Topology of musical dataTopology of musical data
~introduction to Persitent homology and TDA~~introduction to Persitent homology and TDA~
プログラマのための数学勉強会2015/07/24
@simizut22
⾃自⼰己紹介⾃自⼰己紹介
元 topology cluster
現 c++er
数理計画がお仕事
荷物を積む
ときどきグラフの対称性
やっぱり荷物を積む
*第 3 回 プログラマのための数学勉強会
中の⼈人です中の⼈人です
続続・・⾃自⼰己紹介⾃自⼰己紹介
後⽇日こちらの池⽥田後⽇日こちらの池⽥田ァァッァァッ先輩に指摘されました先輩に指摘されました
発表後,怒られた発表後,怒られた((⾯面⽩白いので消さない⾯面⽩白いので消さない))
ちなみに今朝の僕ちなみに今朝の僕
contentscontents
⾳音楽の空間
Persistent homology
applying to music
1.1. ⾳音楽の空間⾳音楽の空間
リズム~ネックレス記法~
1. event 間距離
2. event 列の距離
ピッチ(⾳音の⾼高低)
1. ピッチクラス距離
2. コードクラス距離
notation1notation1
R :
Z :
実数全体のなす空間
整数全体のなす空間
S :n
次元球⾯面n
特に
S = R/Z1
i.e. [x] = [y] ⇔ x − y ∈ Z
T = S × ... × Sn 1 1
notation2notation2
: symmetric group∑n
Z = Z/nZn
C = ⟨σ⟩ ∈ 2 ∣σ ≠ id (0 < k < n)n { Σn k
}
G ∈ Σ , G ≅ Zn n
すなわち,
なるもの全体を集めたもの
補⾜足補⾜足・・対称群対称群
n 次対称群
・ n 個の要素を purmute するすべての⽅方法
・あみだくじで考えるとわかりやすい
・積: 2つのあみだを縦につなげる
・逆元: あみだの上下を逆転させる
・世の中のどこにでも表れてくる
例例((全くの蛇⾜足全くの蛇⾜足))
G = (V , E) : graph with ∣V ∣ = n
Σ ↷ Gnこのとき,頂点の名前の付け替えにより
Text
辺の接続を保存するものをグラフの同型と⾔言う
補⾜足:群作⽤用補⾜足:群作⽤用・・軌道分解軌道分解・・商空間商空間
X ↶ G : action of G on X
このとき,次のような軌道分解ができる
X = x ⋅ g∣g ∈ G⨆λ∈Λ { λ }
各軌道を要素とした空間
i.e. 同じ軌道上の点を同⼀一視した空間を商空間といい
X/G
と書く
群作⽤用の例群作⽤用の例
R/Z = S1
R /Z ≅ C/⟨1, ω⟩ ≅ T2 2
Z
2
X = X × ... × X ↶n
∑n
空間 X が与えられたとき
に対称群の(右)作⽤用が定まる
i.e. (x , ..., x ) ⋅ σ = (x , ..., x )1 n σ (1)−1 σ (n)−1
ex1.
ω ∈ C, im(ω) > 0 : givenex2.
ex3.
距離の定義距離の定義
d : X × X → R≥0 が距離が距離
⇔ 1. x = y ⇔ d(x, y) = 0
2. d(x, y) = d(y, x) (x, y ∈ X)
3. d(x, y) + d(y, z) ≤ d(x, z)
例例
euclid distance in RN
hyperbolic distance in HN
elliptical distance in SN
1.11.1 リズムのネックレス記法リズムのネックレス記法
necklace notation**[1]
1 周が⼀一つの"Rhythm"
○: ⾳音の発⽣生 point
・Safi al-Din al-Urmawi(1216 - 1294)
 がおそらく最初に提唱
・アフリカン⾳音楽に対し特に適切
 Willie Anku(2000)
1.1.1 rhythm1.1.1 rhythm のの ネックレス距離ネックレス距離
def 1.1(necklace distance)
d (f, g) = min(s, 1 − s)N
where s = ∣f − g∣ mod Z
def 1.2(rhythm distance)
f, g ∈ Tn
d (f, g) = min d (f , g )R ⟨σ⟩∈Cn
∑i=1
n
N i σ(i)
1.1.2 rhythm1.1.2 rhythm の距離の距離
2 つの event タイミング列 (f ) , (g )i i=i
n
i i=1
n
は巡回させて⼀一番近いのを考えるのが⾃自然だね
1.21.2 ピッチクラスピッチクラス
・C→C# と G#→A は同じ距離
log の⽅方が better
・1 オクターブの差は同じ
cyclic なモデル
この考えで距離を導⼊入
1.2.1 pitch1.2.1 pitch クラス距離クラス距離
def 2.1(pitch class distance)
d (f, g) = min(s, 1 − s)PC
where s = ∣log (f) − log (g)∣ mod Z2 2
def(pitch class)(Rahn 80)′
f, g ∈ R = x ∈ R∣x > 0+ { }
d (f, g) = 0PC による同値類
和⾳音和⾳音(chord)(chord)はどうしようかはどうしようか
三和⾳音
root と、root の3度上の⾳音(第3⾳音)
と、root の5度上の⾳音(第5⾳音)の3つ
の⾳音から成る和⾳音
四和⾳音(または七の和⾳音)
三和⾳音に、root の7度上の⾳音(第7⾳音
という)を加えた和⾳音
五和⾳音(または九の和⾳音)
四和⾳音に、root の9度上の⾳音(第9
⾳音)を加えた和⾳音
ref: https://ja.wikipedia.org/wiki/%E5%92%8C%E9%9F%B3
ここで僕みたいに⾳音楽を知らない⼈人向け
要はいくつかの⾳音を同時に出すみたいだ
和⾳音和⾳音(chord)(chord)はどうしようかはどうしようか
⾳音の重ね合わせなのだから,⾜足せばいいのでは??
愚直に定義してみる
def(mistake)
f = (f ) , g = (g )i i=1
n
i i=1
n
d (f, g) = d (f , g )′
∑i=1
n
PC i i
転回(involution) しても同じと考えたいときには,これではまずい
*区別することもあるようだが,今回は転回も同じとする⽴立場で考える
1.2.2 chord1.2.2 chordクラス距離クラス距離
def 2.2(chord class distance)
d (f, g) = min d (f , g )CC σ ∑i=1
n
PC i σ(i)
for f, g ∈ Tn
where σ goes through ∑n
(f )i i=1
n と書いてはいるが,この index は本質でない
対称群の作⽤用で不変な距離にしよう
練習問題練習問題
先ほど定義したそれぞれの関数が
三⾓角不等式(定義3 番⺫⽬目の条件)
を満たすことを確認する
1.1. ⽣生息する空間⽣生息する空間
for X : space
n-重積空間 X ∋ fn
と書くX
の添え字付を無視した空間を
の n-次対称積といい
Sp (X) = X /n
n
∑n
def(symmetric product)
Sp (X)n
**remark:対称積は要素数 n 以下のなす集合とは違い multiplicity も含むので注意
1.1. ⾳音楽が⽣生息する空間⾳音楽が⽣生息する空間
G ⊂ : subgroup∑n に対し
Sym (X) = X /Gn
G n
と書くことにする
Sym (X) = Sp (X)n
G
n
G = ∑n例1.
例2. G = ∗
Sym (X) = Xn
G n
例3. G = ∑n−1
Sym (X) = Sp (X) × Xn
G
n−1
1.1. ⾳音楽が⽣生息する空間⾳音楽が⽣生息する空間
先ほどの距離空間の議論から...
Sym (S )n
Zn 1rhythm のなす空間の⽣生息地:
和⾳音のなす空間の⽣生息地: Sp (S )n
1
実データだと...
n 固定ならいいけど,n 混ざったらどうすんの??
n=∞ にすると⼤大きすぎる
サンプルデータから空間を再現しよう
機械学習する??
Topological Data AnalysisTopological Data Analysis しようしよう
2.1.2.1. まずはまずはhomologyhomology
簡単のため
def 2.1.1(simplex)
R (N : large)N
内の単体複体のみ考える
RN p , p , ..., p0 1 kの k+1 点 が線形独⽴立な k ベクトル
, ...,p p0 1⃗ p p0 k⃗ を与えるとき,凸集合
λ p ∈ R ∣λ ≥ 0, λ = 1{∑ i i
N
i ∑ i }
を k 単体と⾔言い ⟨p , ..., p ⟩0 k で表す
faceface
τ = ⟨p , ..., p ⟩ n simplex0 n に対し
σ = ⟨p , ..., p ⟩ where i , ..., i ⊂ [n]i0 ik
{ 0 k}
を k-次元の face と⾔言い, σ ≺ τ と書く
標準単体とそのface
def 2.1.1(simplicial complex)
RN
内の有限個の単体の集まり K が次を満たすとする
1. τ ∈ K, σ ≺ τ ⇒ σ ∈ K
2. τ, σ ∈ K ⇒ τ ∩ σ ≺ λ(λ = τ, σ)
を単体複体というKこのような
2 は単体通しの張り合わせがうまくいくことを表している
2.1.2 chain complex2.1.2 chain complex
K : simplicial complex
K = rank k simplicesk { }
R = Z, k[x]係数環を で固定して以下議論する
C (K) = R⟨K ⟩ = r ⋅ σk k {∑r∈R,σ∈Kk
}
C (K) = C (K)∗ { k }k
def(chain complex)
d : C (K) → C (K)k k k−1
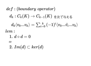
def : (boundary operator)
を次で与える
d ⟨v ...v ⟩ = (−1) ⟨v ... ...v ⟩k 0 k ∑i=0
k i
0 vi^ k
lem :
1. d ∘ d = 0
so
2. Im(d) ⊂ ker(d)
def : (homology)
H (K) = Z (K)/B (K) : homologyk k k
Z (K) = ker(d ) ⊂ K : cyclek k k
B (K) = Im(d ) ⊂ C (K) : boundaryk k+1 k
lemma の 2 から次の定義ができる
chain complexchain complex があればがあれば
homologyhomology ができるができる
2.1.32.1.3 ⾃自然性⾃自然性((関⼿手性関⼿手性))
def(chain map)
K, L : chain complex
f = (f : K → L ) is chain mapk k k
⇔ f ∘ d = d ∘ f
prop
f : K → L is chain map
⇒ f induce f : H (K) → H (L)∗ ∗ ∗
K ⊂ L : subcomplex
特に下の包含写像 
2.2. persistent homology2.2. persistent homology
・homology は空間 chain 複体により定義できた
・homology は空間の⽳穴を検出する
・persistent homology は単体複体の増加列により定まる
・persistent homology は単体の⽣生成と消滅を検出
2.2.12.2.1 定義頑張れ定義頑張れ
: K ⊂ K ⊂ ... ⊂ K ⊂ ...K 0 1 t
単体複体の filtration: given
2. C (K ) = Z σ : free Z modulek
t
∑σ∈Kk
t 2 2
def
1. T(σ) = t ⇔ σ ∈ K Kt t−1
4. x : C ( ) → C ( ) : action of xk K k K
3. C ( ) = C (K )k K ⨁t k
t
x(c , c1, ..) = (0, c , c , ...) : right shift0 0 1
2.2.12.2.1 定義頑張る定義頑張る
def
i : C (K ) → C ( )t k
t
k K
i (σ) = (0, 0, ⋯ , σ, 0, ⋯)t
を次で定義する
k-chain group C ( )k K は基底として次を持つ(ex)
Θ = e = i (σ)∣σ ∈ Kk { σ T(σ) k}
d : C( ) → C( )K K
de = (x )eσ ∑i=0
k T(σ)−T(σ )i
σi
2.2.12.2.1 頑張る頑張る
prop
1. d (C (K )) ⊂ C (K )k k
t
k−1
t
2. d ∘ d = 0
(C ( ), d) is a chain complex∗ K
cor
みなさん,お疲れ様です
僕はもっと疲れました
def(Persitent Homology)
やっと定義やっと定義
: K ⊂ K ⊂ ... ⊂ K ⊂ ...K 0 1 t
PH ( ) = H (C( , d))∗ K ∗ K
単体複体の filtration
に対し,Persitent Homology を次で与える
実は,chain map に関する⾃自然性を使っても定義できる...
異なる定義異なる定義
i : K → K (i < j) : inclusion(chain)i,j
i j
がchain map である事より次の準同型が誘導される
φ = H (i ) : H (K ) → H (K )p
i,j
p
i,j
p i p j
γ ∈ Im(φ )p
i,j
を persistent homology class と呼ぶ
⽣生成消滅と⽣生成消滅とindexindex
def(born, death, index)
a)γ ∈ H (K ) is born at K ⇔ γ ∉ Im(φ )p i i p
i−1,i
i.e. γ is not a persistent
b) γ : born at K dies entering Ki j
1. φ (γ) ∈ Im(φ )i,j i−1,j
2. φ (γ) ∉ Im(φ )i,j−1 i−1,j−1
c) for γ : born at K dies entering Ki j
(index persistence of γ) = j − i
born at K since it does not lie in the image of K ,i i−1
dies entering K since this is the first time its image merges into the image of Kj i−1
続続・・⽣生成消滅⽣生成消滅
3. apply to music3. apply to music
定義はわかった
filatration がいるんだな
え,どうしよう...
⼤大丈夫,そのために距離を⼊入れたんだ
単体複体の例単体複体の例
Čech
Vietoris-Rips
alpha
wrap
witness
参照: The Morse theory of Čech and Delaunay filtrations
3.2. Vietris-Rips3.2. Vietris-Rips 複体複体
P = x ⊂ R{ i}i=1
m N
sample dataとする
B (x ) = y ∈ R ∣d(x , y) < r : open ballr i { N
i }
として,単体複体 R(P, r) = (V , Σ)
を以下のように定める
V = 1, .., m{ }
Σ = i , .., i ⊂ V ∣B (x ) ∩ B (x ) ≠ ϕ{{ 0 k} r is r it
}
r < r ⇒ R(P, r ) ⊂ R(P, r )0 1 0 1
明らかに
3.2. Vietris-Rips3.2. Vietris-Rips 複体複体
ϵ : small ⇒ R(P, ϵ) is discrete
r : large ⇒ R(P, r) is connected
⾳音楽の例では空間が有界なので
半径の列を取ることで 複体の filtration が作れる
データの距離matrix→⾃自然にfiltrationは作れる
やったね(^^)/
ごめんなさい.ごめんなさい.
実際の実際のapplyapply を紹介する⼒力を紹介する⼒力
が付きましたが付きました
具体的な計算には具体的な計算には......
⽅方法1. 境界作⽤用素の smith 標準形を計算
→chain complex の size に⾮非常に弱くなる
betti数など特別な位相不変量が欲しいのであれば
⽅方法2. discrete morse theory を前処理に⼊入れる
→chain complex のサイズを⼩小さくする
⽅方法3(bar-code)
⼀一番メジャーな気がする
⽅方法4(ちょっと最近の話し)
well-group と⾔言うのを考える
well-group(advanced-topic)well-group(advanced-topic)
def(well − group)
Im[Φ : H (f (U)) → H (f (U))]∗
c −1
∗
−1
M : compact oriented mfdm
f : X → M
w/ Φ = ∩f (ω), ω is Poincare dual to[M]∗
is called well group
well-group(advanced-topic)well-group(advanced-topic)
Prop :
1. well group is common in fibres above U
i.e. persistent over U
2. well group is stable up to homotopy of f
well-group やそれを⽤用いた etalage を使うとよさげ
参考:homology and robustness of level and interlevel sets
http://pub.ist.ac.at/~edels/Papers/2013-J-04-InterlevelSets.pdf​
softwaresoftware
1.
2.
3.
4.
5.
6.
7.
javaplex
Dionysus
Perseus
PHAT
Gudhi
phom
TDA
Hall, Rachel Wells.
"Geometrical music theory."
SCIENCE-NEW YORK THEN WASHINGTON- 320.5874 (2008): 328.
Sethares, William A., and Ryan Budney.
"Topology of musical data."
Journal of Mathematics and Music 8.1 (2014): 73-92.
Bergomi, Mattia G., and Alessandro Portaluri.
"Modes in modern music from a topological viewpoint."
arXiv preprint arXiv:1309.0687 (2013).
参考⽂文献参考⽂文献
教科書教科書
→
平岡 裕章
タンパク質構造とトポロジー: パーシステントホモロジー群⼊入⾨門
共⽴立出版, 2013
Edelsbrunner, Herbert
A Short Course in Computational Geometry and Topology
Springer, 2014.
Edelsbrunner, Herbert, and John Harer
Computational topology: an introduction
American Mathematical Soc., 2010. pdf lnk

topology of musical data