ขอสอบโควตามหาวิทยาลัยเชียงใหม วิชาคณิตศาสตร 1 เรื่องตรีโกณมิตและการประยุกต
                                                                   ิ
WWW.SUDIPAN.NET
ป 2537

1. ขอใดตอไปนี้ ผิด
    1. cos2( θ ) = 2 (1 + cos θ)
                2
                     1

    2. π − arcsin 2 = 0
       6
                  1

    3. cos ( π − α) = − sin α
             2
    4. sin α cos β = 2 [sin (α + β) + sin (α - β)]
                     1


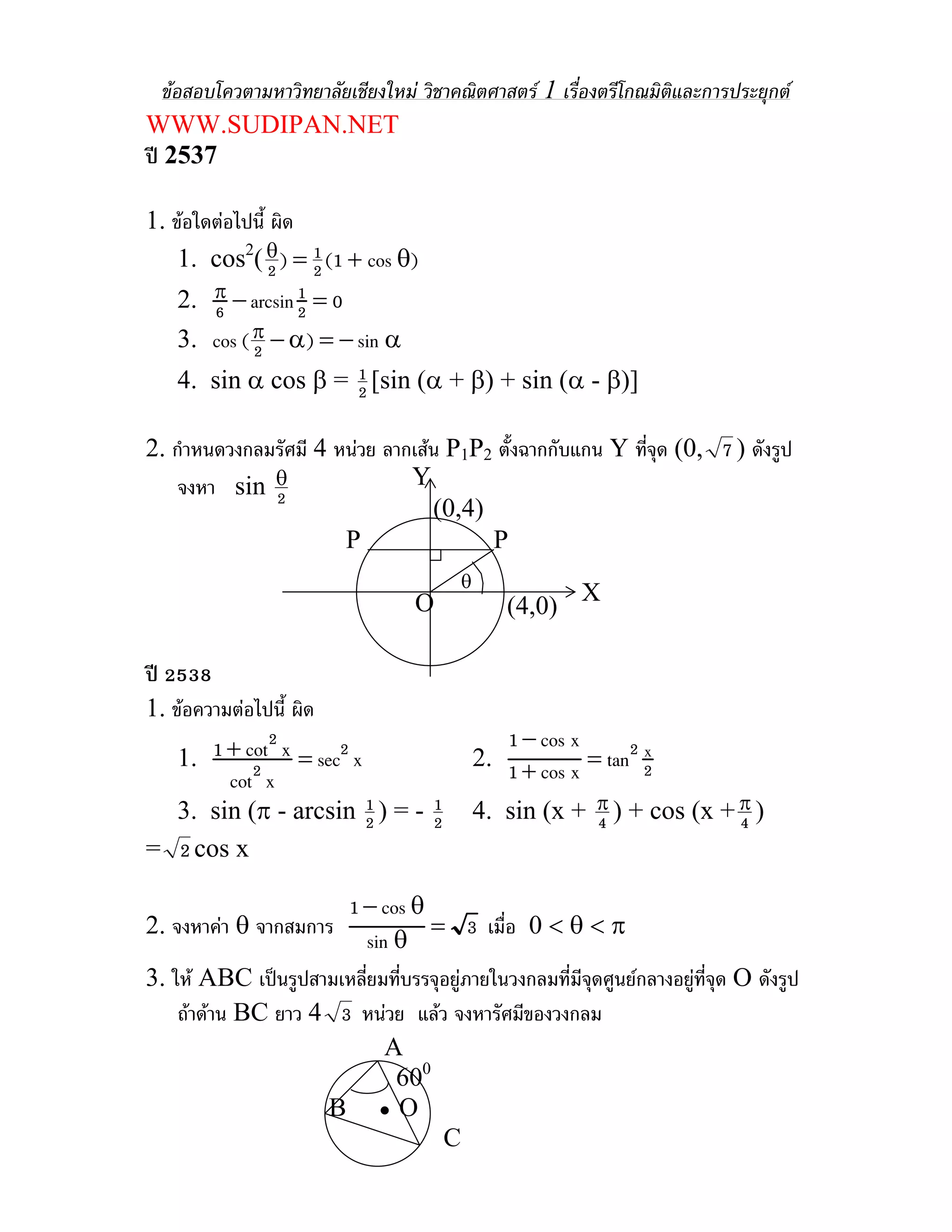
2. กําหนดวงกลมรัศมี 4 หนวย ลากเสน P1P2 ตั้งฉากกับแกน Y ทีจด (0, 7 ) ดังรูป
                                                           ุ่
   จงหา sin θ 2
                               Y
                                  (0,4)
                       P                P
                                        θ
                                  O                     X
                                                (4,0)

ป 2538
1. ขอความตอไปนี้ ผิด
      1 + cot2 x = sec2 x                      1 − cos x
  1.                                        2. 1 + cos x = tan2 2
                                                                x
        cot2 x
  3. sin (π - arcsin 2 ) = - 2
                          1  1              4. sin (x + π ) + cos (x + π )
                                                        4              4
= 2 cos x

                      1 − cos θ
2. จงหาคา θ จากสมการ            = 3 เมื่อ 0 < θ < π
                          sin θ
3. ให ABC เปนรูปสามเหลี่ยมทีบรรจุอยูภายในวงกลมที่มีจดศูนยกลางอยูที่จุด O ดังรูป
                              ่                        ุ
    ถาดาน BC ยาว 4 3 หนวย แลว จงหารัศมีของวงกลม
                             A
                              600
                    B •O
                                   C
ขอสอบโควตามหาวิทยาลัยเชียงใหม วิชาคณิตศาสตร 1 เรื่องตรีโกณมิติและการประยุกต www.sudipan.net
หนา 2

ป 2539

1. สามเหลี่ยมรูปหนึ่งมีฐานยาว 6 เซนติเมตร มุมที่ฐานมุมหนึ่งมีขนาดเปน 120 องศา
   ดานที่อยูตรงขามมุมที่ฐานที่กําหนดใหยาว 14 เซนติเมตร จงหาความยาวของดานที่เหลือ

                          π          π
2. จงหาคาของ arccot( cot 24 - cosec 12 )

3. คําตอบของสมการ sin θ - cot θ = 0 มีกี่คําตอบเมื่อ 0 ≤ θ ≤ π
   1. มากกวา 2 คําตอบ             2. เทากับ 2 คําตอบ
   3. เทากับ 1 คําตอบ             4. ไมมีคําตอบ

ป 2540

1. จงหาคาของ sin(arctan 2 + arcsec 10 )

2. จากรูปทีกําหนดให จงหาพื้นที่สวนที่แรเงา
           ่                     




ป 2541

1. รูปสามเหลี่ยมรูปหนึ่งมีมมหนึ่งกาง 30 องศา ดานประกอบมุมนี้ยาว 13 และ
                           ุ
    5 3 เซนติเมตร จงหาความยาวดานที่สาม

                   arcsin (2) − arcsin (−1)
                           1
2. จงหาคาของ
                         arccos ( − 2 3 )
ป 2542
1. รูป 12 เหลี่ยมดานเทาที่แนบในวงกลมรัศมียาว 6 หนวย มีพื้นที่กี่ตารางหนวย
ขอสอบโควตามหาวิทยาลัยเชียงใหม วิชาคณิตศาสตร 1 เรื่องตรีโกณมิติและการประยุกต www.sudipan.net
หนา 3

2. กําหนด sin θ = 3 เมื่อ π < θ < π แลว tan θ คือคาในขอใด
                  4       2                  2
        4+ 7             4− 7          −4 + 7          −4 − 7
    1.     3        2.     3       3.      3      4.        3

3. cos (2arctan (-3)) มีคาเทากับคาในขอใด
                         
   1. - 4
        5         2. - 3
                       5             3. 45                            4. 3
                                                                         5

ป 2543

1. กําหนดให A = { x | sin x – cos x < 0 } และ B = [0,2π]
   จงหาวา B ∩ A/ เปนเซตในขอใด
    1. [0, π ] ∪ [π, 3π ]
             2         2           2. [ π , 3π ]
                                        2 2
    3. [0, 5π ] ∩ [ π ,2π]
            4       4                           4. [ π , 5π ]
                                                     6 6

2. ถาวงรีวงหนึ่งมี BC เปนแกนเอกและ                                 A
   มีแกนโทยาว 2 หนวย แลว ระยะหาง                             60
                                                           3 0               4
   ระหวางจุด B (ในรูป ) กับจุดโฟกัส
   จุดที่ใกล B มากที่สุดเทากับคาในขอใด
    1. 32               2. 13 − 3 2                        B                              C
    3. 13 − 12 4. 37 − 33           2
3. arcsin (sin ( 3π ) ) + cos (arcsin (- 3 ) ) เทากับคาในขอใด
                  2                      5
         4 + 3π
   1. - 5 2             4 + 3π
                    2. 5 2              4−π
                                   3. - 5 2           4. 4 − π
                                                           5 2

4. ขอใด ผิด
    1. tan θ sin θ + cos θ = sec θ
2. tan2θ - sec2θ = cot2θ - csc2θ
    3. sin2θ = 2 − 2 cos 2θ
                1 1

    4. (1 – cos2θ) (1 – cot2θ) = 1
ขอสอบโควตามหาวิทยาลัยเชียงใหม วิชาคณิตศาสตร 1 เรื่องตรีโกณมิติและการประยุกต www.sudipan.net
หนา 4

ป 2544

1. ถา 0 < θ < π และ tan2θ - 4tan θ + 1 = 0 แลว sin 2θ จะมีคา
               4
เทากับขอใด
     1. 0.25     2. 0.50        3. 0.75       4. 1.00

2. คาของ cos⎡arcsin⎛ − 1 ⎞ − arccos 2 ⎤ เทากับขอใด
                    ⎜ ⎟
             ⎢
             ⎣      ⎝ 2⎠              5⎥
                                       ⎦
   1. 3 − 1           2. 3 + 1         3. − 1                         4. 1
           10                 10             10                          10

ป 2545

1. จงหาคาของ 3[sin4( 3π - A) + sin4(3π + A)] + 6 sin2( π + A)
                       2                                2
sin2(5π - A)


ป 2546

                                         1
1. รูปสามเหลี่ยม ABC มีมุม B = arccos (- 2 ) และ AD เปนเสนตั้งฉากกับสวน
ตอของ CB
    ที่จด D ถา BC ยาว 4 หนวย AD ยาว 3 3 หนวย และ AC ยาว x หนวย
        ุ
    จงหาคาของ x2

                             π           π
2. กําหนดให c = (3 - 4 sin2 12 )(4 cos2 12 - 3)
    เซตคําตอบของอสมการ cx2 - 12x + 5c < 0 เทากับขอใด
1. ∅                  2. (1,5)              3. (5,∞)              4. (-∞,∞)


ป 2547

1. จงหาคาของ sin [arctan (- 3 ) + arccos ( 3 )]
                             4              5
ขอสอบโควตามหาวิทยาลัยเชียงใหม วิชาคณิตศาสตร 1 เรื่องตรีโกณมิติและการประยุกต www.sudipan.net
หนา 5

2. สําหรับ 0 ≤ θ ≤ 2π ผลบวกของคําตอบทั้งหมดของสมการ cos 2θ = 3sin θ
+2
    เทากับขอใด
    1. 11 π
          3        2. 13 π
                       3          3. 7 π
                                       2          4. 9 π
                                                     2

3. ตนไมตนหนึ่งสูง 30 ฟุต ขึ้นอยูบนเนินดิน
          
   ถา ณ จุด A มุมเงยของโคนตนไมและ
   ยอดตนไมเปน 15° และ 60° ตามลําดับ
   แลว ระยะ AB เทากับเทาใด
                                                                                       30
   1. 10 3                                                                             ฟ
   2. 15 6
   3. 15 2
                                                                60°         •
   4. 15                                                                     B
                                                         A•      15°
ป 2548

1. ให A เปนผลบวกของคําตอบของสมการ sin2 6x + 8 sin2 3x = 0 เมื่อ 0 ≤
x ≤ 2π
    จงหา πA


2. จงหาคาของ sin (2arctan 3 ) + cos2 (arctan 3)
                           1


                     ΧΧΧΧΧΧΧΧΧΧΧΧΧΧΧΧΧΧΧΧΧΧΧΧΧ

Applied tri

  • 1.
    ขอสอบโควตามหาวิทยาลัยเชียงใหม วิชาคณิตศาสตร 1เรื่องตรีโกณมิตและการประยุกต ิ WWW.SUDIPAN.NET ป 2537 1. ขอใดตอไปนี้ ผิด 1. cos2( θ ) = 2 (1 + cos θ) 2 1 2. π − arcsin 2 = 0 6 1 3. cos ( π − α) = − sin α 2 4. sin α cos β = 2 [sin (α + β) + sin (α - β)] 1 2. กําหนดวงกลมรัศมี 4 หนวย ลากเสน P1P2 ตั้งฉากกับแกน Y ทีจด (0, 7 ) ดังรูป ุ่ จงหา sin θ 2 Y (0,4) P P θ O X (4,0) ป 2538 1. ขอความตอไปนี้ ผิด 1 + cot2 x = sec2 x 1 − cos x 1. 2. 1 + cos x = tan2 2 x cot2 x 3. sin (π - arcsin 2 ) = - 2 1 1 4. sin (x + π ) + cos (x + π ) 4 4 = 2 cos x 1 − cos θ 2. จงหาคา θ จากสมการ = 3 เมื่อ 0 < θ < π sin θ 3. ให ABC เปนรูปสามเหลี่ยมทีบรรจุอยูภายในวงกลมที่มีจดศูนยกลางอยูที่จุด O ดังรูป ่ ุ ถาดาน BC ยาว 4 3 หนวย แลว จงหารัศมีของวงกลม A 600 B •O C
  • 2.
    ขอสอบโควตามหาวิทยาลัยเชียงใหม วิชาคณิตศาสตร 1เรื่องตรีโกณมิติและการประยุกต www.sudipan.net หนา 2 ป 2539 1. สามเหลี่ยมรูปหนึ่งมีฐานยาว 6 เซนติเมตร มุมที่ฐานมุมหนึ่งมีขนาดเปน 120 องศา ดานที่อยูตรงขามมุมที่ฐานที่กําหนดใหยาว 14 เซนติเมตร จงหาความยาวของดานที่เหลือ π π 2. จงหาคาของ arccot( cot 24 - cosec 12 ) 3. คําตอบของสมการ sin θ - cot θ = 0 มีกี่คําตอบเมื่อ 0 ≤ θ ≤ π 1. มากกวา 2 คําตอบ 2. เทากับ 2 คําตอบ 3. เทากับ 1 คําตอบ 4. ไมมีคําตอบ ป 2540 1. จงหาคาของ sin(arctan 2 + arcsec 10 ) 2. จากรูปทีกําหนดให จงหาพื้นที่สวนที่แรเงา ่  ป 2541 1. รูปสามเหลี่ยมรูปหนึ่งมีมมหนึ่งกาง 30 องศา ดานประกอบมุมนี้ยาว 13 และ ุ 5 3 เซนติเมตร จงหาความยาวดานที่สาม arcsin (2) − arcsin (−1) 1 2. จงหาคาของ arccos ( − 2 3 )
  • 3.
    ป 2542 1. รูป12 เหลี่ยมดานเทาที่แนบในวงกลมรัศมียาว 6 หนวย มีพื้นที่กี่ตารางหนวย ขอสอบโควตามหาวิทยาลัยเชียงใหม วิชาคณิตศาสตร 1 เรื่องตรีโกณมิติและการประยุกต www.sudipan.net หนา 3 2. กําหนด sin θ = 3 เมื่อ π < θ < π แลว tan θ คือคาในขอใด 4 2 2 4+ 7 4− 7 −4 + 7 −4 − 7 1. 3 2. 3 3. 3 4. 3 3. cos (2arctan (-3)) มีคาเทากับคาในขอใด  1. - 4 5 2. - 3 5 3. 45 4. 3 5 ป 2543 1. กําหนดให A = { x | sin x – cos x < 0 } และ B = [0,2π] จงหาวา B ∩ A/ เปนเซตในขอใด 1. [0, π ] ∪ [π, 3π ] 2 2 2. [ π , 3π ] 2 2 3. [0, 5π ] ∩ [ π ,2π] 4 4 4. [ π , 5π ] 6 6 2. ถาวงรีวงหนึ่งมี BC เปนแกนเอกและ A มีแกนโทยาว 2 หนวย แลว ระยะหาง 60 3 0 4 ระหวางจุด B (ในรูป ) กับจุดโฟกัส จุดที่ใกล B มากที่สุดเทากับคาในขอใด 1. 32 2. 13 − 3 2 B C 3. 13 − 12 4. 37 − 33 2 3. arcsin (sin ( 3π ) ) + cos (arcsin (- 3 ) ) เทากับคาในขอใด 2 5 4 + 3π 1. - 5 2 4 + 3π 2. 5 2 4−π 3. - 5 2 4. 4 − π 5 2 4. ขอใด ผิด 1. tan θ sin θ + cos θ = sec θ
  • 4.
    2. tan2θ -sec2θ = cot2θ - csc2θ 3. sin2θ = 2 − 2 cos 2θ 1 1 4. (1 – cos2θ) (1 – cot2θ) = 1 ขอสอบโควตามหาวิทยาลัยเชียงใหม วิชาคณิตศาสตร 1 เรื่องตรีโกณมิติและการประยุกต www.sudipan.net หนา 4 ป 2544 1. ถา 0 < θ < π และ tan2θ - 4tan θ + 1 = 0 แลว sin 2θ จะมีคา 4 เทากับขอใด 1. 0.25 2. 0.50 3. 0.75 4. 1.00 2. คาของ cos⎡arcsin⎛ − 1 ⎞ − arccos 2 ⎤ เทากับขอใด ⎜ ⎟ ⎢ ⎣ ⎝ 2⎠ 5⎥ ⎦ 1. 3 − 1 2. 3 + 1 3. − 1 4. 1 10 10 10 10 ป 2545 1. จงหาคาของ 3[sin4( 3π - A) + sin4(3π + A)] + 6 sin2( π + A) 2 2 sin2(5π - A) ป 2546 1 1. รูปสามเหลี่ยม ABC มีมุม B = arccos (- 2 ) และ AD เปนเสนตั้งฉากกับสวน ตอของ CB ที่จด D ถา BC ยาว 4 หนวย AD ยาว 3 3 หนวย และ AC ยาว x หนวย ุ จงหาคาของ x2 π π 2. กําหนดให c = (3 - 4 sin2 12 )(4 cos2 12 - 3) เซตคําตอบของอสมการ cx2 - 12x + 5c < 0 เทากับขอใด
  • 5.
    1. ∅ 2. (1,5) 3. (5,∞) 4. (-∞,∞) ป 2547 1. จงหาคาของ sin [arctan (- 3 ) + arccos ( 3 )] 4 5 ขอสอบโควตามหาวิทยาลัยเชียงใหม วิชาคณิตศาสตร 1 เรื่องตรีโกณมิติและการประยุกต www.sudipan.net หนา 5 2. สําหรับ 0 ≤ θ ≤ 2π ผลบวกของคําตอบทั้งหมดของสมการ cos 2θ = 3sin θ +2 เทากับขอใด 1. 11 π 3 2. 13 π 3 3. 7 π 2 4. 9 π 2 3. ตนไมตนหนึ่งสูง 30 ฟุต ขึ้นอยูบนเนินดิน  ถา ณ จุด A มุมเงยของโคนตนไมและ ยอดตนไมเปน 15° และ 60° ตามลําดับ แลว ระยะ AB เทากับเทาใด 30 1. 10 3 ฟ 2. 15 6 3. 15 2 60° • 4. 15 B A• 15° ป 2548 1. ให A เปนผลบวกของคําตอบของสมการ sin2 6x + 8 sin2 3x = 0 เมื่อ 0 ≤ x ≤ 2π จงหา πA 2. จงหาคาของ sin (2arctan 3 ) + cos2 (arctan 3) 1 ΧΧΧΧΧΧΧΧΧΧΧΧΧΧΧΧΧΧΧΧΧΧΧΧΧ