Rencana Pelaksanaan Pembelajaran (RPP) 
ANALISIS VARIANS 
D 
I 
S 
U 
S 
U 
N 
Oleh: 
Nama : Ida Ayu Siahaan 
NPM : 12150011 
Mata kuliah ;Statistika 
Prodi : Pendidikan Matematika 
Dosen Pengasuh : Drs. Hotman Simbolon, MS 
FAKULTAS KEGURUAN DAN ILMU PENDIDIKAN 
UNIVERSITAS HKBP NOMMENSEN 
PEMATANGSIANTAR
 Pengertian analisis Varians 
Suatu teknik untuk menguji kesamaam beberapa rata-rata 
adalah analisis varians. Andaikan ada K perlakuan A1, 
A2,…, Ai,…, Ak yang masing-masing dengan sampel yang 
berbeda-beda dengan berturut-turut dengan ukuran atau 
banyak pengamatan n1, n2,…, ni,…,nk maka hipotesis untuk 
uji kesamaan rata adalah 
Ho: N1=N2=N3=…=Ni= …=Nk 
Ha : Paling sedikit dua N tidak sama atau cara penulisannya 
lain : 
ij,Ni  Nj, i  j, i, j 1,...,k
Analisis Varians tidak hanya digunakan dalam satu jenis 
atau factor perlakuan ,tetapi dapat lebih darisatu factor 
yang masing-masing factor terdiri dari beberapa 
perlakuan. Bila perlakuan terdiri dari satu factor maka 
disebut klasiikasi eka arah dan apabila terdiri dari dua 
factor disebut klasifikasi dwi arah
Dalam analisis varins menyangkut varians dalam 
masing-masing perlakuan , varians antar perlakuan, dan 
mungkin juga varians interaksi antar perlakuan dari factor 
yang satu dengan perlakuan dalam factor yang lain. 
Sistem pengujian ntuk klasifikasi eka arah dapat digunakan 
menjadi analogi kepada system pengujian untuk dwi arah 
atauanalisis varians lannya.
Pada umumnya yang menjadi statistika uji adalah uji F 
yang di hitung dari perbandingan antar varians yakni 
varians antar perlakuan ataupun interaksi terhadap varians 
galat. 
Sistem pengujian untuk klasifikasi eka arah dapat di 
gunakan menjadi analogi kepada sistem pengujian untuk 
dwi arah atau analisis varians lainnya
 Klasifikasi EKA ARAH 
Tabel pengamatan K sampel acak 
Pelakuan A1 A2 ….. Ai ….. Ak  
Penagamatan X11 X21 ….. Xi1 ….. Xk1 ….. 
X12 X22 ….. Xi2 ….. Xk2 
….. ….. ….. ….. ….. ….. 
X1j X2j ….. Xij ….. Xkj 
….. ….. ….. ….. ….. ….. 
X1n X2n ….. Xin ….. Xkn 
Total R1 R2 ….. Ri ….. Rk R…. 
Rataan x 1 x 2 ….. x i ….. x k x … 
Populasi N1 N2 ….. Ni ….. Nk N….
Masing-masing perlakuan terdiri dari N Pengamatan , 
sehingga semua pengamatan N=nk 
Jika penyimpangan pengamatan ke j pada perlakuan ke i 
disimbolkan dengan ij dan penyimpangan populasi 
perlakuan ke i dari rataan umum ( grad mean = N =ΣNi/k ) 
adalah i  maka pengamatan dapat ditulis ; 
Xij =Ni+ij dan Ni=N+ i  atau Xij= N+ i  +ij dengan 
kendala Σ i=0 dipenuhi karena  i=adalah efek atau 
pengeruh perlakuan ke i maka hipotesis dapat ditulis 
menjadi :
H0:  1= 2.....= i……= k=0 
Ha: Paling sedikit satu  i tidak sama dengan 0 atau 
penulisan lain 
i,  i  0 
Varians masing-masing perlakuan adalah s2 
1 , s2 
2 ,…., si 
2 ,….,sk 
2 
dimana 
1 = 
s2 
  
  
 
Xij xi 
1 
1 
2 
 
n 
n 
j
sedangkan rataan K varians adalah 
  
Xij Xi 
( ) 
( 1) 
Xij  
Xi 
( 1) 
1 1 
2 
1 1 
2 
1 
2 
1 
 
 
 
 
 
 
   
k 
 k n 
k n 
   k 
i 
n 
j 
k 
i 
n 
j 
k 
i 
s 
dinamakan varians dalam perlakuan 
k 
   
i 
  
n 
j 
Xij Xi 
1 1 
2 ( ) Jumlah kuadrat dalam perlakuan disingkat JKD 
ataupun JKG (jumlah 
kuadrat galat) sehingga dapat ditulis :
Merupakan salah satu suatu taksiran tak bias untuk 
2 .selajutnya telah di ketahui bahwa 
n 
x 
 
  atau 2 =n 2 
x  
Sedangkan 2 
x  di duga dengan S 2 
x  
 
x x 
 
 
k 
j 
i 
k 
1 1 
sehingga 
 dinamakan varians antar perlakuan =S 2 
 
 
 
 
 
 
 
 
x  
x 
 
 
k 
i 
i 
k 
n 
1 
2 
1 
1 n 
k n 
  
i x x  
i 
 
 
1 
= jumlah kuadrat antar perlakuan dapat S 2 
1 = 
JKA 
K 1 
Uji F di cari dengan f = 
ians antar perlakuan 
var 
ians dalam perlakuan 
var
2 
1 
S 
S = 
F= 2 
JKA /( K  
1) 
adalah peubah acak f dengan derajat 
   
1 
JKG K N 
kebebasan(K-1) jadi HO ditolak jika 
Fh it > Fa : (k-1) Vs k(n-1) 
Uji kebebasa klasifikasi ke arah 
a H : ....... ........ 0 1 2 3        i k      
Ha paling sedikit satu i  tidak sama dengan nol atau 
penulisan lain 
  i i, 0
Tabel Aalisis Varians untu klasifikasi Eka arah 
Sumber 
Derajat 
Jumlah 
Rataan 
Variansi 
Kebebasan 
kwadrat 
Kuadrat 
F Hit Ho Tolak 
Bila F 
Hit 
Perlakuan K-1 JKA 
2 
1 
S 
S >f k- 
2 
1,k(n-1) 
Galat K(n-1) JKG 
JKA 
JKG 
k(n 1) 
Σ Kn-1 JKT 
1 
2 
 
1 K 
 
s
Teori Identitas jumlah kuadrat 
JKT=JKA+JKG 
Bukti: 
n 
JKT=  
j 1 
k 
 
i  
1 
n 
( X ij - x ....) 2= 
j 1 
k 
 
i  
1 
 
     
 
 
   
2 
..... _ i ij i x x x x 
n 
= 
j  
1 
k 
 
i  
1 
( X - x ....) 2+2 ( x  x.......  x  x    x  x    2 
x  x 
ij ij 1 ij 1 ij i n 
= 
j 1 
 
k 
 
i 1 
 
n 
( X ij - x ....) 2 +2 
j 1 
 
k 
 
i 1 
 
    i ij i x  x ..... _ x  x
n 
+ 
j  
1 
k 
 
 
i 1 
( X ij - x ....) 2 ,suku ke dua =0 (buktikan) 
n 
= 
j  
1 
k 
 
i 1 
n 
( X ij - x ....) 2+ 
j  
1 
k 
 
i 1 
( X ij - x ....) 2 
k 
= n  
i 1 
n 
( X ij - x ....) 2+ 
j  
1 
k 
 
i 1 
( X ij - x ....) 2 
= JKA+ JKG
Tabel banyak ikan yang ditangkap dalam 5 menit ( banyak 
pengamatan tidak sama ) 
Jenis umpan 
A B C D E F 
9 4 2 2 6 
8 6 8 3 3 5 
8 7 6 7 4 9 
9 4 5 5 4 
8 2 
Total 25 34 23 17 15 20 134 
Rataan 8,33 6,8 5,75 4,25 3 6,67 5,58
Jawab : 
Hipotesis Ho : N1= N2= N3= N4= N5= N6 
Ha :  i  j, Ni Nj, i,j=1,….,6 
Taraf signifikasi 0,05 sehingga daerah kritis 
F>f0,05 ; 5,18 =2,77 
Perhitungan : 
JKT = 92+62+82+….+52+92 –(1342/ 24) = 125,833 
JKA = 252 /3 + 342 /5 + 232 /4 + 172 /4 + 152 /5 + 202 /3 – 
1342 /24 
= 74,21
JKG = 125,83-74,21 = 51,623 
dbA = 5, dbG = 24-6=18 
RKA = 74,21/5 = 14,842 
RKG = 51,623/18 = 2,868 
fhit = 14,842/2,868 = 5,175 
Kesimpulan fhit = 5,175>2,77 maka Ho ditolak 
Tabel analisis variansnya 
Sumber 
variansi 
Derajat 
kebebas 
an 
Jumla 
h 
kuadr 
at 
Rataa 
n 
kuadr 
at Fhit 
Ho tolak bila 
Fhit 
Perlaku 
an 5 74,21 
14,88 
42 
5,17 
5 
>F0,05;5,18 
51,62 
3 2,868 
Galat 18 =2,7 
Total 23 
125,8 
33
URAIAN MATERI 
8.3.UJI RATAAN KLASIFIKASI DWI ARAH 
Tabel pengamatan klasifikasi Dwi arah tanpa interaksi 
Faktor Σ Rataan Populasi 
A B1 B2 …. Bj …. Bb 
A1 X11 X12 …. X1j …. X1b T1 x .1 NA1 
A2 X21 X22 …. X2j …. X2b T2 x .2 NA2 
A3 X31 X32 …. X3j …. X3b T3 x .3 NA3 
…. …. …. …. …. …. …. …. …. …. 
Ai Xi1 Xj2 …. Xij …. Xib Ti x .i NAi 
…. …. …. …. …. …. 
Aa Xa1 Xa2 …. Xaj …. Xab Ta x .a NAa 
Total T.1 T.2 …. T.j …. T.b T.. 
Rataan x .1 x 2 …. x .j …. x .b x … 
Populasi NB1 NB2 …. NBj …. NBb N 
Analisis tanpa interaksi 
U.8.4 Analisis varians dwiarah tanpa interaksi 
Hipotesis 
HoA: NA1=NA2=NA3=….=NAa 
HaA:  ij, NAi  NAj, i  j, i,j=1,….,a 
HoB: NB1=NB2=NB3=….=NBa 
HaB:  ij, NBi  NBj, i  j, i,j=1,….,b
Tabel analisis variansi klasifikasi Dwiarah 
Sumber 
variansi 
Derajat 
kebebasan 
Jumlah 
kuadrat 
Rataan 
kuadrat Fhit 
Ho tolak bila 
Fhit 
A A-1 JKA 
JKA 
1 
2 
 
 
k 
S A 
2 
S A 
2 
S 
>  f ;a-1, 
(a-1)(b-1) 
B B-1 JKB 
JKB 
1 
2 
 
 
k 
SB 
2 
S B 
2 
S 
>  f ;b-1, 
(a-1)(b-1) 
Galat (a-1)(b-1) JKG 
JKG 
dbG 
S  2 
Total Ab-1 JKT 
2 
a 
T.8.4 Teorema identitas jumlah kuadrat 
JKT = JKA+ JKB+ JKG 
        
 ...  ...  ..  .. 
     1  
1 
2 
1 
2 
1 
2 
1 1 
         
i 
b 
j 
b 
j 
a 
i 
a 
i 
b 
j 
Xij X b Xi X a Xij X Xij Xi X j X 
Untuk mempermudah perhitungan maka digunakan 
T.8.5 
  
  
    
    
  
  
  
  
 
JKG JKT JKA JKB 
T 
T 
T 
ab 
 
 
JKB a X j X T a 
ab 
JKA b X X T b 
ab 
JKT Xij X Xij 
b 
j 
j 
a 
i 
a 
i 
a 
i 
a 
i 
b 
j 
a 
i 
b 
j 
   
 
 
 
 
 
 
 
 
   
 
  
 
  
 
   
  
  
.. 
.. 
.. 
.. / 
.. 
.. 
2 
1 
2 
2 
1 
2 
1 
2 
1 
2 
1 
1 
2 
1 1 
2 
2 
1 1
 Analisis Dwi arah dengan interaksi 
Perbedaan dengan tanpa interaksi adalah penambahan analisis efek yang 
disebabkan leh kedua factor bersama-sama ( interaksi ). Apakah ada perbedaan efek antara 
satu sel dengan sel yang lain misalnya AB11 dengan AB43 dan lain sebagainya 
Jadi dalam analisis ini dikenal dua aspek perlakuan 
a. Efek Utama ( main Efect ) Khusus antar perlakuan dalam factor A, dan khusus antar 
perlakuan dalam factor B. 
b. Efek interaksi A dan B 
Frekuensi objek dalam sel (n) biasanya disebut replikasi atau ulangan 
T.8.6 Teorema identitas jumlah kuadrat 
JKT=JKA+JKB+JKAB+JKG 
      
   
X x bn X X an X X 
 ..   ..  ..  .. 
 
     
a 
b 
n 
        
 
i 
j 
k 
     
ijk j 
a 
i 
b 
j 
ij i j 
b 
j 
j 
a 
i 
i 
a 
i 
b 
j 
a 
k 
ijk 
n X X X X X Y 
1 1 
2 
1 
1 
2 
1 1 
2 
1 
2 
1 
.. 
2 
1 1 1 
.. .. ... 
Selanjutnya pengujian dilakukan sebagai U.8.2 
U.8.5 Analisis Varians Dwiarah dengan Interaksi 
Hipotesis : 
HoA: NA1=NA2=NA3=….=NAa 
HaA:  ij, NAi  NAj, i  j, i,j=1,….,a 
HoB: NB1=NB2=NB3=….=NBa 
HaB:  ij, NBi  NBj, i  j, i,j=1,….,a 
HoAB: NAB11=NAB12=NAB13=….=NABab 
HaAB:  ijkl, NABij  NABkl, ij  kl, i,k=1,….,a , j,l=1,……,b
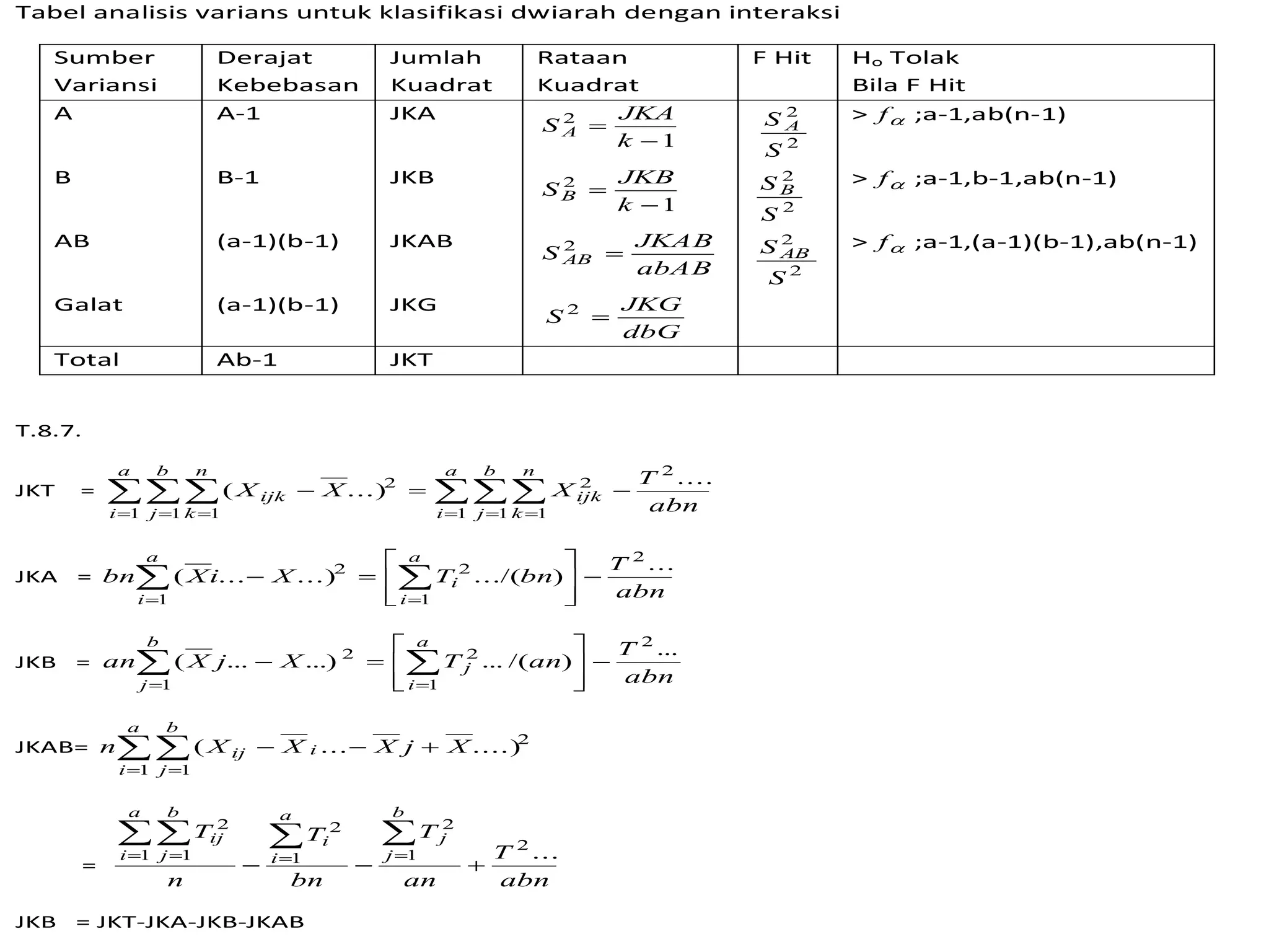
Tabel analisis varians untuk klasifikasi dwiarah dengan interaksi 
Sumber 
Variansi 
Derajat 
Kebebasan 
Jumlah 
Kuadrat 
Rataan 
Kuadrat 
F Hit Ho Tolak 
Bila F Hit 
A A-1 JKA 
JKA 
1 
2 
 
 
k 
S A 
> f ;a-1,ab(n-1) 
B B-1 JKB 
JKB 
1 
2 
 
 
k 
SB 
2 
S A 
2 
S B 
2 
S 
> f ;a-1,b-1,ab(n-1) 
AB (a-1)(b-1) JKAB 
JKAB 
abAB 
S AB  2 
2 
S AB 
2 
S 
>  f ;a-1,(a-1)(b-1),ab(n-1) 
Galat (a-1)(b-1) JKG 
Total Ab-1 JKT 
T.8.7. 
JKT = 
JKG 
T 
abn 
a 
 X  X 2  X 
 
   i 
   
b 
j 
n 
k 
ijk 
a 
i 
b 
j 
n 
k 
ijk 
.... 
( ...) 
2 
1 1 1 
2 
1 1 1 
JKA = 
T 
abn 
a 
 
    
  
bn Xi X T bn 
i 
i 
a 
i 
... 
( ... ...) .../( ) 
2 
1 
2 
1 
 
2  
 
 
 
 
 
 
JKB = 
T 
abn 
a 
 
    
  
an X j X T an 
i 
j 
b 
j 
... 
( ... ...) ... /( ) 
2 
1 
2 
1 
 
2  
  
 
  
 
a 
JKAB= 2 
 ij  i   
  
n (X X ... X j X....) 
1 1 
i 
b 
j 
= 
T 
abn 
T 
   
    
an 
T 
bn 
n 
T 
b 
j 
j 
a 
i 
i 
a 
i 
b 
j 
ij 
... 2 
1 
2 
1 
2 
1 1 
2 
   
JKB = JKT-JKA-JKB-JKAB 
2 
S 
dbG 
S  2
8.4.UJI KESAMAAN BEBERAPA VARIANS 
Misalkan K sampel acak dari poplasi normal saling bebas dengan ukuran n1,n2,…,nk, 
k 
 
i 
 
i n 
1 
2 
1 ,...., , k SSS 
=N dan varians berturut-turut 2 2 
2 
n  
S 
N K 
S 
k 
i 
gab 
 
 
 
1 
2 
1 1 
2 
( 1) 
Katakanlah : 
k 
2 ( ) log ( 1) log dan 
 
 
a  N  K Sgab  n  
S 
i 
1 
2 
1 1 
 
 
 
 
 
 
 
1 
   
 K n N K 
 
 
 
 
 
 
h 
k 
i i 
1 
1 
1 
3( 1) 
1 
1 
h = Faktor koreksi 
q merupakan peubah acak ( namakan B ) 
Uji yang sering dilakukan uji bartlet b=2,3026 h 
yang mempunyai sebaran hampiran khi kuadrat dengan derjat bebas K-1 
U.8.6 Uji kesamaan Varians, dengan uji bartlet 
Hipotesis: 
H0 : 2 2 
2 
2 
`1   .......k 
Ha : tidak semua varians sama 
Dengan taraf signifikansi  , daerah kritik B> 2 
1 
b=2,3026 ( g/h )
U.8.7 Uji bartlet menggunakan sebaran bartlet 
Hipotesis : 
H0 : 2 2 
2 
2 
`1   .......k 
Ha : tidak semua varians sama 
  
2 
( ) 
1 
2 1 
gab 
N K 
k 
l 
ni 
i 
S 
S 
b 
 
 
 
 
  
 
 
  
 
 
 
b= Merupakan nilai peubah acak B sebaran Bartlet, sehingga untuk taraf 
signifikansi  
a) n1=n2=….=nk=n, Daerah kritik adalah B< bk ( ;n), dimana p[b<bk ( ;n)]=  
b) Ukuran sampel tidak sama , daerah kritik B< bk( ;n1,n2,….,nk), dimana 
bk( ;n1,n2,….,nk) = 
 k 
1 
ni b ni 
N 
k 
k 
(; )
Uji varians menurut Cochran 
Uji varians yang lebih sederhana dari uji bartlet adalah uji cochran uji ini menunjukkan 
porsi suatu varians dari jumlah seluruh varians sampel, sehingga tampak apakah suatu 
varians jauh lebih besar dari pada lainnya . Pemakaian terbatas hanya untuk ukuran sampel 
yang sama n1=n2=……=nk=n. 
U.8.8 Uji Cohran 
Hipotesis 
H0 : 2 2 
2 
`1  2 
 .......k 
Ha : tidak semua varians sama 
G= 
S terbesar 
k 
 
i 
 
i 
i 
S 
1 
2 
2 
Dengan taraf signifikasi 1 Daerah kritik G>g ;k,n
EVALUASI 
1.Diketahui ada 4 kelas siswa, tiap kelas banyak muridnya sama, sedang belajar ahasa 
inggris. Masing-masing kelas diajar oleh seorang guru dan tiap guru menggunakan metoda 
mengajar yang berbeda, sebut A,B,C, dan D. Nilai hasil ujian akhir proses belajar untuk tiap 
metoda, rata-ratanya sbb : 
Metoda A B C D 
Rata-rata 67,3 76,5 56,9 63,7 
Maka hitunglah varians dari nilai rata-rata tersebut 
Jawab : 
Anggap rata-rata ini sebagai data biasa lalu hitung variansnya. 
Diperoleh varians antar kelompok A,B,C, dan D. Besarnya dihitung sebagai berikut. 
Karena tiap kelas banyak muridnya sama maka rata-rata untuk keempat rata-rata itu: 
¼(67,3+76,5+56,9+63,7)=66,1 
Jumlah kuadrat-kuadrat dikoreksi yaitu setiap data dikurangi rata-ratanya lalu dikuadratkan 
dan kemudian dijumlahkan adalah 
( 67,3-66,1 )2 + ( 76,5-66,1 )2 + ( 56,9-66,1 )2 + ( 63,7-66,1 )2 = 200 
Bagi oleh derajat kebebasannya ialah banyak kelompok dikurangi satu jadi 4-1=3 diperoleh 
varians antar kelompok A,B,C, dan D ialah sebesar 66,67.
2.Varians tinggi 24 mahasiswa dalam pertandingan bola yang dipilih acak dari 50 orang.Tentukan 
dalam koefisien kepkercayaan 95% selang kepercayaan untuk varians tinggi mahasiswa untuk 
pertandingan bola. 
Penyelesaian : 
Dik. : Ukuran sampel n = 24. 
S2 = 50. 
 = 1 –  
= 1 – 95% 
= 0,05. 
Dit. : 2 
2 
x = ½; n – 1 dan x2 = ½ (1 + j); n -1 
= ½ . 0,05; 24 – 1 = ½ (1 + 0,05); 24 – 1 
= 0,25; 23 = 0,975; 23 
x2 0,025; 23 = 11,7 x2 0,975; 23 = 38,1 
sehingga 
    
2 n S 
1 2 
1 
n S  
38.1 
7 . 
2 
n 
  
 
 
    
24 1 50 2  
24 1 50 
38.1 
11.7 
  
 
 
98,29 30,18 2  
3.Suatu ujian teori probabilitas yang dilakukan diberikan kepada 40 orang siswa dan 60 mahasiswa. 
Mahasiswi dapat rataan skors 5 dari 70 mahasiswa. Tentukan 95% selang kepercayaan selisih rataan 
skor mahasiswi dengan mahasiswa apabila melalui pengalaman bahwa simpangan bakuk skor untuk 
mahasiswi adalah 8 dan mahasiswa 10. 
Penyelesaian : 
Dik. : n1 = 60. 
n2 = 40. 
1 x = 70. 
2 x = 55. 
 = 95%. 
Jadi taksiran untuk 1 - 2 adalah 2 1 x x  = 70 – 55 = 25. 
a. 1 = 10, 2 = 8. 
Sehingga menaksir selisih rataan : 
Z½  = 0,475 = 1,96 
2 
2 
2 
1 
S 
S 
    
2 
2 
2 
2 
1 
x  x  Z            
1 
1 2 1 2 
2 
1 
1 2 
2 
1 
2 
1 
S 
n 
S 
n 
x x Z 
n 
n 
64 
40 
100 
25 1,96 1 2         
60 
25 1,96 
64 
40 
100 
60 
25 1,96 3,26 25 1,96 3,26 1 2      
21,62 28,538 1 2    
4.Dari soal no.2 carilah simpangan baku populasi tidak diketahui tetapi mahasiswi dan mahasiswa 
berasal dari satu populasi dan simpangan baku mahasiswa adalah 8 dan maka siswa adalah 10. 
Penyelesaian : 
Dik. : S1 = 10 
S2 = 8 
V = n1 + n2 – 2 
= 60 + 40 – 2 
= 98. 
t½ (1 + ); V = t0,975; 98 = 1,98 
S2 = 
    
n  1 S  n  
1 
S 
2 
n n 
1 2 
2 
2 2 
2 
1 2 
  
= 
    
60  1 10 2  40  
1 82 
60  40  
2 
= 
5900 2496 
98 
= 85,67 
    
x  x t  V          
1 2 
1 2 1 2 5 
1 2 
1 2 3 
1 1 
(1 ); 
1 1 
(1 ); 
2 
1 
2 
1 
n n 
x x t V 
n n 
1 
40 
1 
25 1,98.85,67 1 2          
60 
25 1,98.85,67 
1 
40 
1 
60 
9,34 59,34 1 2      
S E K I A N…..

analisis varians

  • 1.
    Rencana Pelaksanaan Pembelajaran(RPP) ANALISIS VARIANS D I S U S U N Oleh: Nama : Ida Ayu Siahaan NPM : 12150011 Mata kuliah ;Statistika Prodi : Pendidikan Matematika Dosen Pengasuh : Drs. Hotman Simbolon, MS FAKULTAS KEGURUAN DAN ILMU PENDIDIKAN UNIVERSITAS HKBP NOMMENSEN PEMATANGSIANTAR
  • 2.
     Pengertian analisisVarians Suatu teknik untuk menguji kesamaam beberapa rata-rata adalah analisis varians. Andaikan ada K perlakuan A1, A2,…, Ai,…, Ak yang masing-masing dengan sampel yang berbeda-beda dengan berturut-turut dengan ukuran atau banyak pengamatan n1, n2,…, ni,…,nk maka hipotesis untuk uji kesamaan rata adalah Ho: N1=N2=N3=…=Ni= …=Nk Ha : Paling sedikit dua N tidak sama atau cara penulisannya lain : ij,Ni  Nj, i  j, i, j 1,...,k
  • 3.
    Analisis Varians tidakhanya digunakan dalam satu jenis atau factor perlakuan ,tetapi dapat lebih darisatu factor yang masing-masing factor terdiri dari beberapa perlakuan. Bila perlakuan terdiri dari satu factor maka disebut klasiikasi eka arah dan apabila terdiri dari dua factor disebut klasifikasi dwi arah
  • 4.
    Dalam analisis varinsmenyangkut varians dalam masing-masing perlakuan , varians antar perlakuan, dan mungkin juga varians interaksi antar perlakuan dari factor yang satu dengan perlakuan dalam factor yang lain. Sistem pengujian ntuk klasifikasi eka arah dapat digunakan menjadi analogi kepada system pengujian untuk dwi arah atauanalisis varians lannya.
  • 5.
    Pada umumnya yangmenjadi statistika uji adalah uji F yang di hitung dari perbandingan antar varians yakni varians antar perlakuan ataupun interaksi terhadap varians galat. Sistem pengujian untuk klasifikasi eka arah dapat di gunakan menjadi analogi kepada sistem pengujian untuk dwi arah atau analisis varians lainnya
  • 6.
     Klasifikasi EKAARAH Tabel pengamatan K sampel acak Pelakuan A1 A2 ….. Ai ….. Ak  Penagamatan X11 X21 ….. Xi1 ….. Xk1 ….. X12 X22 ….. Xi2 ….. Xk2 ….. ….. ….. ….. ….. ….. X1j X2j ….. Xij ….. Xkj ….. ….. ….. ….. ….. ….. X1n X2n ….. Xin ….. Xkn Total R1 R2 ….. Ri ….. Rk R…. Rataan x 1 x 2 ….. x i ….. x k x … Populasi N1 N2 ….. Ni ….. Nk N….
  • 7.
    Masing-masing perlakuan terdiridari N Pengamatan , sehingga semua pengamatan N=nk Jika penyimpangan pengamatan ke j pada perlakuan ke i disimbolkan dengan ij dan penyimpangan populasi perlakuan ke i dari rataan umum ( grad mean = N =ΣNi/k ) adalah i  maka pengamatan dapat ditulis ; Xij =Ni+ij dan Ni=N+ i  atau Xij= N+ i  +ij dengan kendala Σ i=0 dipenuhi karena  i=adalah efek atau pengeruh perlakuan ke i maka hipotesis dapat ditulis menjadi :
  • 8.
    H0:  1=2.....= i……= k=0 Ha: Paling sedikit satu  i tidak sama dengan 0 atau penulisan lain i,  i  0 Varians masing-masing perlakuan adalah s2 1 , s2 2 ,…., si 2 ,….,sk 2 dimana 1 = s2      Xij xi 1 1 2  n n j
  • 9.
    sedangkan rataan Kvarians adalah   Xij Xi ( ) ( 1) Xij  Xi ( 1) 1 1 2 1 1 2 1 2 1          k  k n k n    k i n j k i n j k i s dinamakan varians dalam perlakuan k    i   n j Xij Xi 1 1 2 ( ) Jumlah kuadrat dalam perlakuan disingkat JKD ataupun JKG (jumlah kuadrat galat) sehingga dapat ditulis :
  • 10.
    Merupakan salah satusuatu taksiran tak bias untuk 2 .selajutnya telah di ketahui bahwa n x    atau 2 =n 2 x  Sedangkan 2 x  di duga dengan S 2 x   x x   k j i k 1 1 sehingga  dinamakan varians antar perlakuan =S 2         x  x   k i i k n 1 2 1 1 n k n   i x x  i   1 = jumlah kuadrat antar perlakuan dapat S 2 1 = JKA K 1 Uji F di cari dengan f = ians antar perlakuan var ians dalam perlakuan var
  • 11.
    2 1 S S = F= 2 JKA /( K  1) adalah peubah acak f dengan derajat    1 JKG K N kebebasan(K-1) jadi HO ditolak jika Fh it > Fa : (k-1) Vs k(n-1) Uji kebebasa klasifikasi ke arah a H : ....... ........ 0 1 2 3        i k      Ha paling sedikit satu i  tidak sama dengan nol atau penulisan lain   i i, 0
  • 12.
    Tabel Aalisis Variansuntu klasifikasi Eka arah Sumber Derajat Jumlah Rataan Variansi Kebebasan kwadrat Kuadrat F Hit Ho Tolak Bila F Hit Perlakuan K-1 JKA 2 1 S S >f k- 2 1,k(n-1) Galat K(n-1) JKG JKA JKG k(n 1) Σ Kn-1 JKT 1 2  1 K  s
  • 13.
    Teori Identitas jumlahkuadrat JKT=JKA+JKG Bukti: n JKT=  j 1 k  i  1 n ( X ij - x ....) 2= j 1 k  i  1            2 ..... _ i ij i x x x x n = j  1 k  i  1 ( X - x ....) 2+2 ( x  x.......  x  x    x  x    2 x  x ij ij 1 ij 1 ij i n = j 1  k  i 1  n ( X ij - x ....) 2 +2 j 1  k  i 1      i ij i x  x ..... _ x  x
  • 14.
    n + j 1 k   i 1 ( X ij - x ....) 2 ,suku ke dua =0 (buktikan) n = j  1 k  i 1 n ( X ij - x ....) 2+ j  1 k  i 1 ( X ij - x ....) 2 k = n  i 1 n ( X ij - x ....) 2+ j  1 k  i 1 ( X ij - x ....) 2 = JKA+ JKG
  • 15.
    Tabel banyak ikanyang ditangkap dalam 5 menit ( banyak pengamatan tidak sama ) Jenis umpan A B C D E F 9 4 2 2 6 8 6 8 3 3 5 8 7 6 7 4 9 9 4 5 5 4 8 2 Total 25 34 23 17 15 20 134 Rataan 8,33 6,8 5,75 4,25 3 6,67 5,58
  • 16.
    Jawab : HipotesisHo : N1= N2= N3= N4= N5= N6 Ha :  i  j, Ni Nj, i,j=1,….,6 Taraf signifikasi 0,05 sehingga daerah kritis F>f0,05 ; 5,18 =2,77 Perhitungan : JKT = 92+62+82+….+52+92 –(1342/ 24) = 125,833 JKA = 252 /3 + 342 /5 + 232 /4 + 172 /4 + 152 /5 + 202 /3 – 1342 /24 = 74,21
  • 17.
    JKG = 125,83-74,21= 51,623 dbA = 5, dbG = 24-6=18 RKA = 74,21/5 = 14,842 RKG = 51,623/18 = 2,868 fhit = 14,842/2,868 = 5,175 Kesimpulan fhit = 5,175>2,77 maka Ho ditolak Tabel analisis variansnya Sumber variansi Derajat kebebas an Jumla h kuadr at Rataa n kuadr at Fhit Ho tolak bila Fhit Perlaku an 5 74,21 14,88 42 5,17 5 >F0,05;5,18 51,62 3 2,868 Galat 18 =2,7 Total 23 125,8 33
  • 18.
    URAIAN MATERI 8.3.UJIRATAAN KLASIFIKASI DWI ARAH Tabel pengamatan klasifikasi Dwi arah tanpa interaksi Faktor Σ Rataan Populasi A B1 B2 …. Bj …. Bb A1 X11 X12 …. X1j …. X1b T1 x .1 NA1 A2 X21 X22 …. X2j …. X2b T2 x .2 NA2 A3 X31 X32 …. X3j …. X3b T3 x .3 NA3 …. …. …. …. …. …. …. …. …. …. Ai Xi1 Xj2 …. Xij …. Xib Ti x .i NAi …. …. …. …. …. …. Aa Xa1 Xa2 …. Xaj …. Xab Ta x .a NAa Total T.1 T.2 …. T.j …. T.b T.. Rataan x .1 x 2 …. x .j …. x .b x … Populasi NB1 NB2 …. NBj …. NBb N Analisis tanpa interaksi U.8.4 Analisis varians dwiarah tanpa interaksi Hipotesis HoA: NA1=NA2=NA3=….=NAa HaA:  ij, NAi  NAj, i  j, i,j=1,….,a HoB: NB1=NB2=NB3=….=NBa HaB:  ij, NBi  NBj, i  j, i,j=1,….,b
  • 19.
    Tabel analisis variansiklasifikasi Dwiarah Sumber variansi Derajat kebebasan Jumlah kuadrat Rataan kuadrat Fhit Ho tolak bila Fhit A A-1 JKA JKA 1 2   k S A 2 S A 2 S >  f ;a-1, (a-1)(b-1) B B-1 JKB JKB 1 2   k SB 2 S B 2 S >  f ;b-1, (a-1)(b-1) Galat (a-1)(b-1) JKG JKG dbG S  2 Total Ab-1 JKT 2 a T.8.4 Teorema identitas jumlah kuadrat JKT = JKA+ JKB+ JKG          ...  ...  ..  ..      1  1 2 1 2 1 2 1 1          i b j b j a i a i b j Xij X b Xi X a Xij X Xij Xi X j X Untuk mempermudah perhitungan maka digunakan T.8.5                      JKG JKT JKA JKB T T T ab   JKB a X j X T a ab JKA b X X T b ab JKT Xij X Xij b j j a i a i a i a i b j a i b j                             .. .. .. .. / .. .. 2 1 2 2 1 2 1 2 1 2 1 1 2 1 1 2 2 1 1
  • 20.
     Analisis Dwiarah dengan interaksi Perbedaan dengan tanpa interaksi adalah penambahan analisis efek yang disebabkan leh kedua factor bersama-sama ( interaksi ). Apakah ada perbedaan efek antara satu sel dengan sel yang lain misalnya AB11 dengan AB43 dan lain sebagainya Jadi dalam analisis ini dikenal dua aspek perlakuan a. Efek Utama ( main Efect ) Khusus antar perlakuan dalam factor A, dan khusus antar perlakuan dalam factor B. b. Efek interaksi A dan B Frekuensi objek dalam sel (n) biasanya disebut replikasi atau ulangan T.8.6 Teorema identitas jumlah kuadrat JKT=JKA+JKB+JKAB+JKG          X x bn X X an X X  ..   ..  ..  ..       a b n          i j k      ijk j a i b j ij i j b j j a i i a i b j a k ijk n X X X X X Y 1 1 2 1 1 2 1 1 2 1 2 1 .. 2 1 1 1 .. .. ... Selanjutnya pengujian dilakukan sebagai U.8.2 U.8.5 Analisis Varians Dwiarah dengan Interaksi Hipotesis : HoA: NA1=NA2=NA3=….=NAa HaA:  ij, NAi  NAj, i  j, i,j=1,….,a HoB: NB1=NB2=NB3=….=NBa HaB:  ij, NBi  NBj, i  j, i,j=1,….,a HoAB: NAB11=NAB12=NAB13=….=NABab HaAB:  ijkl, NABij  NABkl, ij  kl, i,k=1,….,a , j,l=1,……,b
  • 21.
    Tabel analisis variansuntuk klasifikasi dwiarah dengan interaksi Sumber Variansi Derajat Kebebasan Jumlah Kuadrat Rataan Kuadrat F Hit Ho Tolak Bila F Hit A A-1 JKA JKA 1 2   k S A > f ;a-1,ab(n-1) B B-1 JKB JKB 1 2   k SB 2 S A 2 S B 2 S > f ;a-1,b-1,ab(n-1) AB (a-1)(b-1) JKAB JKAB abAB S AB  2 2 S AB 2 S >  f ;a-1,(a-1)(b-1),ab(n-1) Galat (a-1)(b-1) JKG Total Ab-1 JKT T.8.7. JKT = JKG T abn a  X  X 2  X     i    b j n k ijk a i b j n k ijk .... ( ...) 2 1 1 1 2 1 1 1 JKA = T abn a        bn Xi X T bn i i a i ... ( ... ...) .../( ) 2 1 2 1  2        JKB = T abn a        an X j X T an i j b j ... ( ... ...) ... /( ) 2 1 2 1  2        a JKAB= 2  ij  i     n (X X ... X j X....) 1 1 i b j = T abn T        an T bn n T b j j a i i a i b j ij ... 2 1 2 1 2 1 1 2    JKB = JKT-JKA-JKB-JKAB 2 S dbG S  2
  • 22.
    8.4.UJI KESAMAAN BEBERAPAVARIANS Misalkan K sampel acak dari poplasi normal saling bebas dengan ukuran n1,n2,…,nk, k  i  i n 1 2 1 ,...., , k SSS =N dan varians berturut-turut 2 2 2 n  S N K S k i gab    1 2 1 1 2 ( 1) Katakanlah : k 2 ( ) log ( 1) log dan   a  N  K Sgab  n  S i 1 2 1 1        1     K n N K       h k i i 1 1 1 3( 1) 1 1 h = Faktor koreksi q merupakan peubah acak ( namakan B ) Uji yang sering dilakukan uji bartlet b=2,3026 h yang mempunyai sebaran hampiran khi kuadrat dengan derjat bebas K-1 U.8.6 Uji kesamaan Varians, dengan uji bartlet Hipotesis: H0 : 2 2 2 2 `1   .......k Ha : tidak semua varians sama Dengan taraf signifikansi  , daerah kritik B> 2 1 b=2,3026 ( g/h )
  • 23.
    U.8.7 Uji bartletmenggunakan sebaran bartlet Hipotesis : H0 : 2 2 2 2 `1   .......k Ha : tidak semua varians sama   2 ( ) 1 2 1 gab N K k l ni i S S b              b= Merupakan nilai peubah acak B sebaran Bartlet, sehingga untuk taraf signifikansi  a) n1=n2=….=nk=n, Daerah kritik adalah B< bk ( ;n), dimana p[b<bk ( ;n)]=  b) Ukuran sampel tidak sama , daerah kritik B< bk( ;n1,n2,….,nk), dimana bk( ;n1,n2,….,nk) =  k 1 ni b ni N k k (; )
  • 24.
    Uji varians menurutCochran Uji varians yang lebih sederhana dari uji bartlet adalah uji cochran uji ini menunjukkan porsi suatu varians dari jumlah seluruh varians sampel, sehingga tampak apakah suatu varians jauh lebih besar dari pada lainnya . Pemakaian terbatas hanya untuk ukuran sampel yang sama n1=n2=……=nk=n. U.8.8 Uji Cohran Hipotesis H0 : 2 2 2 `1  2  .......k Ha : tidak semua varians sama G= S terbesar k  i  i i S 1 2 2 Dengan taraf signifikasi 1 Daerah kritik G>g ;k,n
  • 25.
    EVALUASI 1.Diketahui ada4 kelas siswa, tiap kelas banyak muridnya sama, sedang belajar ahasa inggris. Masing-masing kelas diajar oleh seorang guru dan tiap guru menggunakan metoda mengajar yang berbeda, sebut A,B,C, dan D. Nilai hasil ujian akhir proses belajar untuk tiap metoda, rata-ratanya sbb : Metoda A B C D Rata-rata 67,3 76,5 56,9 63,7 Maka hitunglah varians dari nilai rata-rata tersebut Jawab : Anggap rata-rata ini sebagai data biasa lalu hitung variansnya. Diperoleh varians antar kelompok A,B,C, dan D. Besarnya dihitung sebagai berikut. Karena tiap kelas banyak muridnya sama maka rata-rata untuk keempat rata-rata itu: ¼(67,3+76,5+56,9+63,7)=66,1 Jumlah kuadrat-kuadrat dikoreksi yaitu setiap data dikurangi rata-ratanya lalu dikuadratkan dan kemudian dijumlahkan adalah ( 67,3-66,1 )2 + ( 76,5-66,1 )2 + ( 56,9-66,1 )2 + ( 63,7-66,1 )2 = 200 Bagi oleh derajat kebebasannya ialah banyak kelompok dikurangi satu jadi 4-1=3 diperoleh varians antar kelompok A,B,C, dan D ialah sebesar 66,67.
  • 26.
    2.Varians tinggi 24mahasiswa dalam pertandingan bola yang dipilih acak dari 50 orang.Tentukan dalam koefisien kepkercayaan 95% selang kepercayaan untuk varians tinggi mahasiswa untuk pertandingan bola. Penyelesaian : Dik. : Ukuran sampel n = 24. S2 = 50.  = 1 –  = 1 – 95% = 0,05. Dit. : 2 2 x = ½; n – 1 dan x2 = ½ (1 + j); n -1 = ½ . 0,05; 24 – 1 = ½ (1 + 0,05); 24 – 1 = 0,25; 23 = 0,975; 23 x2 0,025; 23 = 11,7 x2 0,975; 23 = 38,1 sehingga     2 n S 1 2 1 n S  38.1 7 . 2 n         24 1 50 2  24 1 50 38.1 11.7     98,29 30,18 2  
  • 27.
    3.Suatu ujian teoriprobabilitas yang dilakukan diberikan kepada 40 orang siswa dan 60 mahasiswa. Mahasiswi dapat rataan skors 5 dari 70 mahasiswa. Tentukan 95% selang kepercayaan selisih rataan skor mahasiswi dengan mahasiswa apabila melalui pengalaman bahwa simpangan bakuk skor untuk mahasiswi adalah 8 dan mahasiswa 10. Penyelesaian : Dik. : n1 = 60. n2 = 40. 1 x = 70. 2 x = 55.  = 95%. Jadi taksiran untuk 1 - 2 adalah 2 1 x x  = 70 – 55 = 25. a. 1 = 10, 2 = 8. Sehingga menaksir selisih rataan : Z½  = 0,475 = 1,96 2 2 2 1 S S     2 2 2 2 1 x  x  Z            1 1 2 1 2 2 1 1 2 2 1 2 1 S n S n x x Z n n 64 40 100 25 1,96 1 2         60 25 1,96 64 40 100 60 25 1,96 3,26 25 1,96 3,26 1 2      21,62 28,538 1 2    
  • 28.
    4.Dari soal no.2carilah simpangan baku populasi tidak diketahui tetapi mahasiswi dan mahasiswa berasal dari satu populasi dan simpangan baku mahasiswa adalah 8 dan maka siswa adalah 10. Penyelesaian : Dik. : S1 = 10 S2 = 8 V = n1 + n2 – 2 = 60 + 40 – 2 = 98. t½ (1 + ); V = t0,975; 98 = 1,98 S2 =     n  1 S  n  1 S 2 n n 1 2 2 2 2 2 1 2   =     60  1 10 2  40  1 82 60  40  2 = 5900 2496 98 = 85,67     x  x t  V          1 2 1 2 1 2 5 1 2 1 2 3 1 1 (1 ); 1 1 (1 ); 2 1 2 1 n n x x t V n n 1 40 1 25 1,98.85,67 1 2          60 25 1,98.85,67 1 40 1 60 9,34 59,34 1 2      
  • 29.
    S E KI A N…..