Course MDBC 204
Instructor: Dr. A.R. Al-Mutairy
SOFTWARE OF LIFE
Genes: Replication and Expression
Textbook: Biochemistry by Stryers(4th ed.)
Chapters 4,5,6,31,32, 33, 34 & 35
A. Overview
B. DNA Replication and Repair
C. Gene Rearrangements
D. RNA Synthesis (Transcription)
E. Protein synthesis (Translation)
F. Protein Targetting
2
3
A-Overview:
• Until 1944 it was assumed that chromosomal proteins
carry the genetic information.
• In 1944 Avery et al. Concluded that DNA carry the genetic
information based on Griffith (1928) experiments on rough
and smooth pneumococci.
• DNA = Deoxyribonucleic acid, RNA = Ribonucleic acid
• DNA & RNA are polynucleotides
• A mononucleotide consists of: A nitrogen base + Sugar +
PO4
• A deoxyribonucleotide = A nitrogen base + Deoxyribose +
PO4
• A Ribonucleotide = nitrogen base + ribose + PO4
• A nucleoside = nitrogen base + sugar
• DNA & RNA are the molecules of Heredity
4
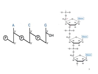
5 major bases (A, G, C, T & U, Alphabet of life)
5
6
• The discovery that genes are made up of DNA (Avery.
et. al. 1944) and its D-helical structure (Waston-Crick
1953). Triggered a revolution in Biology (including
medicine)
• Based on X-ray Crystallographic studies, Watson and
Crick in 1953 proposed the following model for 3-
Dimensional Structure of DNA:
1. DNA consists of 2 helical polynucleotides which run
in opposite directions.
2. The bases are inside, PO4 and d-ribose outside d-helix.
3. Diameter of he helix is 20A˚. Bases separated by
3.4A˚ and related by a rotation of 36 degree (10
residue per turn).
4. The 2 chains are held by H-bonding between
complementary bases (A - T & G - C).
7
G - C - Base-pair) Cross sectionA - T base-pair
8
Semi-conservative replication of DNA:
Each strand act as a template on which another
complementary strand is synthesised.
9
Reversible melting (Denaturation):
H - bonds between A - T & G - C can be broken by heat,
alkalis and acids lead to separation (unwinding) of 2-chains.
Tm: Temp. at which half of the helical structure is broken.
Physical Properties of DNA:
Size: Length of DNA in E.coli 1.4 mm
(4 million base-pairs) in Human 1
meter
10
Relaxed DNA
Supercoiled
Relaxation of supercoiled DNA
by Topoisomerase I
5 min 30 min
0
11
Mechanism for DNA replication:
• In 1958, Kornberg isolated DNA polymerase from E.coli: The
Enzyme can invitro replicate DNA and requires:
1. 4 precursors: dATP, dTTP, dGTP and dCTP
2. A primer with free 3`-OH; (3) DNA template
12
DNA Polymerase I: The enzyme has 3 functions
5` 3` Exonucleases activity
3` 5` Exonucleases activity
13
DNA Polymerase I: (continue)
1) 3` 5` Exonuclease activity (proof reading):
- Function to remove mismatched nucleotide at 3`- end.
2) 5` 3` Exonuclease:
For removal of primer and it participate in removal of
pyrimidine dimers formed by exposure of DNA to UV
light.
3) Polymerase activity:
DNA Polymerase II and III: similar to I in:
a) they catalyse a tempelate - directed synthesis of DNA.
b) A primer with free 3`-OH is needed fo DNA synthesis.
c) The direction of DNA synthesis is 5` 3` direction.
d) They have 3` 5` exonuclease activity.
14
Highlights of DNA replication: in E.coli
1- Unwinding of DNA, is coupled to replication. Circular DNA
maintain its circular structure.
2- Origin of replication: at a fixed site (oriC, in E.coli)
3- Synthesis of leading and lagging strands
15
Steps of DNA Replication (in E.coli)
a) dnaA protein detects and bind to oriC.
b) A complex of 3 proteins: dnaA, B and C bend and
open the d-helix (dna B is a helicase).
c) Single strand parts are stabilized by S.S.B. Protien.
d) DNA-Gyrase forms -ve supercoil to facilitate
unwinding and replication.
I- Unwinding the Origin Site (oriC):
II- Synthesis of RNA-primer by primase ( 5 nucleotide
III- DNA-Polymerase III start synthesis of DNA
The leading strand is synth. Continuously, while the
lagging strand is synth., as Okazaki fragments, both in the
5` 3` direction
IV. Gaps between Okazaki fragments are filled by DNA
polymerase I - then joined by DNA ligase.
16
Replication Fork:
Processive sliding Clamp (β) DNA in clamp
17
Genetic Mutation
1. Insertion 2. Deletion
3. Substitution (point mutation) most common:
a) Transition: Substitution of one purine by another
purine or pyrimidine by the other.
b) Transversion: Purine Pyrimidine
18
Repair of mutation: Examples
1. The complementary structure of DNA ensures the damage in one strand will
be repaired in later replication.
2. Removal of pyrimidine dimers (caused by UV)
3. Mismatch Repair: (in E.coli)
19
Many cancers are caused by defective Repair of
Mutation:
1. Xeroderma Pigmentosum:
• Skin very sensitive to light lead to skin cancer. Cause is
defective uvr ABC enzyme.
2. Heriditary nonpolyposis Colorectal cancer (HPCC)
• Result from defective mimtach repair (1 in 200 people).
Mutation in 2 genes hMSH2 and hMLH1 account for most
cases of HPCC.
• hMSH2 and hMLH1 in human are counterparts of MutS &
MutL in E..coli.
20
D) RNA Synth. (Transcription) & Splicing
Flow of genetic information:
DNA (genes) mRNA Proteins
Structure of RNA:
A polymer of ribonucleotides joined by 3` 5`
Phosphodiester bonds. Similar to DNA except:
i) It is single strand ii) Contains Uracil (no thymine)
iii) Contains ribose instead of deoxyribose iv) No Nuclease activity
chance of mistake 10-4
. Compare with replication of DNA 10-10
Types of RNA in E.Coli
Type % amount # of Nucleotides
Ribosomal RNA (rRNA) 80 120-3700
Transfer RNA (tRNA) 15 75
Messenger RNA (mRNA) 5 1200-5000
 →
ionTranscript
 →
nTranslatio
21
Function of RNA:
a) mRNA: A template for protein synth. (Translation)
b) tRNA (carry amino acids in an activated form to the ribosome for
peptide bond formation.
c) rRNA: 5S, 16S&23S rRNAs play a Central role in protein synthesis.
Ribosome: Site of protein synthesis
• A complex assembly of rRNA and ~50 diff. Proteins.
In E.coli, all RNAs are synth. By RNA-polymerase which requires:
i) A template (DNA), ii) ATP, GTP, UTP and CTP.
• RNA-polymerase catalyse both initiation and elongation of RNA.
22
RNA-Polymerase takes instructions from a DNA template
Transcription begins near promotor sites and ends at terminator sites.
tRNA is the adoptor molecule in protein synthesis.
Hair Pin
Termination
Signal
tRNA
23
The Genetic Code
• Amino acids are coded by groups of 3 bases.
• Features:
i) The code is degenerate, i.e. most a.as are coded by more
than one codon (triplet).
ii) The code is non-overlapping.
iii) The sequence of bases is read from a fixed point.
24
25
Mechanism of RNA Synth. (in E.coli)
1. Initiation:
• δ- subunit of RNA-polymerase recognize and binds to promoter site of DNA
template.
• A strong promoter site: one very close to the consensus sequence. (Fast
transcription one every 2 sec.
• Weak promoter: seq. Deviate from concensus Seq. (slow transcription ~ 10
min).
• RNA - polymerase unwinds 2-turns of template DNA.
• RNA-chain start with G or A, in 5` 3` direction
2. Elongation: start after first bond
• δ-subunit dissociate.
• -Newly synth. RNA form d. helix with template strand.
26
3. Termination:
• An RNA hair pin followed by several U residue
lead to termination of transcription.
• The hair pin structure is specified by a
palindromic G-C-rich followed by A-T-rich
region on template.
• The RNA-DNA hybrid dissociate and Nascent
RNA released.
Rifampicin & actinomycin antibiotics inhibit
transcription.
27
Transcription in Eukaryotes
• Transcription occurs inside organells
• Transcription and translation are separated in time and space which
enables eukaryotes to regulate gene expression more intricately
which contribute to the richness of eukaryotic form and function.
• Primary RNA mRNA.
i) A cap is added at end and a poly A tail.
ii) Eukaryotic genes contain coding sequences (Exons) & non-coding
(intervening) sequences (introns). Introns of primary transcripts are
cut off and exons are spliced to form mRNA.
 →
extensive
processing
Exon
Exon
28
RNA in Eukaryotes is synth. By 3 kinds of RNA-polymerase (I, II & III)
Many transcription factors (proteins) interact with promoter - sites.
Enhancer sequences can stimulate Transcription at start sites thousands
of bases away.
Splice sites are specified by sequences at ends of introns.
29
30
31
E) Protein Synthesis
(Translation)
1. Amino acid Activation
nTerminatio
ElongationinitiationChainactivationa.a.
↓
→→
2. Initiation
Synthetase RNAAminoacylttRNAa.a.
tRNAa.a.
 →+
32
Initial Stage
Steps of Chain Elongation
33
Initiation Stage
34
4. Termination:
• Normal cells do not contain tRNAs with anticodons complementary to UAA, UGA or UAG (stop codons).
• Instead of these codons are recognized by release factors RF1 recognizes UAA & UAG. RF2 recongizes UAA
& UGA.
• Binding of a release factor to a stop codon in the A site activates the hydrolysis of the bond between the
polypeptide and the tRNA in the P-site. The detached polypeptide leaves the ribosome, followed by tRNA and
mRNA.
Antibiotics: Puromycin, Streptomycin, Tetracyclin, Chloramphenicol & Erythromycin inherit protein
synthesis
3. Elongation Stage:
35

(7) dental genetics

  • 1.
    Course MDBC 204 Instructor:Dr. A.R. Al-Mutairy SOFTWARE OF LIFE Genes: Replication and Expression Textbook: Biochemistry by Stryers(4th ed.) Chapters 4,5,6,31,32, 33, 34 & 35 A. Overview B. DNA Replication and Repair C. Gene Rearrangements D. RNA Synthesis (Transcription) E. Protein synthesis (Translation) F. Protein Targetting
  • 2.
  • 3.
    3 A-Overview: • Until 1944it was assumed that chromosomal proteins carry the genetic information. • In 1944 Avery et al. Concluded that DNA carry the genetic information based on Griffith (1928) experiments on rough and smooth pneumococci. • DNA = Deoxyribonucleic acid, RNA = Ribonucleic acid • DNA & RNA are polynucleotides • A mononucleotide consists of: A nitrogen base + Sugar + PO4 • A deoxyribonucleotide = A nitrogen base + Deoxyribose + PO4 • A Ribonucleotide = nitrogen base + ribose + PO4 • A nucleoside = nitrogen base + sugar • DNA & RNA are the molecules of Heredity
  • 4.
    4 5 major bases(A, G, C, T & U, Alphabet of life)
  • 5.
  • 6.
    6 • The discoverythat genes are made up of DNA (Avery. et. al. 1944) and its D-helical structure (Waston-Crick 1953). Triggered a revolution in Biology (including medicine) • Based on X-ray Crystallographic studies, Watson and Crick in 1953 proposed the following model for 3- Dimensional Structure of DNA: 1. DNA consists of 2 helical polynucleotides which run in opposite directions. 2. The bases are inside, PO4 and d-ribose outside d-helix. 3. Diameter of he helix is 20A˚. Bases separated by 3.4A˚ and related by a rotation of 36 degree (10 residue per turn). 4. The 2 chains are held by H-bonding between complementary bases (A - T & G - C).
  • 7.
    7 G - C- Base-pair) Cross sectionA - T base-pair
  • 8.
    8 Semi-conservative replication ofDNA: Each strand act as a template on which another complementary strand is synthesised.
  • 9.
    9 Reversible melting (Denaturation): H- bonds between A - T & G - C can be broken by heat, alkalis and acids lead to separation (unwinding) of 2-chains. Tm: Temp. at which half of the helical structure is broken. Physical Properties of DNA: Size: Length of DNA in E.coli 1.4 mm (4 million base-pairs) in Human 1 meter
  • 10.
    10 Relaxed DNA Supercoiled Relaxation ofsupercoiled DNA by Topoisomerase I 5 min 30 min 0
  • 11.
    11 Mechanism for DNAreplication: • In 1958, Kornberg isolated DNA polymerase from E.coli: The Enzyme can invitro replicate DNA and requires: 1. 4 precursors: dATP, dTTP, dGTP and dCTP 2. A primer with free 3`-OH; (3) DNA template
  • 12.
    12 DNA Polymerase I:The enzyme has 3 functions 5` 3` Exonucleases activity 3` 5` Exonucleases activity
  • 13.
    13 DNA Polymerase I:(continue) 1) 3` 5` Exonuclease activity (proof reading): - Function to remove mismatched nucleotide at 3`- end. 2) 5` 3` Exonuclease: For removal of primer and it participate in removal of pyrimidine dimers formed by exposure of DNA to UV light. 3) Polymerase activity: DNA Polymerase II and III: similar to I in: a) they catalyse a tempelate - directed synthesis of DNA. b) A primer with free 3`-OH is needed fo DNA synthesis. c) The direction of DNA synthesis is 5` 3` direction. d) They have 3` 5` exonuclease activity.
  • 14.
    14 Highlights of DNAreplication: in E.coli 1- Unwinding of DNA, is coupled to replication. Circular DNA maintain its circular structure. 2- Origin of replication: at a fixed site (oriC, in E.coli) 3- Synthesis of leading and lagging strands
  • 15.
    15 Steps of DNAReplication (in E.coli) a) dnaA protein detects and bind to oriC. b) A complex of 3 proteins: dnaA, B and C bend and open the d-helix (dna B is a helicase). c) Single strand parts are stabilized by S.S.B. Protien. d) DNA-Gyrase forms -ve supercoil to facilitate unwinding and replication. I- Unwinding the Origin Site (oriC): II- Synthesis of RNA-primer by primase ( 5 nucleotide III- DNA-Polymerase III start synthesis of DNA The leading strand is synth. Continuously, while the lagging strand is synth., as Okazaki fragments, both in the 5` 3` direction IV. Gaps between Okazaki fragments are filled by DNA polymerase I - then joined by DNA ligase.
  • 16.
  • 17.
    17 Genetic Mutation 1. Insertion2. Deletion 3. Substitution (point mutation) most common: a) Transition: Substitution of one purine by another purine or pyrimidine by the other. b) Transversion: Purine Pyrimidine
  • 18.
    18 Repair of mutation:Examples 1. The complementary structure of DNA ensures the damage in one strand will be repaired in later replication. 2. Removal of pyrimidine dimers (caused by UV) 3. Mismatch Repair: (in E.coli)
  • 19.
    19 Many cancers arecaused by defective Repair of Mutation: 1. Xeroderma Pigmentosum: • Skin very sensitive to light lead to skin cancer. Cause is defective uvr ABC enzyme. 2. Heriditary nonpolyposis Colorectal cancer (HPCC) • Result from defective mimtach repair (1 in 200 people). Mutation in 2 genes hMSH2 and hMLH1 account for most cases of HPCC. • hMSH2 and hMLH1 in human are counterparts of MutS & MutL in E..coli.
  • 20.
    20 D) RNA Synth.(Transcription) & Splicing Flow of genetic information: DNA (genes) mRNA Proteins Structure of RNA: A polymer of ribonucleotides joined by 3` 5` Phosphodiester bonds. Similar to DNA except: i) It is single strand ii) Contains Uracil (no thymine) iii) Contains ribose instead of deoxyribose iv) No Nuclease activity chance of mistake 10-4 . Compare with replication of DNA 10-10 Types of RNA in E.Coli Type % amount # of Nucleotides Ribosomal RNA (rRNA) 80 120-3700 Transfer RNA (tRNA) 15 75 Messenger RNA (mRNA) 5 1200-5000  → ionTranscript  → nTranslatio
  • 21.
    21 Function of RNA: a)mRNA: A template for protein synth. (Translation) b) tRNA (carry amino acids in an activated form to the ribosome for peptide bond formation. c) rRNA: 5S, 16S&23S rRNAs play a Central role in protein synthesis. Ribosome: Site of protein synthesis • A complex assembly of rRNA and ~50 diff. Proteins. In E.coli, all RNAs are synth. By RNA-polymerase which requires: i) A template (DNA), ii) ATP, GTP, UTP and CTP. • RNA-polymerase catalyse both initiation and elongation of RNA.
  • 22.
    22 RNA-Polymerase takes instructionsfrom a DNA template Transcription begins near promotor sites and ends at terminator sites. tRNA is the adoptor molecule in protein synthesis. Hair Pin Termination Signal tRNA
  • 23.
    23 The Genetic Code •Amino acids are coded by groups of 3 bases. • Features: i) The code is degenerate, i.e. most a.as are coded by more than one codon (triplet). ii) The code is non-overlapping. iii) The sequence of bases is read from a fixed point.
  • 24.
  • 25.
    25 Mechanism of RNASynth. (in E.coli) 1. Initiation: • δ- subunit of RNA-polymerase recognize and binds to promoter site of DNA template. • A strong promoter site: one very close to the consensus sequence. (Fast transcription one every 2 sec. • Weak promoter: seq. Deviate from concensus Seq. (slow transcription ~ 10 min). • RNA - polymerase unwinds 2-turns of template DNA. • RNA-chain start with G or A, in 5` 3` direction 2. Elongation: start after first bond • δ-subunit dissociate. • -Newly synth. RNA form d. helix with template strand.
  • 26.
    26 3. Termination: • AnRNA hair pin followed by several U residue lead to termination of transcription. • The hair pin structure is specified by a palindromic G-C-rich followed by A-T-rich region on template. • The RNA-DNA hybrid dissociate and Nascent RNA released. Rifampicin & actinomycin antibiotics inhibit transcription.
  • 27.
    27 Transcription in Eukaryotes •Transcription occurs inside organells • Transcription and translation are separated in time and space which enables eukaryotes to regulate gene expression more intricately which contribute to the richness of eukaryotic form and function. • Primary RNA mRNA. i) A cap is added at end and a poly A tail. ii) Eukaryotic genes contain coding sequences (Exons) & non-coding (intervening) sequences (introns). Introns of primary transcripts are cut off and exons are spliced to form mRNA.  → extensive processing Exon Exon
  • 28.
    28 RNA in Eukaryotesis synth. By 3 kinds of RNA-polymerase (I, II & III) Many transcription factors (proteins) interact with promoter - sites. Enhancer sequences can stimulate Transcription at start sites thousands of bases away. Splice sites are specified by sequences at ends of introns.
  • 29.
  • 30.
  • 31.
    31 E) Protein Synthesis (Translation) 1.Amino acid Activation nTerminatio ElongationinitiationChainactivationa.a. ↓ →→ 2. Initiation Synthetase RNAAminoacylttRNAa.a. tRNAa.a.  →+
  • 32.
    32 Initial Stage Steps ofChain Elongation
  • 33.
  • 34.
    34 4. Termination: • Normalcells do not contain tRNAs with anticodons complementary to UAA, UGA or UAG (stop codons). • Instead of these codons are recognized by release factors RF1 recognizes UAA & UAG. RF2 recongizes UAA & UGA. • Binding of a release factor to a stop codon in the A site activates the hydrolysis of the bond between the polypeptide and the tRNA in the P-site. The detached polypeptide leaves the ribosome, followed by tRNA and mRNA. Antibiotics: Puromycin, Streptomycin, Tetracyclin, Chloramphenicol & Erythromycin inherit protein synthesis 3. Elongation Stage:
  • 35.