when I2=0 , Z22=V2/ I2 whenI1=0.
• Z parameters are called as impedance parameters because these are simply the ratios of
• voltages and currents. Units of Z parameters are Ohm (Ω).
• We can calculate two Z parameters, Z11 and Z21, by doing open circuit of port2. Similarly, we
• can calculate the other two Z parameters, Z12 and Z22 by doing open circuit of port1. Hence,
• the Z parameters are also called as open-circuit impedance parameters.
• Y parameters :
• We will get the following set of two equations by considering the variables I1 & I2 as
• dependent and V1 & V2 as independent. The coefficients of independent variables, V1 and
• V2 are called as Y parameters.
• I1=Y11 V1+Y12 V2 I2=Y21 V1+Y22 V2
• The Y parameters are Y11=I1 /V1,whenV2=0 Y12=I1/ V2,whenV1=0
• Y21=I2/ V1,whenV2=0 Y22=I2 /V2,whenV1=0
• Y parameters are called as admittance parameters because these are simply, the ratios of
• currents and voltages. Units of Y parameters are mho.
• We can calculate two Y parameters, Y11 and Y21 by doing short circuit of port2. Similarly, we
• can calculate the other two Y parameters, Y12 and Y22 by doing short circuit . Hence, the Y
• parameters are also called as short-circuit admittance parameters.
•
h-parameters :
• We will get the following set of two equations by considering the variables
V1 & I2 as dependent and I1 & V2 as independent. The coefficients of
independent variables, I1 and V2, are called as h-parameters.
• V1=h11I1+h12V2 I2=h21I1+h22V2
• The h-parameters are h11=V1 /I1, when V2=0 h12=V1/V2 , when I1=0
• h21=I2I1,whenV2=0 h22=I2V2,whenI1=0
• h-parameters are called as hybrid parameters. The parameters, h12 and h21,
do not have any units, since those are dimension-less. The units of
parameters, h11 and h22, are Ohm and Mho respectively.
• We can calculate two parameters, h11 and h21 by doing short circuit of port2.
Similarly, we can calculate the other two parameters, h12 and h22 by doing
open circuit of port1.
• The h-parameters or hybrid parameters are useful in transistor modelling
circuits (networks).
•
• Z parameters are called as impedance parameters because these are simply
the ratios of voltages and currents. Units of Z parameters are Ohm (Ω).
• We can calculate two Z parameters, Z11 and Z21, by doing open circuit of
port2. Similarly, we can calculate the other two Z parameters, Z12 and Z22 by
doing open circuit of port1. Hence, the Z parameters are also called as open-
circuit impedance parameters.
Y parameters
We will get the following set of two equations by considering the variables
I1 & I2 as dependent and V1 & V2 as independent. The coefficients of
independent variables, V1 and V2 are called as Y parameters.
I1=Y11V1+Y12V2
I2=Y21V1+Y22V2
The Y parameters are
Y11=I1V1,whenV2=0
Y12=I1V2,whenV1=0
Y21=I2V1,whenV2=0
Y22=I2V2,whenV1=0
Y parameters are called as admittance parameters because these are simply,
the ratios of currents and voltages. Units of Y parameters are mho.
We can calculate two Y parameters, Y11 and Y21 by doing short circuit of
port2. Similarly, we can calculate the other two Y parameters, Y12 and Y22 by
doing short circuit of port1. Hence, the Y parameters are also called as short-
circuit admittance parameters.
h-parameters:
We will get the following set of two equations by considering the variables V1 &
I2 as dependent and I1 & V2 as independent. The coefficients of independent
variables, I1 and V2, are called as h-parameters.
V1=h11I1+h12V2 , I2=h21I1+h22V2
The h-parameters are
h11=V1I1,whenV2=0 , h12=V1V2,whenI1=0 ,h21=I2I1,whenV2=0
h22=I2V2,whenI1=0
h-parameters are called as hybrid parameters. The parameters, h12 and h21, do
not have any units, since those are dimension-less. The units of parameters, h11
and h22, are Ohm and Mho respectively. We can calculate two parameters,
h11 and h21 by doing short circuit of port2. Similarly, we can calculate the other
two parameters, h12 and h22 by doing open circuit of port1.The h-parameters or
hybrid parameters are useful in transistor modelling circuits (networks).
INTER RELATION AMOUNG PARAMETERS :
Procedure of two port parameter conversions :
Follow these steps, while converting one set of two port network parameters into the other
set of two port network parameters.
Step 1 − Write the equations of a two port network in terms of desired parameters.
Step 2 − Write the equations of a two port network in terms of given parameters.
Step 3 − Re-arrange the equations of Step2 in such a way that they should be similar to the
equations of Step1.
Step 4 − By equating the similar equations of Step1 and Step3, we will get the desired
parameters in terms of given parameters. We can represent these parameters in matrix form.
Z parameters to Y parameters :
Here, we have to represent Y parameters in terms of Z parameters. So, in this case Y
parameters are the desired parameters and Z parameters are the given parameters.
Step 1 − We know that the following set of two equations, which represents a two port
network in terms of Y parameters. I1=Y11V1+Y12V2 , I2=Y21V1+Y22V2
We can represent the above two equations in matrix form as
[I1I2]=[Y11Y21Y12Y22][V1V2]Equation 1
Step 2 − We know that the following set of two equations, which represents a
two port network in terms of Z parameters.
V1=Z11I1+Z12I2 , V2=Z21I1+Z22I2
We can represent the above two equations in matrix form as
[V1V2]=[Z11 Z21 Z12 Z22][I1I2]
Step 3 − We can modify it as
[I1I2]=[Z11 Z21 Z12 Z22]−1[V1V2]Equation 2
Step 4 − By equating Equation 1 and Equation 2, we will get
[Y11 Y21 Y12 Y22]=[Z11 Z21 Z12 Z22]−1
⇒[Y11 Y21 Y12 Y22]=[Z22−Z21−Z12Z11]ΔZ Where, ΔZ=Z11 Z22−Z12 Z21
So, just by doing the inverse of Z parameters matrix, we will get Y parameters
matrix.
Y parameters to Z parameters :
Here, we have to represent Z parameters in terms of Y parameters. So, in this case Z
parameters are the desired parameters and Y parameters are the given parameters.
Step 1 − We know that, the following matrix equation of two port network regarding Z
parameters as
[V1V2]=[Z11Z21Z12Z22][I1I2]Equation 3
Step 2 − We know that, the following matrix equation of two port network regarding Y
parameters as
[I1I2]=[Y11Y21Y12Y22][V1V2]
Step 3 − We can modify it as
[V1V2]=[Y11Y21Y12Y22]−1[I1I2]Equation 4
Step 4 − By equating Equation 3 and Equation 4, we will get
[Z11Z21Z12Z22]=[Y11Y21Y12Y22]−1
⇒[Z11Z21Z12Z22]=[Y22−Y21−Y12Y11]ΔY
Where,
ΔY=Y11Y22−Y12Y21
So, just by doing the inverse of Y parameters matrix, we will get the Z parameters matrix.
h-parameters to Z parameters:
Here, we have to represent Z parameters in terms of h-parameters. So, in this
case Z parameters are the desired parameters and h-parameters are the given
parameters.
Step 1 − We know that, the following set of two equations of two port
network regarding Z parameters.
V1=Z11/1+Z12I2 , V2=Z21/1+Z22I2
Step 2 − We know that, the following set of two equations of two-port
network regarding h-parameters.
V1=h11/1+h12V2 , I2=h21/1+h22V2
Step 3 − We can modify the above equation as
⇒I2−h21/1=h22V2 , ⇒V2=I2−h21/1h22 , ⇒V2=⟮−h21h22⟯/1+⟮1h22⟯I2
The above equation is in the form of V2=Z21/1+Z22I2.
Here, Z21=−h21/h22 , Z22=1/h22
Step 4 − Substitute V2 value in first equation of step 2.
V1=h11/1+h21{⟮−h21h22⟯/1+⟮1h22⟯I2}
⇒V1=⟮h11h22−h12h21h22⟯/1+⟮h12h22⟯I2
The above equation is in the form of V1=Z11/1+Z12I2. Here,
Z11=h11h22−h12h21h22
Z12=h12h22
Step 5 − Therefore, the Z parameters matrix is
[Z11Z21Z12Z22]=⎡⎣h11h22−h12h21/h22 −h21/h22 h12/h22 1/h22⎤⎦
In this way, we can convert one set of parameters into other set of parameters.
MEASURING INSTRUMENTS:
• Types of Basic Measuring Instruments
• We can classify the basic measuring instruments into the following two types.
• Voltmeters
• Ammeters
• Let us discuss about these two basic measuring instruments briefly.
• Voltmeters :
• As the name suggests, voltmeter is a measuring instrument which measures the
voltage across any two points of an electric circuit. The units of voltage are volt
and the measuring instrument is meter. Hence, the word “voltmeter” is obtained
by combining the two words “volt” and “meter”.
• We can classify the voltmeters into the following two types based on the type of
voltage that it can measure.
• DC Voltmeters
• AC Voltmeters
• DC Voltmeter:
DC voltmeter is a measuring instrument, which is used to measure the DC
voltage across any two points of electric circuit. If we place a resistor in series
with the Permanent Magnet Moving Coil (PMMC) galvanometer, then the
entire combination together acts as DC voltmeter.The series resistance, which
is used in DC voltmeter is also called series multiplier resistance or simply,
multiplier. It basically limits the amount of current that flows through
galvanometer in order to prevent the meter current from exceeding the full
scale deflection value. The circuit diagram of DC voltmeter is shown in below
figure. Circuit Diagram Of DC voltmeter
We have to place this DC voltmeter across the two points of an electric circuit,
where the DC voltage is to be measured.Apply KVL around the loop of above
circuit. V−ImRse−ImRm=0 (Equation 1)⇒V−ImRm=ImRse⇒Rse=V−ImRmIm
⇒Rse=VIm−Rm (Equation 2) Where, Rse is the series multiplier resistance V is
the full range DC voltage that is to be measured Im is the full scale deflection
current Rm is the internal resistance of galvanometer The ratio of full range DC
voltage that is to be measured, V and the DC voltage drop across the
galvanometer, Vm is known as multiplying factor, m. Mathematically, it can be
represented as m=VVm (Equation 3) From Equation 1, we will get the following
equation for full range DC voltage that is to be measured, V. V=ImRse+ImRm
(Equation 4)
The DC voltage drop across the galvanometer, Vm is the product of full scale
deflection current, Im and internal resistance of galvanometer, Rm.
Mathematically, it can be written as
Vm=ImRm (Equation 5)
Substitute, Equation 4 and Equation 5 in Equation 3. m=ImRse+ImRmImRm
⇒m=RseRm+1 ⇒m−1=RseRm hence Rse=Rm(m−1)(Equation 6)
We can find the value of series multiplier resistance by using either Equation 2
or Equation 6 based on the available data.
Multi Range DC Voltmeter:
In previous section, we had discussed DC voltmeter, which is obtained by
placing a multiplier resistor in series with the PMMC galvanometer. This DC
voltmeter can be used to measure a particular range of DC voltages.
If we want to use the DC voltmeter for measuring the DC voltages of multiple
ranges, then we have to use multiple parallel multiplier resistors instead of
single multiplier resistor and this entire combination of resistors is in series
with the PMMC galvanometer. The circuit diagram of multi range DC voltmeter
is shown in below figure.
Multi Range DC Volmeter:
We have to place this multi range DC voltmeter across the two points of an
electric circuit, where the DC voltage of required range is to be measured. We
can choose the desired range of voltages by connecting the switch s to the
respective multiplier resistor.
Let, m1,m2,m2 and m4 are the multiplying factors of DC voltmeter when we
consider the full range DC voltages to be measured as, V1,V2,V3 and V4
respectively. Following are the formulae corresponding to each multiplying
factor. m1=V1Vm , m2=V2Vm , m3=V3Vm , m4=V4Vm
In above circuit, there are four series multiplier resistors, Rse1,Rse2,Rse3 and
Rse4. Following are the formulae corresponding to these four resistors.
Rse1=Rm(m1−1) , Rse2=Rm(m2−1) , Rse3=Rm(m3−1) , Rse4=Rm(m4−1)
So, we can find the resistance values of each series multiplier resistor by
using above formulae.
AC Voltmeters:
The instrument, which is used to measure the AC voltage across any two
points of electric circuit is called AC voltmeter. If the AC voltmeter consists of
rectifier, then it is said to be rectifier based AC voltmeter.
The DC voltmeter measures only DC voltages. If we want to use it for
measuring AC voltages, then we have to follow these two steps.
Step1 − Convert the AC voltage signal into a DC voltage signal by using a
rectifier.Step2 − Measure the DC or average value of the rectifier’s output
signal.We get Rectifier based AC voltmeter, just by including the rectifier
circuit to the basic DC voltmeter. This chapter deals about rectifier based AC
voltmeters.Types of Rectifier based AC Voltmeters
Following are the two types of rectifier based AC voltmeters.
AC voltmeter using Half Wave Rectifier
AC voltmeter using Full Wave Rectifier
Now, let us discuss about these two AC voltmeters one by one.AC Voltmeter
using Half Wave Rectifier. If a Half wave rectifier is connected ahead of DC
voltmeter, then that entire combination together is called AC voltmeter using
Half wave rectifier. The block diagram of AC voltmeter using Half wave
rectifier is shown in below figure.
AC Voltmeter Using Half Wave Rectifier:
The above block diagram consists of two blocks: half wave rectifier and DC
voltmeter. We will get the corresponding circuit diagram, just by replacing each
block with the respective component(s) in above block diagram. So, the circuit
diagram of AC voltmeter using Half wave rectifier will look like as shown in
below figure.
The rms value of sinusoidal (AC) input voltage signal is Vrms=Vm2–√
⇒Vm=2–√Vrms ⇒Vm=1.414Vrms Where,
Vm is the maximum value of sinusoidal (AC) input voltage signal.The DC or
average value of the Half wave rectifier’s output signal is Vdc=Vm/π .
Substitute, the value of Vm in above equation. Vdc=1.414Vrms/π
Vdc=0.45Vrms
Therefore, the AC voltmeter produces an output voltage, which is equal to 0.45
times the rms value of the sinusoidal (AC) input voltage signal
AC Voltmeter using Full Wave Rectifier:
If a Full wave rectifier is connected ahead of DC voltmeter, then that entire
combination together is called AC voltmeter using Full wave rectifier. The block
diagram of AC voltmeter using Full wave rectifier is shown in below figure
The above block diagram consists of two blocks: full wave rectifier and DC
voltmeter. We will get the corresponding circuit diagram just by replacing each
block with the respective component(s) in above block diagram.
So, the circuit diagram of AC voltmeter using Full wave rectifier will look like as
shown in below figure.
The rms value of sinusoidal (AC) input voltage signal is
Vrms=Vm2–√ ⇒Vm=2–√Vrms ⇒Vm=1.414Vrms Where,
Vm is the maximum value of sinusoidal (AC) input voltage signal.
The DC or average value of the Full wave rectifier’s output signal is Vdc=2Vm/π
Substitute, the value of Vm in above equation Vdc=2×1.414Vrms/π
Vdc=0.9Vrms.Therefore, the AC voltmeter produces an output voltage, which is
equal to 0.9 times the rms value of the sinusoidal (AC) input voltage signal.
Other AC Voltmeters:
In previous chapter, we discussed about rectifier based AC voltmeters. This
chapter covers the following two types of AC voltmeters.
Peak responding AC voltmeter
True RMS responding AC voltmeter
Now, let us discuss about these two types of AC voltmeters one by one.
Peak Responding AC Voltmeter
As the name suggests, the peak responding AC voltmeter responds to peak
values of AC voltage signal. That means, this voltmeter measures peak values
of AC voltages. The circuit diagram of peak responding AC voltmeter is shown
below −
The above circuit consists of a diode, capacitor, DC amplifier and PMMC
galvanometer. The diode present in the above circuit is used for rectification
purpose. So, the diode converts AC voltage signal into a DC voltage signal. The
capacitor charges to the peak value of this DC voltage signal.
During positive half cycle of AC voltage signal, the diode conducts and the
capacitor charges to the peak value of AC voltage signal. When the value of
AC voltage signal is less than this value, the diode will be reverse biased.
Thus, the capacitor will discharge through resistor of DC amplifier till the next
positive half cycle of AC voltage signal. When the value of AC voltage signal is
greater than the capacitor voltage, the diode conducts and the process will be
repeated.We should select the component values in such a way that the
capacitor charges fast and discharges slowly. As a result, the meter always
responds to this capacitor voltage, i.e. the peak value of AC voltage.
True RMS Responding AC Voltmeter. As the name suggests, the true RMS
responding AC voltmeter responds to the true RMS values of AC voltage signal.
This voltmeter measures RMS values of AC voltages. The circuit diagram of
true RMS responding AC voltmeter is shown in below figure.
The below circuit consists of an AC amplifier, two thermocouples, DC amplifier
and PMMC galvanometer. AC amplifier amplifies the AC voltage signal. Two
thermocouples that are used in above circuit are a measuring thermocouple
and a balancing thermocouple. Measuring thermocouple produces an output
voltage, which is proportional to RMS value of the AC voltage signal.
Any thermocouple converts a square of input quantity into a normal quantity.
This means there exists a non-linear relationship between the output and input
of a thermocouple. The effect of non-linear behavior of a thermocouple can be
neglected by using another thermocouple in the feedback circuit. The
thermocouple that is used for this purpose in above circuit is known as
balancing thermocouple.
DC Ammeters: Current is the rate of flow of electric charge. If this electric
charge flows only in one direction, then the resultant current is called Direct
Current (DC). The instrument, which is used to measure the Direct Current
called DC ammeter.If we place a resistor in parallel with the Permanent
Magnet Moving Coil (PMMC) galvanometer, then the entire combination acts
as DC ammeter. The parallel resistance, which is used in DC ammeter is also
called shunt resistance or simply, shunt. The value of this resistance should be
considered small in order to measure the DC current of large value.
The circuit diagram of DC ammeter is shown in below figure.
We have to place this DC ammeter in series with the branch of an electric
circuit, where the DC current is to be measured. The voltage across the
elements, which are connected in parallel is same. So, the voltage across shunt
resistor, Rsh and the voltage across galvanometer resistance, Rm is same, since
those two elements are connected in parallel in above circuit. Mathematically,
it can be written as
IshRsh=ImRm ⇒Rsh=ImRmIsh (Equation 1)
The KCL equation at node 1 is −I+Ish+Im=0 ⇒Ish=I−Im Substitute the value of
Ish in Equation 1.Rsh=ImRmI−Im(Equation 2)
Take, Im as common in the denominator term, which is present in the right
hand side of Equation 2 Rsh=ImRmIm(1Im−1) ⇒Rsh=RmIIm−1(Equation 3)
Where, Rsh is the shunt resistance Rm is the internal resistance of
galvanometer I is the total Direct Current that is to be measured Im is the full
scale deflection current.The ratio of total Direct Current that is to be measured,
I and the full scale deflection current of the galvanometer,
The ratio of total Direct Current that is to be measured, I and the full scale
deflection current of the galvanometer, Im is known as multiplying factor, m.
Mathematically, it can be represented as m=IIm(Equation 4)
Rsh=Rmm−1(Equation 5) We can find the value of shunt resistance by using
either Equation 2 or Equation 5 based on the available data.
Multi Range DC Ammeter:
In previous section, we discussed about DC ammeter which is obtained by
placing a resistor in parallel with the PMMC galvanometer. This DC ammeter
can be used to measure a particular range of Direct Currents.
If we want to use the DC ammeter for measuring the Direct Currents of
multiple ranges, then we have to use multiple parallel resistors instead of
single resistor and this entire combination of resistors is in parallel to the
PMMC galvanometer. The circuit diagram of multi range DC ammeter is shown
in below figure.
Place this multi range DC ammeter in series with the branch of an electric
circuit, where the Direct Current of required range is to be measured. The
desired range of currents is chosen by connecting the switch, s to the
respective shunt resistor. Let, m1,m2,m3 and m4 are the multiplying factors of
DC ammeter when we consider the total Direct Currents to be measured as,
I1,I2,I3 and I4 respectively. Following are the formulae corresponding to each
multiplying factor.
m1=I1Im , m2=I2Im , m3=I3Im , m4=I4Im
In above circuit, there are four shunt resistors, Rsh1,Rsh2,Rsh2 and Rsh4.
Following are the formulae corresponding to these four resistors.
Rsh1=Rmm1−1 , Rsh2=Rmm2−1 , Rsh3=Rmm3−1 , Rsh4=Rmm4−1
The above formulae will help us find the resistance values of each shunt
resistor.
AC Ammeter:
Current is the rate of flow of electric charge. If the direction of this electric
charge changes regularly, then the resultant current is called Alternating
Current (AC).The instrument, which is used to measure the Alternating
Current that flows through any branch of electric circuit is called AC ammeter.
Example − Thermocouple type AC ammeter.Now, let us discuss about
Thermocouple type AC ammeter.
Thermocouple Type AC Ammeter: If a Thermocouple is connected ahead of
PMMC galvanometer, then that entire combination is called thermocouple type
AC ammeter. The block diagram of thermocouple type AC ammeter is shown in
below figure.
The above block diagram consists of mainly two blocks: a thermocouple, and
a PMMC galvanometer. We will get the corresponding circuit diagram, just by
replacing each block with the respective component(s) in above block
diagram. So, the circuit diagram of thermocouple type AC ammeter will look
like as shown in below figure.
Thermocouple generates an EMF, e, whenever the Alternating Current, I
flows through heater element. This EMF, e is directly proportional to the rms
value of the current, I that is flowing through heater element. So, we have to
calibrate the scale of PMMC instrument to read rms values of current.
So, with this chapter we have completed all basic measuring instruments
such as DC voltmeters, AC voltmeters, DC ammeters and AC ammeters. In
next chapter, let us discuss about the meters or measuring instruments,
which measure resistance value.
OHM Meters:
The instrument, which is used to measure the value of resistance between
any two points in an electric circuit is called ohmmeter. It can also be used to
find the value of an unknown resistor. The units of resistance are ohm and
the measuring instrument is meter. So, the word “ohmmeter” is obtained by
combining the words “ohm” and “meter”.
Types of Ohmmeters: Following are the two types of ohmmeters.
Series Ohmmeter , Shunt Ohmmeter
Now, let us discuss about these two types of ohmmeters one by one.
Series Ohmmeter:
If the resistor’s value is unknown and has to be measured by placing it in
series with the ohmmeter, then that ohmmeter is called series ohmmeter.
The circuit diagram of series ohmmeter is shown in below figure.
The part of the circuit, which is left side of the terminals A & B is series
ohmmeter. So, we can measure the value of unknown resistance by placing it
to the right side of terminals A & B. Now, let us discuss about the calibration
scale of series ohmmeter.If Rx=0Ω, then the terminals A & B will be short
circuited with each other. So, the meter current gets divided between the
resistors, R1 and R2. Now, vary the value of resistor, R2 in such a way that the
entire meter current flows through the resistor, R1 only. In this case, the meter
shows full scale deflection current. Hence, this full scale deflection current of
the meter can be represented as 0Ω.
If Rx=∞Ω, then the terminals A & B will be open circuited with each other. So,
no current flows through resistor, R1. In this case, the meter shows null
deflection current. Hence, this null deflection of the meter can be represented
as ∞Ω.In this way, by considering different values of Rx, the meter shows
different deflections. So, accordingly we can represent those deflections with
the corresponding resistance value.The series ohmmeter consists of a
calibration scale. It has the indications of 0 Ω and ∞Ω at the end points of
right hand and left hand of the scale respectively. Series ohmmeter is useful
for measuring high values of resistances.
Shunt Ohmmeter:
If the resistor’s value is unknown and to be measured by placing it in parallel
(shunt) with the ohmmeter, then that ohmmeter is called shunt ohmmeter.
The circuit diagram of shunt ohmmeter is shown in below figure.
The part of the circuit, which is left side of the terminals A & B is shunt
ohmmeter. So, we can measure the value of unknown resistance by placing it
to the right side of terminals A & B.Now, let us discuss about the calibration
scale of shunt ohmmeter. Close the switch, S of above circuit while it is in use.
If Rx=0Ω, then the terminals A & B will be short circuited with each other. Due
to this, the entire current, I1 flows through the terminals A & B. In this case,
no current flows through PMMC galvanometer. Hence, the null deflection of
the PMMC galvanometer can be represented as 0Ω.
If Rx=∞Ω, then the terminals A & B will be open circuited with each other. So,
no current flows through the terminals A & B. In this case, the entire current,
I1 flows through PMMC galvanometer. If required vary (adjust) the value of
resistor, R1 until the PMMC galvanometer shows full scale deflection current.
Hence, this full scale deflection current of the PMMC galvanometer can be
represented as ∞Ω
In this way, by considering different values of Rx, the meter shows different
deflections. So, accordingly we can represent those deflections with the
corresponding resistance values.
The shunt ohmmeter consists of a calibration scale. It has the indications of
0Ω and ∞Ω at the end points of left hand and right hand of the scale
respectively.
Shunt ohmmeter is useful for measuring low values of resistances. So, we can
use either series ohmmeter or shunt ohmmeter based on the values of
resistances that are to be measured i.e., high or low.
MultiMeter:
Suppose, if a single measuring instrument can be used to measure the
quantities such as voltage, current & resistance one at a time, then it is said to
be multimeter. It has got the name multimeter, since it can measure multiple
electrical quantities one at a time.
Measurements by using Multimeter:
Multimeter is an instrument used to measure DC & AC voltages, DC & AC
currents and resistances of several ranges. It is also called Electronic
Multimeter or Voltage Ohm Meter (VOM).
DC voltage Measurement :
The part of the circuit diagram of Multimeter, which can be used to measure
DC voltage is shown in below figure.
The above circuit looks like a multi range DC voltmeter. The combination of a resistor in series
with PMMC galvanometer is a DC voltmeter. So, it can be used to measure DC voltages up to
certain value.We can increase the range of DC voltages that can be measured with the same
DC voltmeter by increasing the resistance value. the equivalent resistance value increases,
when we connect the resistors are in series.In above circuit, we can measure the DC voltages
up to 2.5V by using the combination of resistor, R5 in series with PMMC galvanometer. By
connecting a resistor, R4 in series with the previous circuit, we can measure the DC voltages
up to 10V. In this way, we can increase the range of DC voltages, simply by connecting a
resistor in series with the previous (earlier) circuit.We can measure the DC voltage across any
two points of an electric circuit, by connecting the switch, S to the desired voltage range.
DC Current Measurement :The part of the circuit diagram of Multimeter, which
can be used to measure DC current is shown in below figure.
The above circuit looks like a multi range DC ammeter. the combination of a
resistor in parallel with PMMC galvanometer is a DC ammeter. So, it can be
used to measure DC currents up to certain value.We can get different ranges of
DC currents measured with the same DC ammeter by placing the resistors in
parallel with previous resistor. In above circuit, the resistor, R1 is connected in
series with the PMMC galvanometer in order to prevent the meter gets
damaged due to large current.We can measure the DC current that is flowing
through any two points of an electric circuit, by connecting the switch, S to the
desired current range
AC voltage Measurement:
The part of the circuit diagram of Multimeter, which can be used to measure AC
voltage is shown in below figure.
The above circuit looks like a multi range AC voltmeter. We know that, we will
get AC voltmeter just by placing rectifier in series (cascade) with DC
voltmeter. The above circuit was created just by placing the diodes
combination and resistor, R6 in between resistor, R5 and PMMC
galvanometer. We can measure the AC voltage across any two points of an
electric circuit, by connecting the switch, S to the desired voltage range.
Note: For AC Current measurement rectifier circuit is used before the meter.
Resistance Measurement: The part of the circuit diagram of Multimeter,
which can be used to measure resistance is shown in below figure.
We have to do the following two tasks before taking any
measurement.ACShort circuit the instrument
Vary the zero adjust control until the meter shows full scale current. That
means, meter indicates zero resistance value.
Now, the above circuit behaves as shunt ohmmeter and has the scale
multiplication of 1, i.e. 100. We can also consider higher order powers of 10
as the scale multiplications for measuring high resistances.
Basics of Oscilloscopes:
Oscilloscope is an electronic equipment, which displays a voltage waveform.
Among the oscilloscopes, Cathode Ray Oscilloscope (CRO) is the basic one and
it displays a time varying signal or waveform. In this chapter, let us discuss
about the block diagram of CRO and measurements of some parameters by
using CRO.
Block Diagram of CRO :
Cathode Ray Oscilloscope (CRO) consists a set of blocks. Those are vertical
amplifier, delay line, trigger circuit, time base generator, horizontal amplifier,
Cathode Ray Tube (CRT) & power supply. The block diagram of CRO is shown in
below figure.
The function of each block of CRO is mentioned below.:
Vertical Amplifier − It amplifies the input signal, which is to be displayed on the
screen of CRT.
Delay Line − It provides some amount of delay to the signal, which is obtained
at the output of vertical amplifier. This delayed signal is then applied to vertical
deflection plates of CRT.
Trigger Circuit − It produces a triggering signal in order to synchronize both
horizontal and vertical deflections of electron beam.
Time base Generator − It produces a sawtooth signal, which is useful for
horizontal deflection of electron beam.
Horizontal Amplifier − It amplifies the sawtooth signal and then connects it to
the horizontal deflection plates of CRT.
Power supply − It produces both high and low voltages. The negative high
voltage and positive low voltage are applied to CRT and other circuits
respectively.
Cathode Ray Tube (CRT) − It is the major important block of CRO and mainly
consists of four parts. Those are electron gun, vertical deflection plates,
horizontal deflection plates and fluorescent screen.
The electron beam, which is produced by an electron gun gets deflected in
both vertical and horizontal directions by a pair of vertical deflection plates and
a pair of horizontal deflection plates respectively. Finally, the deflected beam
will appear as a spot on the fluorescent screen.
In this way, CRO will display the applied input signal on the screen of CRT. So,
we can analyse the signals in time domain by using CRO
Measurements by using CRO:
We can do the following measurements by using CRO.
Measurement of Amplitude
Measurement of Time Period
Measurement of Frequency
Now, let us discuss about these measurements one by one.
Measurement of Amplitude :
CRO displays the voltage signal as a function of time on its screen. The
amplitude of that voltage signal is constant, but we can vary the number of
divisions that cover the voltage signal in vertical direction by varying
volt/division knob on the CRO panel. Therefore, we will get the amplitude of
the signal, which is present on the screen of CRO by using following formula.
A=j×nv
Where, A is the amplitude j is the value of volt/division
nv is the number of divisions that cover the signal in vertical direction.
Measurement of Time Period :
CRO displays the voltage signal as a function of time on its screen. The Time
period of that periodic voltage signal is constant, but we can vary the number
of divisions that cover one complete cycle of voltage signal in horizontal
direction by varying time/division knob on the CRO panel.
Therefore, we will get the Time period of the signal, which is present on the
screen of CRO by using following formula.
T=k×nh
Where,
T is the Time period
j is the value of time/division
nv is the number of divisions that cover one complete cycle of the periodic
signal in horizontal direction.
Measurement of Frequency :
The frequency, f of a periodic signal is the reciprocal of time period, T.
Mathematically, it can be represented as
f=1T
So, we can find the frequency, f of a periodic signal by following these two
steps.
Step1 − Find the Time period of periodic signal
Step2 − Take reciprocal of Time period of periodic signal, which is obtained in
Step1
About special purpose oscilloscopes fallowing are the brief details.
Cathode Ray Oscilloscope (CRO), which is a basic oscilloscope. We will get
special purpose oscilloscopes just by including few additional blocks to the
basic oscilloscope based on the requirement.
Following are the special purpose oscilloscopes.
Dual Beam Oscilloscope
Dual Trace Oscilloscope
Digital Storage Oscilloscope
Lissajous Figures :
Lissajous figure is the pattern which is displayed on the screen, when
sinusoidal signals are applied to both horizontal & vertical deflection plates of
CRO. These patterns will vary based on the amplitudes, frequencies and phase
differences of the sinusoidal signals, which are applied to both horizontal &
vertical deflection plates of CRO.
The following figure shows an example of Lissajous figure.
The above Lissajous figure is in elliptical shape and its major axis has some
inclination angle with positive x-axis.Measurements using Lissajous Figures
We can do the following two measurements from a Lissajous figure.
Frequency of the sinusoidal signal
Phase difference between two sinusoidal signals
Now, let us discuss about these two measurements one by one.
Measurement of Frequency:
Lissajous figure will be displayed on the screen, when the sinusoidal signals are
applied to both horizontal & vertical deflection plates of CRO. Hence, apply the
sinusoidal signal, which has standard known frequency to the horizontal
deflection plates of CRO. Similarly, apply the sinusoidal signal, whose
frequency is unknown to the vertical deflection plates of CRO
Let, fH and fV are the frequencies of sinusoidal signals, which are applied to
the horizontal & vertical deflection plates of CRO respectively. The relationship
between fH and fV can be mathematically represented as below.
fVfH=nHnV
From above relation, we will get the frequency of sinusoidal signal, which is
applied to the vertical deflection plates of CRO as
fV=(nHnV)fH(Equation 1)Where, nH is the number of horizontal tangencies , nV
is the number of vertical tangencies.We can find the values of nH and nV from
Lissajous figure. So, by substituting the values of nH, nV and fH in Equation 1, we
will get the value of fV, i.e. the frequency of sinusoidal signal that is applied to
the vertical deflection plates of CRO.
Measurement of Phase Difference:
A Lissajous figure is displayed on the screen when sinusoidal signals are applied
to both horizontal & vertical deflection plates of CRO. Hence, apply the
sinusoidal signals, which have same amplitude and frequency to both horizontal
and vertical deflection plates of CRO.For few Lissajous figures based on their
shape, we can directly tell the phase difference between the two sinusoidal
signals.
If the Lissajous figure is a straight line with an inclination of 45∘ with positive x-
axis, then the phase difference between the two sinusoidal signals will be 0∘.
That means, there is no phase difference between those two sinusoidal
signals.If the Lissajous figure is a straight line with an inclination of 135∘ with
positive x-axis, then the phase difference between the two sinusoidal signals
will be 180∘. That means, those two sinusoidal signals are out of phase.
If the Lissajous figure is in circular shape, then the phase difference between
the two sinusoidal signals will be 90∘ or 270∘.
We can calculate the phase difference between the two sinusoidal signals by
using formulae, when the Lissajous figures are of elliptical shape.
If the major axis of an elliptical shape Lissajous figure having an inclination
angle lies between 0∘ and 90∘ with positive x-axis, then the phase difference
between the two sinusoidal signals will be.
ϕ=sin−1(x1x2)=sin−1(y1y2)
If the major axis of an elliptical shape Lissajous figure having an inclination angle
lies between 90∘ and 180∘ with positive x-axis, then the phase difference
between the two sinusoidal signals will be.
ϕ=180−sin−1(x1x2)=180−sin−1(y1y2)Where,
x1 is the distance from the origin to the point on x-axis, where the elliptical
shape Lissajous figure intersects
x2 is the distance from the origin to the vertical tangent of elliptical shape
Lissajous figure
y1 is the distance from the origin to the point on y-axis, where the elliptical
shape Lissajous figure intersects
y2 is the distance from the origin to the horizontal tangent of elliptical shape
Lissajous figure
In this chapter, welearnt how to find the frequency of unknown sinusoidal signal
and the phase difference between two sinusoidal signals from Lissajous figures
by using formulae.
THANK YOU

Cbcs b sc i sem e1 unit 1

  • 1.
    KU-DHARWAD SSGFG COLLEGE NARAGUND DEPARTMENTOF ELECTRONICS NEW CBCS SYLLABUS WEF:2020-21 BY MAHIBOOB ALI K MULLA MSc , M Phil .
  • 2.
    KUD BSc CBCSSYLLABUS FOR ELECTRONICS Semester Theory/ Practical Subject Code Total Teaching hours perweek Total Teaching hours per Semester Duration of Exams. Internal Assessment Marks Semester end Exam Marks Total Marks Credits I Theory DSC ELET:101 04 hrs 60 03 hrs 20 80 100 04 Practical DSC ELEP:102 04 hrs 60 03 hrs 10 40 50 02 II Theory DSC ELET:201 04 hrs 60 03 hrs 20 80 100 04 Practical DSC ELEP:202 04 hrs 60 03 hrs 10 40 50 02 III Theory DSC ELET:301 04 hrs 60 03 hrs 20 80 100 04 Practical DSC ELEP:302 04 hrs 60 03 hrs 10 40 50 02 IV Theory DSC ELET:401 04 hrs 60 03 hrs 20 80 100 04 Practical DSC ELEP:402 04 hrs 60 03 hrs 10 40 50 02 V Theory DSE ELET:501A OR ELET:501B 04 hrs 60 03 hrs 20 80 100 04 Practical DSE ELEP:502 04 hrs 60 03 hrs 10 40 50 02 Practical SEC ELEP:503 04hrs 60 03hrs 10 40 50 02 VI Theory DSE ELET:601A OR ELET:601B 04 hrs 60 03 hrs 20 80 100 04 Practical DSE ELEP:602 04 hrs 60 03 hrs 10 40 50 02 Practical SEC ELEP:603 04hrs 60 03hrs 10 40 50 02 Total 200 800 1000 40
  • 3.
    ELECTRONICS SYLLABUS WEF:2020-21 BSc SEM THEORY SUBJECTS WL/W HRS PRACTICAL SUBJECTS WL/W HRS 1 BASIC ELECTRONICS DSC ELECT-101 04 ELECTRONICS(DSC-ELEP:102) 04 2 LINEAR AND DIGITALINTEGRATEDCIRCUITS DSC-ELET:201 04 ELECTRONICS(DSC-ELEP:202) 04 3 COMMUNICATION ELECTRONICS DSC-ELECT:301 04 ELECTRONICS(DSC-ELEP:302) 04 4 Photonics and Microcontroller DSC-ELECT:401 04 ELECTRONICS(DSC-ELEP:402) 04 5 A OR B DSE-ELECT:501 04 ELECTRONICS(DSC-ELEP:502) 04 SEC-ELEP:503 - ELECTRONICS(SEC-ELEP:S03) 04 6 A OR B DSE-ELECT:601 04 ELECTRONICS(DSC-ELEP:602) 04 SEC-ELEP:603 - ELECTRONICS(SEC-ELEP:603) 04 TOTAL 06 24 08 32
  • 4.
    • PART -A:2MARKS - Q = 12 , ANSWER - 10Q*2M= [20M] • PART - B:5MARKS - Q= 06 , ANSWER – 04Q*5M= [20M] • PART - C:4MARKS - Nr.Pr. Q=08 , ANSWER - 05Q*4M= [20M] • PART - D:10MARKS - Q=04 , ANSWER - 02Q*10M=[20M] • TOTAL = 80 MARKS, IA= 20 MARKS QUESTION PAPER PATTERN B.SC. I, II, III, IV , V AND VI SEM (CBCS) SUBJECT: ELECTRONICS
  • 5.
    Scheme Of EvaluationFor Practical Examinations In Electronics B.Sc.I,II,III,IV,V and VIsemester (CBCS) 1. Basicformulawithdescriptionofquantities,Units&Natureofgraph.04Marks 2. CircuitDiagram/RayDiagram/Schematicdiagram with properlabeling.04Marks 3. TabularColumnwithQuantitieiesandUnitMentioned. -04Marks 4. Experimental Skills. -04Marks 5. Recordingofobservations ‐08Marks 6. Calculationsanddrawing graph ‐06Marks 7. AccuracyofResult ‐02Marks 8. Viva‐Voce ‐04Marks 9. Completed &Certified Journal ‐04Marks 10. Total -40 Marks
  • 6.
    Scheme of Evaluationfor the Computer/ Microprocessor Programming • 1. Alogorithm / Basic Formula with description ‐05Marks • 2. Flow Chart / Tabular Column ‐05Marks • 3. Writing Programme / Calculation of Required -10Marks • Quantities for data set‐1. • 4. Typing and execution of Programme with out error ‐10Marks • / Calculation of Required Quantities for data set ‐2 • 5. Accuracy of Result ‐02Marks • 6. Viva‐Voce ‐04Marks • 7. Completed & CertifiedJournal ‐04Marks • 8. Total -40 Marks
  • 7.
    BSc I Sem: BASIC ELECTRONICS DSC ELECT-101 60HOURS [4H/W]
  • 8.
    Independent Voltage Sources •An independent voltage source produces a constant voltage across its two terminals. This voltage is independent of the amount of current that is flowing through the two terminals of voltage source. • Independent ideal voltage source and its V-I characteristics are shown in the following figure. • The V-I characteristics of an independent ideal voltage source is a constant line, which is always equal to the source voltage (VS) irrespective of the current value (I). So, the internal resistance of an independent ideal voltage source is zero Ohms.
  • 9.
    Hence, the independentideal voltage sources do nt exist practically, because there will be some internal resistance. Independent practical voltage source and its V-I characteristics are shown in the following figure. There is a deviation in the V-I characteristics of an independent practical voltage source from the V-I characteristics of an independent ideal voltage source. This is due to the voltage drop across the internal resistance (RS) of an independent practical voltage source. o
  • 10.
    Independent Current Sources Anindependent current source produces a constant current. This current is independent of the voltage across its two terminals. Independent ideal current source and its V-I characteristics are shown in the following figure. • The V-I characteristics of an independent ideal current source is a constant line, which is always equal to the source current (IS) irrespective of the voltage value (V). So, the internal resistance of an independent ideal current source is infinite ohms. • Hence, the independent ideal current sources do not exist practically, because there will be some internal resistance.
  • 11.
    Independent practical currentsource and its V-I characteristics are shown in the following figure. • There is a deviation in the V-I characteristics of an independent practical current source from the V-I characteristics of an independent ideal current source. This is due to the amount of current flows through the internal shunt resistance (RS) of an independent practical current source. •
  • 12.
    Source Transformation Technique •We know that there are two practical sources, namely, voltage source and current source. We can transform (convert) one source into the other based on the requirement, while solving network problems.The technique of transforming one source into the other is called as source transformation technique. Following are the two possible source transformations : • Practical voltage source into a practical current source • Practical current source into a practical voltage source following figure
  • 13.
    Practical current sourceinto a practical voltage source : The transformation of practical current source into a practical voltage source is shown in the following figure. Practical current source consists of a current source (IS) in parallel with a resistor (RS). This can be converted into a practical voltage source as shown in the figure. It consists of a voltage source (VS) in series with a resistor (RS). The value of VS will be equal to the product of IS and RS. Mathematically, it can be represented as VS=ISRS
  • 14.
    NETWORK THEOREMS: The superpositiontheorem states that for a linear system the response (voltage or current) in any branch of a bilateral linear circuit having more than one independent source equals the algebraic sum of the responses caused by each independent source acting alone, where all the other independent sources are replaced by their internal impedances.
  • 15.
    Explanation of SuperpositionTheorem Let us understand the superposition theorem with the help of an example. The circuit diagram is shown below consists of two voltage sources V1 and V2. First, take the source V1 alone and short circuit the V2 source as shown in the circuit diagram below:
  • 16.
    Here, the valueof current flowing in each branch, i.e. i1’, i2’ and i3’ is calculated by the following equations. The difference between the above two equations gives the value of the current i3’
  • 17.
    Now, activating thevoltage source V2 and deactivating the voltage source V1 by short- circuiting it, find the various currents, i.e. i1’’, i2’’, i3’’ flowing in the circuit diagram shown below: Here, Here,
  • 18.
    And the valueof the current i3’’ will be calculated by the equation shown below: As per the superposition theorem, the value of current i1, i2, i3 is now calculated as: The direction of the current should be taken care of while finding the current in the various branches.
  • 19.
    Thevenin’s Theorem : •Thevenin’s Theorem is that any linear active network consisting of independent or dependent voltage and current source and the network elements can be replaced by an equivalent circuit having a voltage source in series with a resistance.Where the voltage source Vth called Thevenins voltage source being the open-circuited voltage across the open-circuited load terminals and the resistance Rth called Thevenins resistance being the internal resistance of the source. • The Thevenin’s statement is explained with the help of a circuit shown below: • Let us consider a simple DC circuit as shown in the figure above, where we have to find the load current IL by the Thevenin’s theorem. • In order to find the equivalent voltage source, rL is removed from the circuit as shown in the figure below and Voc or VTH is calculated.
  • 20.
    So Now, to findthe internal resistance of the network (Thevenin’s resistance or equivalent resistance) in series with the open-circuit voltage VOC , also known as Thevenin’s voltage VTH, the voltage source is removed or we can say it is deactivated by a short circuit (as the source does not have any internal resistance) as shown in the figure below:
  • 21.
  • 22.
    • Where, • VTHis the Thevenin’s equivalent voltage. It is an open circuit voltage across the terminal AB known as load terminal RTH is the Thevenin’s equivalent resistance, as seen from the load terminals where all the sources are replaced by their internal impedance rL is the load resistance • Thevenin’s Theorem is an easy way to solve a complicated network.
  • 23.
    Norton’s Theorem : •Norton’s Theorem states that – A linear active network consisting of the independent or dependent voltage source and current sources and the various circuit elements can be substituted by an equivalent circuit consisting of a current source IN in parallel with a resistance RN. The current source being the short-circuited current across the load terminal and the resistance being the internal resistance of the source network. • Explanation of Norton’s Theorem :To understand Norton’s Theorem in detail, let us consider a circuit diagram given below
  • 24.
    • Now theshort circuit is removed, and the independent source is deactivated as shown in the circuit diagram below and the value of the internal resistance is calculated by: • Now the short circuit is removed, and the independent source is deactivated as shown in the circuit diagram below and the value of the internal resistance is calculated by: Now, the value of current I flowing in the circuit is found out by the equation And the short-circuit current ISC is given by the equation shown below:
  • 25.
    So, As per Norton’sTheorem, the equivalent source circuit would contain a current source in parallel to the internal resistance, the current source being the short-circuited current across the shorted terminals of the load resistor. The Norton’s Equivalent circuit is represented as
  • 26.
    • Finally, theload current IL calculated by the equation shown below Where, •IL is the load current •Isc is the short circuit current •Rint is the internal resistance of the circuit •RL is the load resistance of the circuit
  • 27.
    Reciprocity Theorem : •Reciprocity Theorem states that – In any bilateral linear network Containing Voltage source and a load , the current through the load is un altered if the location of Voltage source Vs and load are interchanged. • The Reciprocity Theorem is explained with the help of the circuit diagram shown below The various resistances R1, R2, R3 is connected in the circuit diagram above with a voltage source (V) and a current source (I). It is clear from the figure above that the voltage source and current sources are interchanged for solving the network with the help of Reciprocity Theorem.
  • 28.
    • The limitationof this theorem is that it is applicable only to single- source networks and not in the multi-source network. The network where reciprocity theorem is applied should be linear and consist of resistors, inductors, capacitors and coupled circuits. The circuit should not have any time-varying elements.
  • 29.
    Maximum Power TransferTheorem : • Maximum Power Transfer Theorem states that – A resistive load, being connected to a DC network, receives maximum power when the load resistance is equal to the internal resistance of the source network as seen from the load terminals. The Maximum Power Transfer theorem is used to find the load resistance for which there would be the maximum amount of power transfer from the source to the load. • The maximum power transfer theorem finds their applications in communication systems • Explanation of Maximum Power Transfer Theorem : A variable resistance RL is connected to a DC source network as shown in the circuit diagram in figure A below and the figure B represents the Thevenin’s voltage VTH and Thevenin’s resistance RTH of the source network. • The aim of the Maximum Power Transfer theorem is to determine the value of load resistance RL, such that it receives maximum power from the DC source.
  • 30.
    Considering figure Bthe value of current will be calculated by the equation shown below While the power delivered to the resistive load is given by the equation Putting the value of I from the equation (1) in the equation (2) we will get PL can be maximized by varying RL and hence, maximum power can be delivered when (dPL/dRL) = 0
  • 31.
  • 32.
    Hence, it isproved that power transfer from a DC source network to a resistive network is maximum when the internal resistance of the DC source network is equal to the load resistance.Again, with RTH = RL, the system is perfectly matched to the load and the source, thus, the power transfer becomes maximum, and this amount of power Pmax can be obtained by the equation shown below: Equation (3) gives the power which is consumed by the load. The power transfer by the source will also be the same as the power consumed by the load, i.e. equation (3), as the load power and the source power being the same. Thus, the total power supplied is given by the equation During Maximum Power Transfer the efficiency ƞ becomes:
  • 33.
    • The conceptof Maximum Power Transfer theorem is that by making the source resistance equal to the load resistance, which has wide application in communication circuits where the magnitude of power transfer is sufficiently small. To achieve maximum power transfer, the source and the load resistance are matched and with this, efficiency becomes 50% with the flow of maximum power from the source to the load. • In the Electrical Power Transmission system, the load resistance being sufficiently greater than the source resistance, it is difficult to achieve the condition of maximum power transfer. • In power system emphasis is given to keep the voltage drops and the line losses to a minimum value and hence the operation of the power system, operating with bulk power transmission capability, becomes uneconomical if it is operating with only 50% efficiency just for achieving maximum power transfer. • Hence, in the electrical power transmission system, the criterion of maximum power transfer is very rarely used.
  • 34.
    TWO PORT NETWORK: Two port network is a pair of two terminal electrical network in which, current enters through one terminal and leaves through another terminal of each port. Two port network representation is shown in the following figure. Here, one pair of terminals, 1 & 1’ represents one port, which is called as port1 and the other pair of terminals, 2 & 2’ represents another port, which is called as port2. There are four variables V1, V2, I1 and I2 in a two port network as shown in the figure. Out of which, we can choose two variables as independent and another two variables as dependent. So, we will get six possible pairs of equations. These equations represent the dependent variables in terms of independent variables. The coefficients of independent variables are called as parameters. So, each pair of equations will give a set of four parameters.
  • 35.
    Two Port NetworkParameters : • The parameters of a two port network are called as two port network parameters or simply, two port parameters. Following are the types of two port network parameters. • Z , Y , H , T parameters • Z parameters : • We will get the following set of two equations by considering the variables V1 & V2 as dependent and I1 & I2 as independent. The coefficients of independent variables, I1 and I2 are called as Z parameters. V1=Z11 I1+Z12 I2 and V2=Z21 I1+Z22 I2 The Z parameters are Z11=V1/ I1 whenI2=0 , Z12=V1/ I2 whenI1=0 , Z21=V2/ I1 when I2=0 , Z22=V2/ I2 whenI1=0.
  • 36.
    • Z parametersare called as impedance parameters because these are simply the ratios of • voltages and currents. Units of Z parameters are Ohm (Ω). • We can calculate two Z parameters, Z11 and Z21, by doing open circuit of port2. Similarly, we • can calculate the other two Z parameters, Z12 and Z22 by doing open circuit of port1. Hence, • the Z parameters are also called as open-circuit impedance parameters. • Y parameters : • We will get the following set of two equations by considering the variables I1 & I2 as • dependent and V1 & V2 as independent. The coefficients of independent variables, V1 and • V2 are called as Y parameters. • I1=Y11 V1+Y12 V2 I2=Y21 V1+Y22 V2 • The Y parameters are Y11=I1 /V1,whenV2=0 Y12=I1/ V2,whenV1=0 • Y21=I2/ V1,whenV2=0 Y22=I2 /V2,whenV1=0 • Y parameters are called as admittance parameters because these are simply, the ratios of • currents and voltages. Units of Y parameters are mho. • We can calculate two Y parameters, Y11 and Y21 by doing short circuit of port2. Similarly, we • can calculate the other two Y parameters, Y12 and Y22 by doing short circuit . Hence, the Y • parameters are also called as short-circuit admittance parameters. •
  • 37.
    h-parameters : • Wewill get the following set of two equations by considering the variables V1 & I2 as dependent and I1 & V2 as independent. The coefficients of independent variables, I1 and V2, are called as h-parameters. • V1=h11I1+h12V2 I2=h21I1+h22V2 • The h-parameters are h11=V1 /I1, when V2=0 h12=V1/V2 , when I1=0 • h21=I2I1,whenV2=0 h22=I2V2,whenI1=0 • h-parameters are called as hybrid parameters. The parameters, h12 and h21, do not have any units, since those are dimension-less. The units of parameters, h11 and h22, are Ohm and Mho respectively. • We can calculate two parameters, h11 and h21 by doing short circuit of port2. Similarly, we can calculate the other two parameters, h12 and h22 by doing open circuit of port1. • The h-parameters or hybrid parameters are useful in transistor modelling circuits (networks). •
  • 38.
    • Z parametersare called as impedance parameters because these are simply the ratios of voltages and currents. Units of Z parameters are Ohm (Ω). • We can calculate two Z parameters, Z11 and Z21, by doing open circuit of port2. Similarly, we can calculate the other two Z parameters, Z12 and Z22 by doing open circuit of port1. Hence, the Z parameters are also called as open- circuit impedance parameters. Y parameters We will get the following set of two equations by considering the variables I1 & I2 as dependent and V1 & V2 as independent. The coefficients of independent variables, V1 and V2 are called as Y parameters. I1=Y11V1+Y12V2 I2=Y21V1+Y22V2
  • 39.
    The Y parametersare Y11=I1V1,whenV2=0 Y12=I1V2,whenV1=0 Y21=I2V1,whenV2=0 Y22=I2V2,whenV1=0 Y parameters are called as admittance parameters because these are simply, the ratios of currents and voltages. Units of Y parameters are mho. We can calculate two Y parameters, Y11 and Y21 by doing short circuit of port2. Similarly, we can calculate the other two Y parameters, Y12 and Y22 by doing short circuit of port1. Hence, the Y parameters are also called as short- circuit admittance parameters.
  • 40.
    h-parameters: We will getthe following set of two equations by considering the variables V1 & I2 as dependent and I1 & V2 as independent. The coefficients of independent variables, I1 and V2, are called as h-parameters. V1=h11I1+h12V2 , I2=h21I1+h22V2 The h-parameters are h11=V1I1,whenV2=0 , h12=V1V2,whenI1=0 ,h21=I2I1,whenV2=0 h22=I2V2,whenI1=0 h-parameters are called as hybrid parameters. The parameters, h12 and h21, do not have any units, since those are dimension-less. The units of parameters, h11 and h22, are Ohm and Mho respectively. We can calculate two parameters, h11 and h21 by doing short circuit of port2. Similarly, we can calculate the other two parameters, h12 and h22 by doing open circuit of port1.The h-parameters or hybrid parameters are useful in transistor modelling circuits (networks).
  • 41.
    INTER RELATION AMOUNGPARAMETERS : Procedure of two port parameter conversions : Follow these steps, while converting one set of two port network parameters into the other set of two port network parameters. Step 1 − Write the equations of a two port network in terms of desired parameters. Step 2 − Write the equations of a two port network in terms of given parameters. Step 3 − Re-arrange the equations of Step2 in such a way that they should be similar to the equations of Step1. Step 4 − By equating the similar equations of Step1 and Step3, we will get the desired parameters in terms of given parameters. We can represent these parameters in matrix form. Z parameters to Y parameters : Here, we have to represent Y parameters in terms of Z parameters. So, in this case Y parameters are the desired parameters and Z parameters are the given parameters. Step 1 − We know that the following set of two equations, which represents a two port network in terms of Y parameters. I1=Y11V1+Y12V2 , I2=Y21V1+Y22V2
  • 42.
    We can representthe above two equations in matrix form as [I1I2]=[Y11Y21Y12Y22][V1V2]Equation 1 Step 2 − We know that the following set of two equations, which represents a two port network in terms of Z parameters. V1=Z11I1+Z12I2 , V2=Z21I1+Z22I2 We can represent the above two equations in matrix form as [V1V2]=[Z11 Z21 Z12 Z22][I1I2] Step 3 − We can modify it as [I1I2]=[Z11 Z21 Z12 Z22]−1[V1V2]Equation 2 Step 4 − By equating Equation 1 and Equation 2, we will get [Y11 Y21 Y12 Y22]=[Z11 Z21 Z12 Z22]−1 ⇒[Y11 Y21 Y12 Y22]=[Z22−Z21−Z12Z11]ΔZ Where, ΔZ=Z11 Z22−Z12 Z21 So, just by doing the inverse of Z parameters matrix, we will get Y parameters matrix.
  • 43.
    Y parameters toZ parameters : Here, we have to represent Z parameters in terms of Y parameters. So, in this case Z parameters are the desired parameters and Y parameters are the given parameters. Step 1 − We know that, the following matrix equation of two port network regarding Z parameters as [V1V2]=[Z11Z21Z12Z22][I1I2]Equation 3 Step 2 − We know that, the following matrix equation of two port network regarding Y parameters as [I1I2]=[Y11Y21Y12Y22][V1V2] Step 3 − We can modify it as [V1V2]=[Y11Y21Y12Y22]−1[I1I2]Equation 4 Step 4 − By equating Equation 3 and Equation 4, we will get [Z11Z21Z12Z22]=[Y11Y21Y12Y22]−1 ⇒[Z11Z21Z12Z22]=[Y22−Y21−Y12Y11]ΔY Where, ΔY=Y11Y22−Y12Y21 So, just by doing the inverse of Y parameters matrix, we will get the Z parameters matrix.
  • 44.
    h-parameters to Zparameters: Here, we have to represent Z parameters in terms of h-parameters. So, in this case Z parameters are the desired parameters and h-parameters are the given parameters. Step 1 − We know that, the following set of two equations of two port network regarding Z parameters. V1=Z11/1+Z12I2 , V2=Z21/1+Z22I2 Step 2 − We know that, the following set of two equations of two-port network regarding h-parameters. V1=h11/1+h12V2 , I2=h21/1+h22V2 Step 3 − We can modify the above equation as ⇒I2−h21/1=h22V2 , ⇒V2=I2−h21/1h22 , ⇒V2=⟮−h21h22⟯/1+⟮1h22⟯I2 The above equation is in the form of V2=Z21/1+Z22I2. Here, Z21=−h21/h22 , Z22=1/h22
  • 45.
    Step 4 −Substitute V2 value in first equation of step 2. V1=h11/1+h21{⟮−h21h22⟯/1+⟮1h22⟯I2} ⇒V1=⟮h11h22−h12h21h22⟯/1+⟮h12h22⟯I2 The above equation is in the form of V1=Z11/1+Z12I2. Here, Z11=h11h22−h12h21h22 Z12=h12h22 Step 5 − Therefore, the Z parameters matrix is [Z11Z21Z12Z22]=⎡⎣h11h22−h12h21/h22 −h21/h22 h12/h22 1/h22⎤⎦ In this way, we can convert one set of parameters into other set of parameters.
  • 46.
    MEASURING INSTRUMENTS: • Typesof Basic Measuring Instruments • We can classify the basic measuring instruments into the following two types. • Voltmeters • Ammeters • Let us discuss about these two basic measuring instruments briefly. • Voltmeters : • As the name suggests, voltmeter is a measuring instrument which measures the voltage across any two points of an electric circuit. The units of voltage are volt and the measuring instrument is meter. Hence, the word “voltmeter” is obtained by combining the two words “volt” and “meter”. • We can classify the voltmeters into the following two types based on the type of voltage that it can measure. • DC Voltmeters • AC Voltmeters • DC Voltmeter:
  • 47.
    DC voltmeter isa measuring instrument, which is used to measure the DC voltage across any two points of electric circuit. If we place a resistor in series with the Permanent Magnet Moving Coil (PMMC) galvanometer, then the entire combination together acts as DC voltmeter.The series resistance, which is used in DC voltmeter is also called series multiplier resistance or simply, multiplier. It basically limits the amount of current that flows through galvanometer in order to prevent the meter current from exceeding the full scale deflection value. The circuit diagram of DC voltmeter is shown in below figure. Circuit Diagram Of DC voltmeter
  • 48.
    We have toplace this DC voltmeter across the two points of an electric circuit, where the DC voltage is to be measured.Apply KVL around the loop of above circuit. V−ImRse−ImRm=0 (Equation 1)⇒V−ImRm=ImRse⇒Rse=V−ImRmIm ⇒Rse=VIm−Rm (Equation 2) Where, Rse is the series multiplier resistance V is the full range DC voltage that is to be measured Im is the full scale deflection current Rm is the internal resistance of galvanometer The ratio of full range DC voltage that is to be measured, V and the DC voltage drop across the galvanometer, Vm is known as multiplying factor, m. Mathematically, it can be represented as m=VVm (Equation 3) From Equation 1, we will get the following equation for full range DC voltage that is to be measured, V. V=ImRse+ImRm (Equation 4) The DC voltage drop across the galvanometer, Vm is the product of full scale deflection current, Im and internal resistance of galvanometer, Rm. Mathematically, it can be written as Vm=ImRm (Equation 5)
  • 49.
    Substitute, Equation 4and Equation 5 in Equation 3. m=ImRse+ImRmImRm ⇒m=RseRm+1 ⇒m−1=RseRm hence Rse=Rm(m−1)(Equation 6) We can find the value of series multiplier resistance by using either Equation 2 or Equation 6 based on the available data. Multi Range DC Voltmeter: In previous section, we had discussed DC voltmeter, which is obtained by placing a multiplier resistor in series with the PMMC galvanometer. This DC voltmeter can be used to measure a particular range of DC voltages. If we want to use the DC voltmeter for measuring the DC voltages of multiple ranges, then we have to use multiple parallel multiplier resistors instead of single multiplier resistor and this entire combination of resistors is in series with the PMMC galvanometer. The circuit diagram of multi range DC voltmeter is shown in below figure.
  • 50.
    Multi Range DCVolmeter: We have to place this multi range DC voltmeter across the two points of an electric circuit, where the DC voltage of required range is to be measured. We can choose the desired range of voltages by connecting the switch s to the respective multiplier resistor.
  • 51.
    Let, m1,m2,m2 andm4 are the multiplying factors of DC voltmeter when we consider the full range DC voltages to be measured as, V1,V2,V3 and V4 respectively. Following are the formulae corresponding to each multiplying factor. m1=V1Vm , m2=V2Vm , m3=V3Vm , m4=V4Vm In above circuit, there are four series multiplier resistors, Rse1,Rse2,Rse3 and Rse4. Following are the formulae corresponding to these four resistors. Rse1=Rm(m1−1) , Rse2=Rm(m2−1) , Rse3=Rm(m3−1) , Rse4=Rm(m4−1) So, we can find the resistance values of each series multiplier resistor by using above formulae. AC Voltmeters: The instrument, which is used to measure the AC voltage across any two points of electric circuit is called AC voltmeter. If the AC voltmeter consists of rectifier, then it is said to be rectifier based AC voltmeter.
  • 52.
    The DC voltmetermeasures only DC voltages. If we want to use it for measuring AC voltages, then we have to follow these two steps. Step1 − Convert the AC voltage signal into a DC voltage signal by using a rectifier.Step2 − Measure the DC or average value of the rectifier’s output signal.We get Rectifier based AC voltmeter, just by including the rectifier circuit to the basic DC voltmeter. This chapter deals about rectifier based AC voltmeters.Types of Rectifier based AC Voltmeters Following are the two types of rectifier based AC voltmeters. AC voltmeter using Half Wave Rectifier AC voltmeter using Full Wave Rectifier Now, let us discuss about these two AC voltmeters one by one.AC Voltmeter using Half Wave Rectifier. If a Half wave rectifier is connected ahead of DC voltmeter, then that entire combination together is called AC voltmeter using Half wave rectifier. The block diagram of AC voltmeter using Half wave rectifier is shown in below figure.
  • 53.
    AC Voltmeter UsingHalf Wave Rectifier: The above block diagram consists of two blocks: half wave rectifier and DC voltmeter. We will get the corresponding circuit diagram, just by replacing each block with the respective component(s) in above block diagram. So, the circuit diagram of AC voltmeter using Half wave rectifier will look like as shown in below figure.
  • 54.
    The rms valueof sinusoidal (AC) input voltage signal is Vrms=Vm2–√ ⇒Vm=2–√Vrms ⇒Vm=1.414Vrms Where, Vm is the maximum value of sinusoidal (AC) input voltage signal.The DC or average value of the Half wave rectifier’s output signal is Vdc=Vm/π . Substitute, the value of Vm in above equation. Vdc=1.414Vrms/π
  • 55.
    Vdc=0.45Vrms Therefore, the ACvoltmeter produces an output voltage, which is equal to 0.45 times the rms value of the sinusoidal (AC) input voltage signal AC Voltmeter using Full Wave Rectifier: If a Full wave rectifier is connected ahead of DC voltmeter, then that entire combination together is called AC voltmeter using Full wave rectifier. The block diagram of AC voltmeter using Full wave rectifier is shown in below figure
  • 56.
    The above blockdiagram consists of two blocks: full wave rectifier and DC voltmeter. We will get the corresponding circuit diagram just by replacing each block with the respective component(s) in above block diagram. So, the circuit diagram of AC voltmeter using Full wave rectifier will look like as shown in below figure.
  • 57.
    The rms valueof sinusoidal (AC) input voltage signal is Vrms=Vm2–√ ⇒Vm=2–√Vrms ⇒Vm=1.414Vrms Where, Vm is the maximum value of sinusoidal (AC) input voltage signal. The DC or average value of the Full wave rectifier’s output signal is Vdc=2Vm/π Substitute, the value of Vm in above equation Vdc=2×1.414Vrms/π Vdc=0.9Vrms.Therefore, the AC voltmeter produces an output voltage, which is equal to 0.9 times the rms value of the sinusoidal (AC) input voltage signal. Other AC Voltmeters: In previous chapter, we discussed about rectifier based AC voltmeters. This chapter covers the following two types of AC voltmeters. Peak responding AC voltmeter True RMS responding AC voltmeter Now, let us discuss about these two types of AC voltmeters one by one. Peak Responding AC Voltmeter
  • 58.
    As the namesuggests, the peak responding AC voltmeter responds to peak values of AC voltage signal. That means, this voltmeter measures peak values of AC voltages. The circuit diagram of peak responding AC voltmeter is shown below − The above circuit consists of a diode, capacitor, DC amplifier and PMMC galvanometer. The diode present in the above circuit is used for rectification purpose. So, the diode converts AC voltage signal into a DC voltage signal. The capacitor charges to the peak value of this DC voltage signal. During positive half cycle of AC voltage signal, the diode conducts and the capacitor charges to the peak value of AC voltage signal. When the value of AC voltage signal is less than this value, the diode will be reverse biased.
  • 59.
    Thus, the capacitorwill discharge through resistor of DC amplifier till the next positive half cycle of AC voltage signal. When the value of AC voltage signal is greater than the capacitor voltage, the diode conducts and the process will be repeated.We should select the component values in such a way that the capacitor charges fast and discharges slowly. As a result, the meter always responds to this capacitor voltage, i.e. the peak value of AC voltage. True RMS Responding AC Voltmeter. As the name suggests, the true RMS responding AC voltmeter responds to the true RMS values of AC voltage signal. This voltmeter measures RMS values of AC voltages. The circuit diagram of true RMS responding AC voltmeter is shown in below figure. The below circuit consists of an AC amplifier, two thermocouples, DC amplifier and PMMC galvanometer. AC amplifier amplifies the AC voltage signal. Two thermocouples that are used in above circuit are a measuring thermocouple and a balancing thermocouple. Measuring thermocouple produces an output voltage, which is proportional to RMS value of the AC voltage signal.
  • 60.
    Any thermocouple convertsa square of input quantity into a normal quantity. This means there exists a non-linear relationship between the output and input of a thermocouple. The effect of non-linear behavior of a thermocouple can be neglected by using another thermocouple in the feedback circuit. The thermocouple that is used for this purpose in above circuit is known as balancing thermocouple.
  • 61.
    DC Ammeters: Currentis the rate of flow of electric charge. If this electric charge flows only in one direction, then the resultant current is called Direct Current (DC). The instrument, which is used to measure the Direct Current called DC ammeter.If we place a resistor in parallel with the Permanent Magnet Moving Coil (PMMC) galvanometer, then the entire combination acts as DC ammeter. The parallel resistance, which is used in DC ammeter is also called shunt resistance or simply, shunt. The value of this resistance should be considered small in order to measure the DC current of large value. The circuit diagram of DC ammeter is shown in below figure.
  • 62.
    We have toplace this DC ammeter in series with the branch of an electric circuit, where the DC current is to be measured. The voltage across the elements, which are connected in parallel is same. So, the voltage across shunt resistor, Rsh and the voltage across galvanometer resistance, Rm is same, since those two elements are connected in parallel in above circuit. Mathematically, it can be written as IshRsh=ImRm ⇒Rsh=ImRmIsh (Equation 1) The KCL equation at node 1 is −I+Ish+Im=0 ⇒Ish=I−Im Substitute the value of Ish in Equation 1.Rsh=ImRmI−Im(Equation 2) Take, Im as common in the denominator term, which is present in the right hand side of Equation 2 Rsh=ImRmIm(1Im−1) ⇒Rsh=RmIIm−1(Equation 3) Where, Rsh is the shunt resistance Rm is the internal resistance of galvanometer I is the total Direct Current that is to be measured Im is the full scale deflection current.The ratio of total Direct Current that is to be measured, I and the full scale deflection current of the galvanometer,
  • 63.
    The ratio oftotal Direct Current that is to be measured, I and the full scale deflection current of the galvanometer, Im is known as multiplying factor, m. Mathematically, it can be represented as m=IIm(Equation 4) Rsh=Rmm−1(Equation 5) We can find the value of shunt resistance by using either Equation 2 or Equation 5 based on the available data. Multi Range DC Ammeter: In previous section, we discussed about DC ammeter which is obtained by placing a resistor in parallel with the PMMC galvanometer. This DC ammeter can be used to measure a particular range of Direct Currents. If we want to use the DC ammeter for measuring the Direct Currents of multiple ranges, then we have to use multiple parallel resistors instead of single resistor and this entire combination of resistors is in parallel to the PMMC galvanometer. The circuit diagram of multi range DC ammeter is shown in below figure.
  • 64.
    Place this multirange DC ammeter in series with the branch of an electric circuit, where the Direct Current of required range is to be measured. The desired range of currents is chosen by connecting the switch, s to the respective shunt resistor. Let, m1,m2,m3 and m4 are the multiplying factors of DC ammeter when we consider the total Direct Currents to be measured as, I1,I2,I3 and I4 respectively. Following are the formulae corresponding to each multiplying factor.
  • 65.
    m1=I1Im , m2=I2Im, m3=I3Im , m4=I4Im In above circuit, there are four shunt resistors, Rsh1,Rsh2,Rsh2 and Rsh4. Following are the formulae corresponding to these four resistors. Rsh1=Rmm1−1 , Rsh2=Rmm2−1 , Rsh3=Rmm3−1 , Rsh4=Rmm4−1 The above formulae will help us find the resistance values of each shunt resistor. AC Ammeter: Current is the rate of flow of electric charge. If the direction of this electric charge changes regularly, then the resultant current is called Alternating Current (AC).The instrument, which is used to measure the Alternating Current that flows through any branch of electric circuit is called AC ammeter. Example − Thermocouple type AC ammeter.Now, let us discuss about Thermocouple type AC ammeter.
  • 66.
    Thermocouple Type ACAmmeter: If a Thermocouple is connected ahead of PMMC galvanometer, then that entire combination is called thermocouple type AC ammeter. The block diagram of thermocouple type AC ammeter is shown in below figure. The above block diagram consists of mainly two blocks: a thermocouple, and a PMMC galvanometer. We will get the corresponding circuit diagram, just by replacing each block with the respective component(s) in above block diagram. So, the circuit diagram of thermocouple type AC ammeter will look like as shown in below figure.
  • 67.
    Thermocouple generates anEMF, e, whenever the Alternating Current, I flows through heater element. This EMF, e is directly proportional to the rms value of the current, I that is flowing through heater element. So, we have to calibrate the scale of PMMC instrument to read rms values of current. So, with this chapter we have completed all basic measuring instruments such as DC voltmeters, AC voltmeters, DC ammeters and AC ammeters. In next chapter, let us discuss about the meters or measuring instruments, which measure resistance value.
  • 68.
    OHM Meters: The instrument,which is used to measure the value of resistance between any two points in an electric circuit is called ohmmeter. It can also be used to find the value of an unknown resistor. The units of resistance are ohm and the measuring instrument is meter. So, the word “ohmmeter” is obtained by combining the words “ohm” and “meter”. Types of Ohmmeters: Following are the two types of ohmmeters. Series Ohmmeter , Shunt Ohmmeter Now, let us discuss about these two types of ohmmeters one by one. Series Ohmmeter: If the resistor’s value is unknown and has to be measured by placing it in series with the ohmmeter, then that ohmmeter is called series ohmmeter. The circuit diagram of series ohmmeter is shown in below figure.
  • 69.
    The part ofthe circuit, which is left side of the terminals A & B is series ohmmeter. So, we can measure the value of unknown resistance by placing it to the right side of terminals A & B. Now, let us discuss about the calibration scale of series ohmmeter.If Rx=0Ω, then the terminals A & B will be short circuited with each other. So, the meter current gets divided between the resistors, R1 and R2. Now, vary the value of resistor, R2 in such a way that the entire meter current flows through the resistor, R1 only. In this case, the meter shows full scale deflection current. Hence, this full scale deflection current of the meter can be represented as 0Ω.
  • 70.
    If Rx=∞Ω, thenthe terminals A & B will be open circuited with each other. So, no current flows through resistor, R1. In this case, the meter shows null deflection current. Hence, this null deflection of the meter can be represented as ∞Ω.In this way, by considering different values of Rx, the meter shows different deflections. So, accordingly we can represent those deflections with the corresponding resistance value.The series ohmmeter consists of a calibration scale. It has the indications of 0 Ω and ∞Ω at the end points of right hand and left hand of the scale respectively. Series ohmmeter is useful for measuring high values of resistances. Shunt Ohmmeter: If the resistor’s value is unknown and to be measured by placing it in parallel (shunt) with the ohmmeter, then that ohmmeter is called shunt ohmmeter. The circuit diagram of shunt ohmmeter is shown in below figure.
  • 71.
    The part ofthe circuit, which is left side of the terminals A & B is shunt ohmmeter. So, we can measure the value of unknown resistance by placing it to the right side of terminals A & B.Now, let us discuss about the calibration scale of shunt ohmmeter. Close the switch, S of above circuit while it is in use. If Rx=0Ω, then the terminals A & B will be short circuited with each other. Due to this, the entire current, I1 flows through the terminals A & B. In this case, no current flows through PMMC galvanometer. Hence, the null deflection of the PMMC galvanometer can be represented as 0Ω.
  • 72.
    If Rx=∞Ω, thenthe terminals A & B will be open circuited with each other. So, no current flows through the terminals A & B. In this case, the entire current, I1 flows through PMMC galvanometer. If required vary (adjust) the value of resistor, R1 until the PMMC galvanometer shows full scale deflection current. Hence, this full scale deflection current of the PMMC galvanometer can be represented as ∞Ω In this way, by considering different values of Rx, the meter shows different deflections. So, accordingly we can represent those deflections with the corresponding resistance values. The shunt ohmmeter consists of a calibration scale. It has the indications of 0Ω and ∞Ω at the end points of left hand and right hand of the scale respectively. Shunt ohmmeter is useful for measuring low values of resistances. So, we can use either series ohmmeter or shunt ohmmeter based on the values of resistances that are to be measured i.e., high or low.
  • 73.
    MultiMeter: Suppose, if asingle measuring instrument can be used to measure the quantities such as voltage, current & resistance one at a time, then it is said to be multimeter. It has got the name multimeter, since it can measure multiple electrical quantities one at a time. Measurements by using Multimeter: Multimeter is an instrument used to measure DC & AC voltages, DC & AC currents and resistances of several ranges. It is also called Electronic Multimeter or Voltage Ohm Meter (VOM). DC voltage Measurement : The part of the circuit diagram of Multimeter, which can be used to measure DC voltage is shown in below figure.
  • 74.
    The above circuitlooks like a multi range DC voltmeter. The combination of a resistor in series with PMMC galvanometer is a DC voltmeter. So, it can be used to measure DC voltages up to certain value.We can increase the range of DC voltages that can be measured with the same DC voltmeter by increasing the resistance value. the equivalent resistance value increases, when we connect the resistors are in series.In above circuit, we can measure the DC voltages up to 2.5V by using the combination of resistor, R5 in series with PMMC galvanometer. By connecting a resistor, R4 in series with the previous circuit, we can measure the DC voltages up to 10V. In this way, we can increase the range of DC voltages, simply by connecting a resistor in series with the previous (earlier) circuit.We can measure the DC voltage across any two points of an electric circuit, by connecting the switch, S to the desired voltage range.
  • 75.
    DC Current Measurement:The part of the circuit diagram of Multimeter, which can be used to measure DC current is shown in below figure.
  • 76.
    The above circuitlooks like a multi range DC ammeter. the combination of a resistor in parallel with PMMC galvanometer is a DC ammeter. So, it can be used to measure DC currents up to certain value.We can get different ranges of DC currents measured with the same DC ammeter by placing the resistors in parallel with previous resistor. In above circuit, the resistor, R1 is connected in series with the PMMC galvanometer in order to prevent the meter gets damaged due to large current.We can measure the DC current that is flowing through any two points of an electric circuit, by connecting the switch, S to the desired current range AC voltage Measurement: The part of the circuit diagram of Multimeter, which can be used to measure AC voltage is shown in below figure.
  • 77.
    The above circuitlooks like a multi range AC voltmeter. We know that, we will get AC voltmeter just by placing rectifier in series (cascade) with DC voltmeter. The above circuit was created just by placing the diodes combination and resistor, R6 in between resistor, R5 and PMMC galvanometer. We can measure the AC voltage across any two points of an electric circuit, by connecting the switch, S to the desired voltage range. Note: For AC Current measurement rectifier circuit is used before the meter. Resistance Measurement: The part of the circuit diagram of Multimeter, which can be used to measure resistance is shown in below figure.
  • 78.
    We have todo the following two tasks before taking any measurement.ACShort circuit the instrument Vary the zero adjust control until the meter shows full scale current. That means, meter indicates zero resistance value. Now, the above circuit behaves as shunt ohmmeter and has the scale multiplication of 1, i.e. 100. We can also consider higher order powers of 10 as the scale multiplications for measuring high resistances.
  • 79.
    Basics of Oscilloscopes: Oscilloscopeis an electronic equipment, which displays a voltage waveform. Among the oscilloscopes, Cathode Ray Oscilloscope (CRO) is the basic one and it displays a time varying signal or waveform. In this chapter, let us discuss about the block diagram of CRO and measurements of some parameters by using CRO. Block Diagram of CRO : Cathode Ray Oscilloscope (CRO) consists a set of blocks. Those are vertical amplifier, delay line, trigger circuit, time base generator, horizontal amplifier, Cathode Ray Tube (CRT) & power supply. The block diagram of CRO is shown in below figure.
  • 81.
    The function ofeach block of CRO is mentioned below.: Vertical Amplifier − It amplifies the input signal, which is to be displayed on the screen of CRT. Delay Line − It provides some amount of delay to the signal, which is obtained at the output of vertical amplifier. This delayed signal is then applied to vertical deflection plates of CRT. Trigger Circuit − It produces a triggering signal in order to synchronize both horizontal and vertical deflections of electron beam. Time base Generator − It produces a sawtooth signal, which is useful for horizontal deflection of electron beam. Horizontal Amplifier − It amplifies the sawtooth signal and then connects it to the horizontal deflection plates of CRT. Power supply − It produces both high and low voltages. The negative high voltage and positive low voltage are applied to CRT and other circuits respectively.
  • 82.
    Cathode Ray Tube(CRT) − It is the major important block of CRO and mainly consists of four parts. Those are electron gun, vertical deflection plates, horizontal deflection plates and fluorescent screen. The electron beam, which is produced by an electron gun gets deflected in both vertical and horizontal directions by a pair of vertical deflection plates and a pair of horizontal deflection plates respectively. Finally, the deflected beam will appear as a spot on the fluorescent screen. In this way, CRO will display the applied input signal on the screen of CRT. So, we can analyse the signals in time domain by using CRO Measurements by using CRO: We can do the following measurements by using CRO. Measurement of Amplitude Measurement of Time Period Measurement of Frequency Now, let us discuss about these measurements one by one.
  • 83.
    Measurement of Amplitude: CRO displays the voltage signal as a function of time on its screen. The amplitude of that voltage signal is constant, but we can vary the number of divisions that cover the voltage signal in vertical direction by varying volt/division knob on the CRO panel. Therefore, we will get the amplitude of the signal, which is present on the screen of CRO by using following formula. A=j×nv Where, A is the amplitude j is the value of volt/division nv is the number of divisions that cover the signal in vertical direction. Measurement of Time Period : CRO displays the voltage signal as a function of time on its screen. The Time period of that periodic voltage signal is constant, but we can vary the number of divisions that cover one complete cycle of voltage signal in horizontal direction by varying time/division knob on the CRO panel.
  • 84.
    Therefore, we willget the Time period of the signal, which is present on the screen of CRO by using following formula. T=k×nh Where, T is the Time period j is the value of time/division nv is the number of divisions that cover one complete cycle of the periodic signal in horizontal direction. Measurement of Frequency : The frequency, f of a periodic signal is the reciprocal of time period, T. Mathematically, it can be represented as f=1T So, we can find the frequency, f of a periodic signal by following these two steps.
  • 85.
    Step1 − Findthe Time period of periodic signal Step2 − Take reciprocal of Time period of periodic signal, which is obtained in Step1 About special purpose oscilloscopes fallowing are the brief details. Cathode Ray Oscilloscope (CRO), which is a basic oscilloscope. We will get special purpose oscilloscopes just by including few additional blocks to the basic oscilloscope based on the requirement. Following are the special purpose oscilloscopes. Dual Beam Oscilloscope Dual Trace Oscilloscope Digital Storage Oscilloscope
  • 86.
    Lissajous Figures : Lissajousfigure is the pattern which is displayed on the screen, when sinusoidal signals are applied to both horizontal & vertical deflection plates of CRO. These patterns will vary based on the amplitudes, frequencies and phase differences of the sinusoidal signals, which are applied to both horizontal & vertical deflection plates of CRO. The following figure shows an example of Lissajous figure.
  • 87.
    The above Lissajousfigure is in elliptical shape and its major axis has some inclination angle with positive x-axis.Measurements using Lissajous Figures We can do the following two measurements from a Lissajous figure. Frequency of the sinusoidal signal Phase difference between two sinusoidal signals Now, let us discuss about these two measurements one by one. Measurement of Frequency: Lissajous figure will be displayed on the screen, when the sinusoidal signals are applied to both horizontal & vertical deflection plates of CRO. Hence, apply the sinusoidal signal, which has standard known frequency to the horizontal deflection plates of CRO. Similarly, apply the sinusoidal signal, whose frequency is unknown to the vertical deflection plates of CRO Let, fH and fV are the frequencies of sinusoidal signals, which are applied to the horizontal & vertical deflection plates of CRO respectively. The relationship between fH and fV can be mathematically represented as below.
  • 88.
    fVfH=nHnV From above relation,we will get the frequency of sinusoidal signal, which is applied to the vertical deflection plates of CRO as fV=(nHnV)fH(Equation 1)Where, nH is the number of horizontal tangencies , nV is the number of vertical tangencies.We can find the values of nH and nV from Lissajous figure. So, by substituting the values of nH, nV and fH in Equation 1, we will get the value of fV, i.e. the frequency of sinusoidal signal that is applied to the vertical deflection plates of CRO. Measurement of Phase Difference: A Lissajous figure is displayed on the screen when sinusoidal signals are applied to both horizontal & vertical deflection plates of CRO. Hence, apply the sinusoidal signals, which have same amplitude and frequency to both horizontal and vertical deflection plates of CRO.For few Lissajous figures based on their shape, we can directly tell the phase difference between the two sinusoidal signals.
  • 89.
    If the Lissajousfigure is a straight line with an inclination of 45∘ with positive x- axis, then the phase difference between the two sinusoidal signals will be 0∘. That means, there is no phase difference between those two sinusoidal signals.If the Lissajous figure is a straight line with an inclination of 135∘ with positive x-axis, then the phase difference between the two sinusoidal signals will be 180∘. That means, those two sinusoidal signals are out of phase. If the Lissajous figure is in circular shape, then the phase difference between the two sinusoidal signals will be 90∘ or 270∘. We can calculate the phase difference between the two sinusoidal signals by using formulae, when the Lissajous figures are of elliptical shape. If the major axis of an elliptical shape Lissajous figure having an inclination angle lies between 0∘ and 90∘ with positive x-axis, then the phase difference between the two sinusoidal signals will be. ϕ=sin−1(x1x2)=sin−1(y1y2)
  • 90.
    If the majoraxis of an elliptical shape Lissajous figure having an inclination angle lies between 90∘ and 180∘ with positive x-axis, then the phase difference between the two sinusoidal signals will be. ϕ=180−sin−1(x1x2)=180−sin−1(y1y2)Where, x1 is the distance from the origin to the point on x-axis, where the elliptical shape Lissajous figure intersects x2 is the distance from the origin to the vertical tangent of elliptical shape Lissajous figure y1 is the distance from the origin to the point on y-axis, where the elliptical shape Lissajous figure intersects y2 is the distance from the origin to the horizontal tangent of elliptical shape Lissajous figure In this chapter, welearnt how to find the frequency of unknown sinusoidal signal and the phase difference between two sinusoidal signals from Lissajous figures by using formulae.
  • 91.