実験数学 3
(大阪大学理学部数学科 3 年・4 年)
第 9 回: データ圧縮
鈴木 譲
大阪大学
2013 年 7 月 25 日
あらまし
一意復号可能性
エントロピーと平均符号長
符号化
A: 有限集合
{0, 1}∗: 有限の長さの 2 進列の集合
φ : A → {0, 1}∗ (符号化)
lφ : A → N が符号化 φ の長さ
x ∈ A に φ(x) ∈ {0, 1}l なる l ∈ N (長さ) を対応させる写像
φn
: An
→ {0, 1}∗
が n 次の符号化
xn = (x1, · · · , xn) ∈ An に φ(x1), · · · , φ(zn) を連結した長さ
n∑
i=1
lφ(zi ) の 2 進列 φ(x1) · · · φ(xn) ∈ {0, 1}∗ を対応させる写像
一意復号可能性
φ が一意復号可能
任意の n = 1, 2, · · · で、各 un, vn ∈ An について、
φn
(un
) = φn
(vn
) =⇒ un
= vn
r ∈ {0, 1}∗
は s ∈ {0, 1}∗
の語頭 (r ≺ s)
r が s の最初の部分の 2 進列
φ が瞬時復号可能
φ(u) ≺ φ(v) =⇒ u = v
例: A = {α, β, γ, δ}
▶ φa, φb, φc は一意復号可能
▶ φa, φb は瞬時復号可能
▶ φc は瞬時復号可能ではない。
▶ φ6
d (α, γ, α, δ, β, α) = φ6
d (δ, β, α, γ, α, α) = 011001100
x φa(x) φb(x) φc (x) φd (x)
α 00 0 0 0
β 01 10 01 10
γ 10 110 011 11
δ 11 111 111 01
(α, γ, α, δ, β, α) 001000110100 01100111100 00110111010 011001100
(δ, β, α, γ, α, α) 110100100000 11110011000 11101001100 011001100
φa
 
 
 
d
d
d
¨¨¨
r
rr
rrr
¨¨¨
0
1
0
1
0
1
α
β
γ
δ
φb
 
 
 
d
d
d
rrr
¨¨¨
$$$
ˆˆˆ
0
1
0
1
0
1
α
β
γ
δ
φc
 
 
 
d
d
d
rrr
rrr
ˆˆˆ
ˆˆˆ
0
1
1
1
1
1
α
β
γ
δ
φd
 
 
 
d
d
drrr
¨¨¨
rrr
0
1
0
1
1
α
δ
β
γ
瞬時復号可能 =⇒ 一意復号可能
命題
瞬時復号可能 =⇒ 一意復号可能
証明: φ が瞬時復号可能と仮定
符号化された後の系列 φ(x1) · · · φ(xn) ∈ φn(A) から
1. φ(x) ≺ φ(x1) · · · φ(xn) =⇒ x1 = x
φ(x1)φ(x2) · · · φ(xn) から φ(x1) を取り除く
2. φ(x) ≺ φ(x2) · · · φ(xn) =⇒ x2 = x
φ(x2)φ(x3) · · · φ(xn) から φ(x2) を取り除く
3. ......
符号化される前の系列 xn = (x1 · · · xn) ∈ An が一意
一意復号可能であるための同値な条件
定理
以下の 3 つの条件は同値である。
1. lφ が瞬時復号可能な符号化 φ の長さ
2. lφ が一意復号可能な符号化 φ の長さ
3. lφ が Kraft の不等式を満足:
∑
x∈A
2−lφ(x)
≤ 1
1. =⇒ 2. は,命題から。
2. =⇒ 3.
lmax := maxx∈A lφ(x)
αn(m) := #{xn ∈ An|
∑n
i=1 l(xi ) = m}
(
∑
x∈A
2−l(x)
)n
=
∑
x1∈A
2−l(x1)
· · ·
∑
xn∈A
2−l(xn)
=
∑
xn∈An
2−
∑n
i=1 l(xi )
=
n·lmax∑
m=1
αn
(m)2−m
φ が一意復号可能 =⇒ 重複がない =⇒ 各 n で αn(m) ≤ 2m
=⇒ 各 n で
∑
x∈A
2−l(x)
≤ (n · lmax )1/n
=⇒
∑
x∈A
2−l(x)
≤ 1
3. =⇒ 1.
∑
x∈A
2−lφ(x)
≤ 1 ⇐⇒
lmax∑
m=1
α1
(m) · 2−m
≤ 1
⇐⇒



α1(1) ≤ 2
α1(2) ≤ 2{2 − α1(1)}
α1(3) ≤ 2{22 − 2 · α1(1) − α(2)}
...
...
α1(lmax ) ≤ 2{2lmax −1 − 2lmax −2 · α1(1) − · · · − α1(lmax − 1)}
=⇒ 各レベル m に α1(m) 個の葉をもつ 2 進木 T が存在
=⇒ φ(x) から T のレベル lφ(x) の葉への 1 対 1 写像が存在
=⇒ lφ が瞬時復号可能な符号化 φ の長さ
エントロピーと平均符号長
PX (x): 事象 (X = x) の確率 (x ∈ A)
X のエントロピー H(X) と φ についての平均符号長 Elφ(X)
H(X) :=
∑
x∈A
−PX (x) log2 PX (x)
Elφ(X) :=
∑
x∈A
PX (x)lφ(x)
命題
H(X) ≤ Elφ(X) ≤ H(X) + 1
となる一意復号可能な符号化 φ が存在
証明: Q(x) := 2−lφ(x)
Elφ(X) =
∑
x∈A
−PX (x) log2 Q(x)
log x ≤ x − 1, x > 0 と Kraft の不等式より,左の不等式が成立:
∑
x∈A
PX (x) log
PX (x)
Q(x)
≥
∑
x∈A
PX (x)
{
1 −
Q(x)
PX (x)
}
= 1 −
∑
x∈A
Q(x) ≥ 0
lφ(x) := ⌈− log PX (x)⌉ (切上げ) は Kraft の不等式を満足し,
⌈− log PX (x)⌉ ≤ − log PX (x) + 1 より,右の不等式が成立。
ブロック符号化
Xn := (X1, · · · , Xn): 確率変数の列
事象 (Xi = xi ), (Xj = xj ), xi , xj ∈ A, i ̸= j が独立
PXn (xn), xn ∈ An: 事象 (Xn = xn) の確率
H(Xn
) :=
∑
xn∈An
−PXn (xn
) log PXn (xn
)
=
∑
xn∈An
−PXn (xn
)
n∑
i=1
log PX (xi )
=
n∑
i=1
∑
x∈A
−PX (xi ) log PX (xi ) = nH(X)
φ : An
→ {0, 1}∗
(n 次の符号化とは異なる)
lφ(xn
) := ⌈− log PXn (xn
)⌉
Q(xn
) := 2−lφ(xn)
, xn
∈ An
nH(X) ≤ Elφ(Xn
) ≤ nH(X) + 1
平均圧縮率
平均の長さを n で割った値
Elφ(Xn)
n
定理
Elφ(Xn)
n
→ H(X)
(n → ∞) で一意復号可能な符号化 φ : An → {0, 1}∗ が存在

データ圧縮

  • 1.
    実験数学 3 (大阪大学理学部数学科 3年・4 年) 第 9 回: データ圧縮 鈴木 譲 大阪大学 2013 年 7 月 25 日
  • 2.
  • 3.
    符号化 A: 有限集合 {0, 1}∗:有限の長さの 2 進列の集合 φ : A → {0, 1}∗ (符号化) lφ : A → N が符号化 φ の長さ x ∈ A に φ(x) ∈ {0, 1}l なる l ∈ N (長さ) を対応させる写像 φn : An → {0, 1}∗ が n 次の符号化 xn = (x1, · · · , xn) ∈ An に φ(x1), · · · , φ(zn) を連結した長さ n∑ i=1 lφ(zi ) の 2 進列 φ(x1) · · · φ(xn) ∈ {0, 1}∗ を対応させる写像
  • 4.
    一意復号可能性 φ が一意復号可能 任意の n= 1, 2, · · · で、各 un, vn ∈ An について、 φn (un ) = φn (vn ) =⇒ un = vn r ∈ {0, 1}∗ は s ∈ {0, 1}∗ の語頭 (r ≺ s) r が s の最初の部分の 2 進列 φ が瞬時復号可能 φ(u) ≺ φ(v) =⇒ u = v
  • 5.
    例: A ={α, β, γ, δ} ▶ φa, φb, φc は一意復号可能 ▶ φa, φb は瞬時復号可能 ▶ φc は瞬時復号可能ではない。 ▶ φ6 d (α, γ, α, δ, β, α) = φ6 d (δ, β, α, γ, α, α) = 011001100 x φa(x) φb(x) φc (x) φd (x) α 00 0 0 0 β 01 10 01 10 γ 10 110 011 11 δ 11 111 111 01 (α, γ, α, δ, β, α) 001000110100 01100111100 00110111010 011001100 (δ, β, α, γ, α, α) 110100100000 11110011000 11101001100 011001100
  • 6.
  • 7.
    瞬時復号可能 =⇒ 一意復号可能 命題 瞬時復号可能=⇒ 一意復号可能 証明: φ が瞬時復号可能と仮定 符号化された後の系列 φ(x1) · · · φ(xn) ∈ φn(A) から 1. φ(x) ≺ φ(x1) · · · φ(xn) =⇒ x1 = x φ(x1)φ(x2) · · · φ(xn) から φ(x1) を取り除く 2. φ(x) ≺ φ(x2) · · · φ(xn) =⇒ x2 = x φ(x2)φ(x3) · · · φ(xn) から φ(x2) を取り除く 3. ...... 符号化される前の系列 xn = (x1 · · · xn) ∈ An が一意
  • 8.
    一意復号可能であるための同値な条件 定理 以下の 3 つの条件は同値である。 1.lφ が瞬時復号可能な符号化 φ の長さ 2. lφ が一意復号可能な符号化 φ の長さ 3. lφ が Kraft の不等式を満足: ∑ x∈A 2−lφ(x) ≤ 1 1. =⇒ 2. は,命題から。
  • 9.
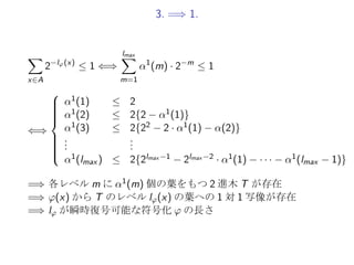
    2. =⇒ 3. lmax:= maxx∈A lφ(x) αn(m) := #{xn ∈ An| ∑n i=1 l(xi ) = m} ( ∑ x∈A 2−l(x) )n = ∑ x1∈A 2−l(x1) · · · ∑ xn∈A 2−l(xn) = ∑ xn∈An 2− ∑n i=1 l(xi ) = n·lmax∑ m=1 αn (m)2−m φ が一意復号可能 =⇒ 重複がない =⇒ 各 n で αn(m) ≤ 2m =⇒ 各 n で ∑ x∈A 2−l(x) ≤ (n · lmax )1/n =⇒ ∑ x∈A 2−l(x) ≤ 1
  • 10.
    3. =⇒ 1. ∑ x∈A 2−lφ(x) ≤1 ⇐⇒ lmax∑ m=1 α1 (m) · 2−m ≤ 1 ⇐⇒    α1(1) ≤ 2 α1(2) ≤ 2{2 − α1(1)} α1(3) ≤ 2{22 − 2 · α1(1) − α(2)} ... ... α1(lmax ) ≤ 2{2lmax −1 − 2lmax −2 · α1(1) − · · · − α1(lmax − 1)} =⇒ 各レベル m に α1(m) 個の葉をもつ 2 進木 T が存在 =⇒ φ(x) から T のレベル lφ(x) の葉への 1 対 1 写像が存在 =⇒ lφ が瞬時復号可能な符号化 φ の長さ
  • 11.
    エントロピーと平均符号長 PX (x): 事象(X = x) の確率 (x ∈ A) X のエントロピー H(X) と φ についての平均符号長 Elφ(X) H(X) := ∑ x∈A −PX (x) log2 PX (x) Elφ(X) := ∑ x∈A PX (x)lφ(x) 命題 H(X) ≤ Elφ(X) ≤ H(X) + 1 となる一意復号可能な符号化 φ が存在
  • 12.
    証明: Q(x) :=2−lφ(x) Elφ(X) = ∑ x∈A −PX (x) log2 Q(x) log x ≤ x − 1, x > 0 と Kraft の不等式より,左の不等式が成立: ∑ x∈A PX (x) log PX (x) Q(x) ≥ ∑ x∈A PX (x) { 1 − Q(x) PX (x) } = 1 − ∑ x∈A Q(x) ≥ 0 lφ(x) := ⌈− log PX (x)⌉ (切上げ) は Kraft の不等式を満足し, ⌈− log PX (x)⌉ ≤ − log PX (x) + 1 より,右の不等式が成立。
  • 13.
    ブロック符号化 Xn := (X1,· · · , Xn): 確率変数の列 事象 (Xi = xi ), (Xj = xj ), xi , xj ∈ A, i ̸= j が独立 PXn (xn), xn ∈ An: 事象 (Xn = xn) の確率 H(Xn ) := ∑ xn∈An −PXn (xn ) log PXn (xn ) = ∑ xn∈An −PXn (xn ) n∑ i=1 log PX (xi ) = n∑ i=1 ∑ x∈A −PX (xi ) log PX (xi ) = nH(X)
  • 14.
    φ : An →{0, 1}∗ (n 次の符号化とは異なる) lφ(xn ) := ⌈− log PXn (xn )⌉ Q(xn ) := 2−lφ(xn) , xn ∈ An nH(X) ≤ Elφ(Xn ) ≤ nH(X) + 1 平均圧縮率 平均の長さを n で割った値 Elφ(Xn) n 定理 Elφ(Xn) n → H(X) (n → ∞) で一意復号可能な符号化 φ : An → {0, 1}∗ が存在