BIOSYNTHESIS OF
METHIONINE
RANA SAHA
B.PHARM. - NSHM KNOWLEDGE CAMPUS, KOLKATA
INTRODUCTION:
L-methionine (Met) is one of the proteinogenic amino acids. In
addition to its role in protein biosynthesis, L-methionine is
required for a number of important cellular functions,
including the initiation of protein synthesis, the methylation of
DNA, rRNA and xenobiotics, and the biosynthesis of cysteine,
phospholipids and polyamines.
BIOSYNTHESIS :
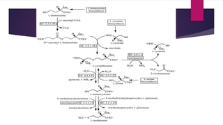
Some bacteria can synthesize methionine using organic sulfur through transsulfuration
of O-succinyl-L-homoserine with L-cysteine to form L-cystathionine. Cystathionine is
then cleaved to L-homocysteine, which is methylated to methionine . Plants use a
modification of this pathway, where O-phospho-L-homoserine, instead of O-succinyl-L-
homoserine, is the intermediate converting homoserine to cystathionine.
Other bacteria, as well as yeast and fungi, can use a different route in which they
directly assimilate inorganic sulfur by a sulfhydrylation . In that route hydrogen sulfide,
the final product of microbial sulfate reduction reacts with O-acetylated homoserine,
with replacement of the acetyl group by sulfide to form L-homocysteine, which is once
again methylated to methionine .
Most methanogenic archaea utilize yet a different pathway. While these organisms also
use hydrogen sulfide as the sulfur source, the other precursor for L-homocysteine
production is L-aspartate-semialdehyde, produced from L-aspartate .
Methylation of L-homocysteine is catalyzed by either a cobalamin-independent
enzyme ( EC 2.1.1.13) or a cobalamin-dependent enzyme ( EC 2.1.1.14), depending upon
the species or growth conditions.
While many organisms seem to contain both routes for methionine biosynthesis, in
Escherichia coli and other enteric bacteria only the transsulfuration pathway is used
complementation of known mutants; analysis of mutant phenotypes; and gene cloning,
expression, and enzyme activity assays. The presence of EC 2.5.1.49, O-
acetylhomoserine aminocarboxypropyltransferase was considered indicative of the
presence of a direct sulfhydrylation pathway. Note that all bacterial methionine
biosynthetic pathways involve acylated homoserine.
 Enzymes involved in the E. coli trans-sulfurylation route of methionine
biosynthesis:
 Aspartokinase
 Aspartate-semialdehyde dehydrogenase
 Homoserine dehydrogenase
 Homoserine O-transsuccinylase
 Cystathionine-γ-synthase
 Cystathionine-β-lyase
 Methionine synthase (in mammals, this step is performed by homocysteine
methyltransferase or betaine—homocysteine S-methyltransferase.)

BIOSYNTHESIS OF METHIONINE

  • 1.
    BIOSYNTHESIS OF METHIONINE RANA SAHA B.PHARM.- NSHM KNOWLEDGE CAMPUS, KOLKATA
  • 2.
    INTRODUCTION: L-methionine (Met) isone of the proteinogenic amino acids. In addition to its role in protein biosynthesis, L-methionine is required for a number of important cellular functions, including the initiation of protein synthesis, the methylation of DNA, rRNA and xenobiotics, and the biosynthesis of cysteine, phospholipids and polyamines.
  • 3.
    BIOSYNTHESIS : Some bacteriacan synthesize methionine using organic sulfur through transsulfuration of O-succinyl-L-homoserine with L-cysteine to form L-cystathionine. Cystathionine is then cleaved to L-homocysteine, which is methylated to methionine . Plants use a modification of this pathway, where O-phospho-L-homoserine, instead of O-succinyl-L- homoserine, is the intermediate converting homoserine to cystathionine. Other bacteria, as well as yeast and fungi, can use a different route in which they directly assimilate inorganic sulfur by a sulfhydrylation . In that route hydrogen sulfide, the final product of microbial sulfate reduction reacts with O-acetylated homoserine, with replacement of the acetyl group by sulfide to form L-homocysteine, which is once again methylated to methionine .
  • 4.
    Most methanogenic archaeautilize yet a different pathway. While these organisms also use hydrogen sulfide as the sulfur source, the other precursor for L-homocysteine production is L-aspartate-semialdehyde, produced from L-aspartate . Methylation of L-homocysteine is catalyzed by either a cobalamin-independent enzyme ( EC 2.1.1.13) or a cobalamin-dependent enzyme ( EC 2.1.1.14), depending upon the species or growth conditions. While many organisms seem to contain both routes for methionine biosynthesis, in Escherichia coli and other enteric bacteria only the transsulfuration pathway is used complementation of known mutants; analysis of mutant phenotypes; and gene cloning, expression, and enzyme activity assays. The presence of EC 2.5.1.49, O- acetylhomoserine aminocarboxypropyltransferase was considered indicative of the presence of a direct sulfhydrylation pathway. Note that all bacterial methionine biosynthetic pathways involve acylated homoserine.
  • 6.
     Enzymes involvedin the E. coli trans-sulfurylation route of methionine biosynthesis:  Aspartokinase  Aspartate-semialdehyde dehydrogenase  Homoserine dehydrogenase  Homoserine O-transsuccinylase  Cystathionine-γ-synthase  Cystathionine-β-lyase  Methionine synthase (in mammals, this step is performed by homocysteine methyltransferase or betaine—homocysteine S-methyltransferase.)