有限群上の表現論
M1 seminar 03
Text:Fourier Analysis on Finite Group and applications
Audrey Terras 1999
M1 Tamura Takumi 2016/May/09 Monday
1
p.243
定義1:同値な表現
・𝛼, 𝛽: 𝐺 → 𝐺𝐿 𝑛, ℂ が同値 ⇔ ∃𝑇 ∈ 𝐺𝐿 𝑛, ℂ , 𝑇𝛼 𝑔 𝑇−1 = 𝛽 𝑔 , ∀𝑔 ∈ 𝐺
つまり,𝛼 𝑔 と𝛽 𝑔 は行列の共役関係を満たしている.
𝛼 𝑔 ~𝛽 𝑔 , ∀𝑔 ∈ 𝐺
これはベクトル空間ℂ 𝑛上の基底を変えることで
𝛼(𝑔) ↦ 𝛽(𝑔), 𝛽(𝑔) ↦ 𝛼(𝑔)
と対応づけができることを意味している.
2
𝑇:座標変換行列 𝑇 ∈ 𝐺𝐿 𝑛, ℂ
ℂ 𝑛
)𝛼(𝑔
ℂ 𝑛
𝑇 ↓ ↻ ↓
ℂ 𝑛
)𝛽(𝑔
ℂ 𝑛
𝑇
𝛽 𝑔 𝑇 = 𝑇𝛼 𝑔 ∴ 𝛽 𝑔 = 𝑇𝛼 𝑔 𝑇−1
3
定義2:ユニタリ表現𝜋の定義
• 群𝐺からユニタリ群𝑈(𝑛)への表現𝜋のことである.
𝜋: 𝐺 → 𝑈(𝑛)
ただし,𝑈 𝑛 = 𝐴 ∈ 𝐺𝐿(𝑛, ℂ)|𝐴∗ 𝐴 = 𝐼 𝐴∗: 複素共役転置
ℂ 𝑛 ∋ 𝕦 =
𝑢1
⋮
𝑢 𝑛
, 𝕧 =
𝑣1
⋮
𝑣 𝑛
上の標準エルミート内積の定義:
𝕦, 𝕧 : = 𝕦∗
𝕧 = 𝑢1, … , 𝑢 𝑛
𝑣1
⋮
𝑣 𝑛
=
𝑖=1
𝑛
𝑢𝑖 𝑣𝑖
• ユニタリ行列は標準エルミート内積を変えない.
𝐴𝕦, 𝐴𝕧 = 𝕦, 𝕧 , ∀𝕦, 𝕧 ∈ ℂ 𝑛
4
演習問題1: 𝐴∗
𝐴 = 𝐼 ⟺ 𝐴𝕦, 𝐴𝕧 = 𝕦, 𝕧 , ∀𝕦, 𝕧 ∈ ℂ 𝑛
を示せ.
証明:∀𝕦, 𝕧 ∈ ℂ 𝑛
に対して,
𝐴𝕦, 𝐴𝕧 = 𝐴𝕦 ∗ 𝐴𝕧 = 𝕦∗ 𝐴∗ 𝐴𝕧 = 𝕦∗ 𝐼𝕧 = 𝕦∗ 𝕧 = 𝕦, 𝕧
定義3:部分表現
表現𝜋: 𝐺 → 𝐺𝐿(𝑉)の部分表現𝜌とは𝜌: 𝐺 → 𝐺𝐿(𝑊)である.
ただし,𝑊は𝑉の𝜋 𝑔 不変部分空間:∀𝑔 ∈ 𝐺, 𝜋 𝑔 𝑊 ⊂ 𝑊
𝜋 𝑔 𝑊 = 𝜋 𝑔 𝕨 𝕨 ∈ 𝑊}
𝜌(𝑔)は𝜋 𝑔 の𝑊への制限写像である.すなわち,
𝜋 𝑔 | 𝑊 = 𝜌 𝑔 ∀𝑔 ∈ 𝐺
5
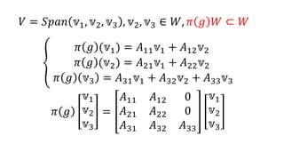
定義3を行列の言葉に翻訳する
• 以下のような𝑉の基底𝕧1, … , 𝕧 𝑛が取れる.
𝑉 = 𝑆𝑝𝑎𝑛 𝕧1, 𝕧2, … , 𝕧 𝑘, 𝕧 𝑘+1, … , 𝕧 𝑛 , 𝑊 = 𝑆𝑝𝑎𝑛 𝕧1, 𝕧2, … , 𝕧 𝑘
𝜋 𝑔 𝑊 ⊂ 𝑊, 𝜋 𝑔 𝑊 = 𝜋 𝑔 𝕨 𝕨 ∈ 𝑊}
この時,𝜋 𝑔 の表現行列は
𝜌(𝑔) ∗
0 ∗
という形式になる. ただし,𝑆𝑝𝑎𝑛 𝕧1, 𝕧2, … , 𝕧 𝑛 ≔ 𝑖=1
𝑛
𝑥𝑖 𝕧𝑖 |𝑥𝑖 ∈ ℂ
定義4:既約表現
表現𝜋の部分表現が𝜋自身と0しか存在しない時, 𝜋は既約表現とよぶ.
有限群の場合,全ての表現は既約表現の直和になる(後述).
6
𝑉 = 𝑆𝑝𝑎𝑛 𝕧1, 𝕧2, 𝕧3 , 𝕧1, 𝕧2 ∈ 𝑊, 𝜋 𝑔 𝑊 ⊂ 𝑊
𝜋 𝑔 (𝑥1 𝕧1) = 𝑥1 𝐴11 𝕧1 + 𝑥1 𝐴21 𝕧2
𝜋 𝑔 (𝑥2 𝕧2) = 𝑥2 𝐴12 𝕧1 + 𝑥2 𝐴22 𝕧2
𝜋 𝑔 𝑥3 𝕧3 = 𝑥3 𝐴13 𝕧1 + 𝑥3 𝐴23 𝕧2 + 𝑥3 𝐴33 𝕧3
𝜋 𝑔
𝑥1
𝑥2
𝑥3
=
𝐴11 𝐴12 𝐴13
𝐴21 𝐴22 𝐴23
0 0 𝐴33
𝑥1
𝑥2
𝑥3
𝑥𝑖, 𝐴𝑖𝑗 ∈ ℂ, 𝑖 = 1,2,3, 𝑗 = 1,2,3
7
p.244
命題1:有限群𝑮の表現はユニタリ表現と同値.
Proof: まず,記号を用意する.
𝑐 𝕦, 𝕧 : 正定値エルミート内積. 𝑐 𝕦, 𝕧 の満たすべき性質
1 𝑐 𝕦, 𝕧 は𝕧を固定した時,𝕦に関して線形
2 𝑐 𝕦, 𝕧 = 𝑐 𝕧, 𝕦 ; 𝑐 𝕦, 𝕦 ≥ 0; 𝑐 𝕦, 𝕦 > 0 𝑖𝑓 𝑢 ≠ 𝕠
𝕖1, … , 𝕖 𝑛 : ℂ 𝑛の標準単位基底ベクトル
このとき,𝑛 × 𝑛行列𝐶 = 𝑐(𝕖𝑖, 𝕖𝑗) とすると,
𝐶: 正定値エルミート行列 ∵ 𝑐 𝕖𝑖, 𝕖𝑗 = 𝑐(𝕖𝑗, 𝕖𝑖)
𝑐 𝕦, 𝕧 = 𝕦∗ 𝐶𝕧
8
正定値エルミート行列の定義.
𝐻がエルミート行列 ⟺ 𝐻∗ = 𝐻
𝐶が正定値エルミート行列 ⟺ 𝐶∗
= 𝐶 かつ ∀𝕦 ∈ ℂ 𝑛
, 𝕦∗
𝐶𝕦 > 0
Note:固有値と正定値性の関係
𝑛 × 𝑛 エルミート行列𝐶の全ての固有値𝑑1, … , 𝑑 𝑘が𝑑1 > 0, … , 𝑑 𝑘 > 0
⇕
𝐶が正定値エルミート行列
9
Proof 1.1:
𝐶は正定値エルミート行列なので,ある正定値エルミート行列𝑅で
𝐶 = 𝑅2 ⋯ 2
と表せる.
命題1.1: 𝑐 𝑀𝕦, 𝑀𝕧 = 𝑐 𝕦, 𝕧 ⇒ 𝑀はあるユニタリ行列𝑈と共役.
すなわち,𝑀∗ 𝐶𝑀 = 𝐶 ⇒ ∃𝑈 ∈ 𝑈 𝑛 , ∃𝐴 ∈ 𝐺𝐿 𝑛, ℂ , 𝑀 = 𝐴−1 𝑈𝐴.
命題1を証明する前に,以下の命題1.1を証明する.
10
なぜなら,𝐶はエルミート行列なので,あるユニタリ行列𝑈で対角化可能(スペクトル定理).
𝐶 = 𝑈∗
𝑑1 0
⋱
0 𝑑 𝑛
𝑈, 𝐶が正定値なので𝑑𝑗 > 0,𝑑𝑗: 𝐶の固有値
∴ 𝑅 = 𝑈∗
𝑑1 0
⋱
0 𝑑 𝑛
𝑈, 𝐶 = 𝑅2, 𝑅∗ = 𝑅
さて,(1)式より,𝑀∗ 𝐶𝑀 = 𝐶. 2 式より, 𝑀∗ 𝑅∗ 𝑅𝑀 = 𝑅∗ 𝑅
∴ 𝑅∗−1
𝑀∗
𝑅∗
𝑅𝑀𝑅−1
= 𝑅∗−1
𝑅∗
𝑅𝑅−1
= 𝐼
∴ 𝑀′
= 𝑅𝑀𝑅−1
𝑖𝑠 𝑢𝑛𝑖𝑡𝑎𝑟𝑦.
∴ 𝑀はユニタリ行列と共役.■
11
命題1の証明に戻る.
𝑐 𝕦, 𝕧 ≔
𝑔∈𝐺
𝜋 𝑔 𝕦, 𝜋 𝑔 𝕧 , 𝕦, 𝕧 は標準エルミート内積
𝑐 𝕦, 𝕧 は正定値エルミート内積
∵ ∀𝕦 ∈ ℂ 𝑛
, 𝕦, 𝕦 = 𝕦∗
𝕦 = 𝕦 2
> 0
𝑐 𝜋 ℎ 𝕦, 𝜋 ℎ 𝕧 =
𝑔∈𝐺
𝜋 𝑔 𝜋(ℎ)𝕦, 𝜋 𝑔 𝜋(ℎ)𝕧 =
𝑔∈𝐺
𝜋 𝑔ℎ 𝕦, 𝜋 𝑔ℎ 𝕧
=
𝑘∈𝐺
𝜋 𝑘 𝕦, 𝜋 𝑘 𝕧 = 𝑐 𝕦, 𝕧
∵ 和
𝑔∈𝐺
の中でℎは固定されているので,𝑔ℎを新たに𝑘と置いて
𝑘についての総和に変えてもよい
12
∴ 𝑐 𝜋 ℎ 𝕦, 𝜋 ℎ 𝕧 = 𝑐 𝕦, 𝕧 , ∀ℎ ∈ 𝐺
この正定値エルミート内積の作り方が“Weyl’s unitary trick”
𝜋 ℎ ∗ 𝐶𝜋 ℎ = 𝐶, 𝜋 ℎ ∗ 𝑅∗ 𝑅𝜋 ℎ = 𝑅∗ 𝑅
𝑅−1 𝜋 ℎ ∗ 𝑅∗ 𝑅𝜋 ℎ 𝑅−1 = 𝐼, 𝑅𝜋 ℎ 𝑅−1 ∗ 𝑅𝜋 ℎ 𝑅−1 = 𝐼
∴ 𝜋′ ℎ = 𝑅𝜋 ℎ 𝑅−1 𝑖𝑠 𝑢𝑛𝑖𝑡𝑎𝑟𝑦.
∴ 𝜋 ℎ = 𝑅−1 𝜋′(ℎ)𝑅
よって,命題1.1より行列𝜋 ℎ はユニタリ行列𝜋′ ℎ と共役.
∴有限群𝑮の表現はユニタリ表現と同値■
13
p.245
定義4:群環(Group algebra)ℂ[𝐺]
有限群𝐺の元を基底とするℂ上の 𝐺 次元ベクトル空間.
ℂ 𝐺 ≔
𝑔∈𝐺
𝑓 𝑔 𝑒 𝑔 |𝑓 𝑔 ∈ ℂ, 𝑓: 𝐺 → ℂ
群環ℂ[𝐺]の基底は 𝑒 𝑔|𝑔 ∈ 𝐺 , 𝑒 𝑔 𝑒ℎ = 𝑒 𝑔ℎ
𝐿2
𝐺 = {𝑓: 𝐺 → ℂ}
𝐿2
𝐺 は有限群𝐺上の複素数値関数の集合
𝑎, 𝑏 ∈ 𝐿2
𝐺 の畳込み積∗
𝑎 ∗ 𝑏 𝑥 =
𝑡∈𝐺
𝑎 𝑥𝑡−1
𝑏(𝑡) =
𝑦∈𝐺
𝑎 𝑦 𝑏(𝑦−1
𝑥)
14
群環ℂ 𝐺 の演算:
1 加法+:
𝑔∈𝐺
𝑎 𝑔 𝑒 𝑔 +
𝑔∈𝐺
𝑏 𝑔 𝑒 𝑔 =
𝑔∈𝐺
(𝑎 𝑔 + 𝑏(𝑔)) 𝑒 𝑔
2 スカラー倍: 𝛼
𝑔∈𝐺
𝑓 𝑔 𝑒 𝑔 =
𝑔∈𝐺
𝛼𝑓 𝑔 𝑒 𝑔 , 𝛼 ∈ ℂ
3 積:
𝑔∈𝐺
𝑎 𝑔 𝑒 𝑔
ℎ∈𝐺
𝑏 ℎ 𝑒ℎ =
𝑘∈𝐺
𝑎 ∗ 𝑏 𝑘 𝑒 𝑘
群環ℂ 𝐺 は加法とスカラー倍によって,ベクトル空間の構造をもつ.
さらに,加法と畳み込みによる積の2つの演算によって,環の構造をもつ.
15
𝐿2
𝐺 = {𝑓: 𝐺 → ℂ}の演算:
1 加法+: 𝐿2 𝐺 ∋ 𝑎 𝑔 , 𝑏 𝑔 に対して,𝑎 𝑔 + 𝑏 𝑔 ∈ 𝐿2(𝐺)
2 スカラー倍: 𝐿2 𝐺 ∋ 𝑓 𝑔 , ℂ ∋ 𝛼に対して,𝛼𝑓(𝑔) ∈ 𝐿2(𝐺)
3 積 ∗: 𝐿2 𝐺 ∋ 𝑎 𝑔 , 𝑏 𝑔 に対して, 𝑎 ∗ 𝑏 𝑔 ∈ 𝐿2(𝐺)
𝐿2 𝐺 も加法とスカラー倍によって,ベクトル空間の構造をもつ.
さらに,加法と畳み込みによる積の2つの演算によって,環の構造をもつ.
群環ℂ 𝐺 の元と𝐿2 𝐺 の元は自然に,同一視できる!
16
演習問題2: 𝐿2(𝐺)の中心が類関数の集合である事を証明せよ.
• 証明の前に,記号を定義する.
𝐿2
𝐺 の中心 = 𝑍 𝐿2
𝐺 = {𝑓 ∈ 𝐿2
(𝐺)|𝑓 ∗ ℎ = ℎ ∗ 𝑓, ∀ℎ ∈ 𝐿2
(𝐺)}
𝐿2
𝐺 ∋ 𝑓が類関数 ⇔ 𝑓 𝑔 = 𝑓 𝑥𝑔𝑥−1
, ∀𝑥, 𝑔 ∈ 𝐺
あるいは同じことだが,𝑢 = 𝑥𝑔, 𝑣 = 𝑥−1
と置けば,
𝑓 𝑢𝑣 = 𝑓 𝑣𝑢 , ∀𝑢, 𝑣 ∈ 𝐺
証明:
𝐿2
𝐺 ∋ 𝑓が類関数とする.
𝑓 ∗ ℎ 𝑥 − ℎ ∗ 𝑓 𝑥 =
𝑡∈𝐺
𝑓 𝑥𝑡−1
ℎ 𝑡 −
𝑡∈𝐺
ℎ 𝑡 𝑓(𝑡−1
𝑥)
=
𝑡∈𝐺
𝑓 𝑥𝑡−1
− 𝑓(𝑡−1
𝑥) ℎ 𝑡 = 0 ∴ 𝑓 ∗ ℎ 𝑥 = (ℎ ∗ 𝑓)(𝑥)
逆も同様■
17
p.246
Example 1:右正則表現,左正則表現
置換行列𝑃(𝜎):𝑆3 ∋ 𝜎 =
1 2 3
2 3 1
𝜎
𝑥1
𝑥2
𝑥3
=
𝑥 𝜎(1)
𝑥 𝜎(2)
𝑥 𝜎(3)
=
𝑥2
𝑥3
𝑥1
=
0 1 0
0 0 1
1 0 0
𝑥1
𝑥2
𝑥3
∴ 𝑃 𝜎 =
0 1 0
0 0 1
1 0 0
一般に,𝑖行𝜎 𝑖 列成分が1,それ以外は0
18
𝐺の左正則表現𝐿
𝐿: 𝐺 → 𝐺𝐿 𝐿2 𝐺
𝐿 𝑔 𝑥 = 𝑔−1
𝑥
𝑊ℎ𝑒𝑟𝑒 𝐿 𝑔 𝑎 𝑥 = 𝑎 𝑔−1
𝑥 𝑓𝑜𝑟 𝑎 ∈ 𝐿2
𝐺 , 𝑔, 𝑥 ∈ 𝐺
𝐺の右正則表現𝑅
𝑅: 𝐺 → 𝐺𝐿 𝐿2 𝐺
𝑅 𝑔 = 𝑥𝑔
𝑊ℎ𝑒𝑟𝑒 𝑅 𝑔 𝑎 𝑥 = 𝑎 𝑥𝑔 𝑓𝑜𝑟 𝑎 ∈ 𝐿2 𝐺 , 𝑔, 𝑥 ∈ 𝐺
左(または右)正則表現は𝐺の全ての表現の源である.
19
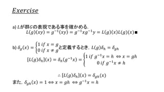
𝐸𝑥𝑒𝑟𝑐𝑖𝑠𝑒
a) 𝐿が群𝐺の表現である事を確かめる.
𝐿 𝑔 𝑥𝑦 = 𝑔−1 𝑥𝑦 = 𝑔−1 𝑥𝑔−1 𝑦 = 𝐿 𝑔 𝑥 𝐿(𝑔)(𝑦)∎
b) 𝛿 𝑔 𝑥 =
1 𝑖𝑓 𝑥 = 𝑔
0 𝑖𝑓 𝑥 ≠ 𝑔
と定義するとき,𝐿 𝑔 𝛿ℎ = 𝛿 𝑔ℎ
𝐿 𝑔 𝛿ℎ 𝑥 = 𝛿ℎ 𝑔−1 𝑥 =
1 𝑖𝑓 𝑔−1 𝑥 = ℎ ⇔ 𝑥 = 𝑔ℎ
0 𝑖𝑓 𝑔−1 𝑥 ≠ ℎ
∴ 𝐿 𝑔 𝛿ℎ 𝑥 = 𝛿 𝑔ℎ(𝑥)
また,𝛿 𝑔ℎ 𝑥 = 1 ⟺ 𝑥 = 𝑔ℎ ⟺ 𝑔−1 𝑥 = ℎ
20
b)の続き
𝐺 = {𝑔1, 𝑔2, … , 𝑔 𝑛}とする. 𝐿(𝑔)の行列成分は𝛿𝑔𝑖 𝑔𝑗
−1
𝑔 .なぜなら,
𝛿𝑔𝑖 𝑔𝑗
−1
𝑔 = 1 ⟺ 𝑔 = 𝑔𝑖 𝑔𝑗
−1
⟺ 𝑔−1
𝑔𝑖 = 𝑔𝑗
𝐿 𝑔 𝑔𝑖 = 𝑔−1 𝑔𝑖 = 𝑔𝑗
𝐿 𝑔 は単射
∵ 𝐿 𝑔 𝑥 = 𝐿 𝑔 𝑥′
⟺ 𝑔−1
𝑥 = 𝑔−1
𝑥′
⇒ 𝑥 = 𝑥′
これは結局,𝑔𝑖 ↦ 𝑔𝑗の置換であるから,左正則表現は置換行列で
表示できる.
21
𝐸𝑥𝑒𝑟𝑐𝑖𝑠𝑒
有限群𝐺が有限集合𝑋上で作用する.すなわち,
𝑔 ∈ 𝐺, 𝑥 ∈ 𝑋 ⇒ 𝑔𝑥 ∈ 𝑋
𝐺 ∋ 𝑒: 単位元, 𝑒𝑥 = 𝑥, ∀𝑥 ∈ 𝑋
𝑔 ℎ𝑥 = 𝑔ℎ 𝑥
を満たす時,𝜋: 𝐺 → 𝐺𝐿 𝑉 , 𝑤ℎ𝑒𝑟𝑒 𝑉 = 𝑓: 𝑋 → ℂ
𝜋 𝑔 𝑓 𝑥 = 𝑓 𝑔−1
𝑥 , ∀𝑔 ∈ 𝐺, ∀𝑥 ∈ 𝑋
と表現𝜋を定義する.この時,指標 𝜒 𝜋 𝑔 = Tr 𝜋(𝑔) が
𝜒 𝜋 𝑔 = 𝑥 ∈ 𝑋 𝑔𝑥 = 𝑥
となる事を示せ.
(Fulton, Harris [1991] はこれを”元祖不動点公式”と呼んだ)
22
p.247
命題2:完全可約性定理
1) 𝜌: 𝐺 → 𝑈(𝑚)を表現𝜋: 𝐺 → 𝑈(𝑛)の部分表現とする.
この時, 𝜋(𝑔)は以下の表現と同値.
𝜌 ⊕ 𝜎 𝑔 =
𝜌(𝑔) 0
0 𝜎(𝑔)
2) 帰納的に,𝜋(𝑔)は以下の表現と同値.
𝜋1 ⊕ ⋯ ⊕ 𝜋 𝑟 𝑔 =
𝜋1(𝑔) 0
⋱
0 𝜋 𝑟(𝑔)
ここで,部分表現𝜋𝑖は全て既約.
この定理は表現𝜋が完全可約であると主張している.
23
フーリエ変換による置換族の独立性解析
長岡技術科学大学 鈴木孝 NGUYEN THAI PHAT 武井由智
2.6 Young直交表現
2.7 対称群上のフーリエ解析
2.8 畳み込み
24
§2.6 Young直交表現(YOR)
• YORは対称群の既約表現: 整数の分割𝜆 ⊢ 𝑛でラベル付
𝜌 𝜆: 𝑆 𝑛 → ℝ 𝑑 𝜆×𝑑 𝜆
• 表現の次数𝑑 𝜆 = StTab 𝜆 ,
StTab 𝜆 : 𝜆に関する標準ヤング盤の集合
O 𝑑 𝜆 ∋ 𝜌 𝜆 𝑘, 𝑘 + 1 𝑡,𝑡
=
1
𝑑 𝑡 𝑘, 𝑘 + 1
(対角成分)
O 𝑑 𝜆 : 𝑑 𝜆 × 𝑑 𝜆 𝑜𝑟𝑡ℎ𝑜𝑔𝑜𝑛𝑎𝑙 𝑚𝑎𝑡𝑟𝑖𝑥 𝑠𝑒𝑡,
StTab 𝜆 ∋ 𝑡, 𝑆 𝑛 ∋ 𝑘, 𝑘 + 1 : 隣接互換
𝑖𝑓 𝑘, 𝑘 + 1 𝑡 ∈ StTab 𝜆 ⇒ 非対角要素が存在する
25
§2.6 Young直交表現(YOR)
𝜌 𝜆 𝑘, 𝑘 + 1 𝑡,(𝑘,𝑘+1)(𝑡)
= 1 −
1
𝑑 𝑡 𝑘, 𝑘 + 1
2
その他の行列要素は0.
𝑑 𝑡 𝑖, 𝑗 = 𝑐 𝑗 − 𝑐 𝑖
𝑐 𝑥 𝑖𝑠 𝑐𝑜𝑛𝑡𝑒𝑛𝑡 𝑜𝑓 𝑥.
標準ヤング盤𝑡上の𝑟行𝜇列に数字𝑥がある時,
𝑐 𝑥 = 𝜇 − 𝑟
∀𝜎 ∈ 𝑆 𝑛は隣接互換の積で表せる.
∴ ∀𝜎 ∈ 𝑆 𝑛の表現が定義できた!
特に,𝜌 𝜆 𝜎−1 = 𝜌 𝜆 𝜎 −1 = 𝜌 𝜆 𝜎 𝑇
26
§2.6 Young直交表現(YOR)
𝜆 = 2,2 =⊞⊢ 4, 𝜌 𝜆 123 4 = 𝜌⊞ 123 を求めてみる.
𝜌⊞ 123 = 𝜌⊞ (12)(23) = 𝜌⊞ (12) ⋅ 𝜌⊞ 23
𝑑⊞ = StTab ⊞ = 2
𝑡 =
1 3
2 4
, 𝑐 2 = 1 − 2 = −1, 𝑐 1 = 0, ∴ 𝑑 𝑡 1,2 = −1
𝑡′ =
1 2
3 4
, 𝑐 2 = 2 − 1 = 1, 𝑐 1 = 0, ∴ 𝑑 𝑡′ 1,2 = 1
1,2 𝑡 =
2 3
1 4
∉ StTab 𝜆 , 非対角要素は0, ∴ 𝜌⊞ 12 =
−1 0
0 1 27
§2.6 Young直交表現(YOR)
𝑡 =
1 3
2 4
, 𝑐 3 = 2 − 1 = 1, 𝑐 2 = 1 − 2 = −1, ∴ 𝑑 𝑡 2,3 = 2
𝑡′ =
1 2
3 4
, 𝑐 3 = 1 − 2 = −1, 𝑐 2 = 2 − 1 = 1, ∴ 𝑑 𝑡′ 2,3 = −2
2,3 𝑡 =
1 2
3 4
∈ StTab 𝜆 , 非対角要素が存在
∴ 𝜌⊞ 23 =
1/2 3/2
3/2 −1/2
28
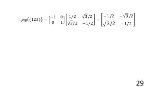
∴ 𝜌⊞ 123 =
−1 0
0 1
1/2 3/2
3/2 −1/2
=
−1/2 − 3/2
3/2 −1/2
29

表現論 ゼミ資料

  • 1.
    有限群上の表現論 M1 seminar 03 Text:FourierAnalysis on Finite Group and applications Audrey Terras 1999 M1 Tamura Takumi 2016/May/09 Monday 1
  • 2.
    p.243 定義1:同値な表現 ・𝛼, 𝛽: 𝐺→ 𝐺𝐿 𝑛, ℂ が同値 ⇔ ∃𝑇 ∈ 𝐺𝐿 𝑛, ℂ , 𝑇𝛼 𝑔 𝑇−1 = 𝛽 𝑔 , ∀𝑔 ∈ 𝐺 つまり,𝛼 𝑔 と𝛽 𝑔 は行列の共役関係を満たしている. 𝛼 𝑔 ~𝛽 𝑔 , ∀𝑔 ∈ 𝐺 これはベクトル空間ℂ 𝑛上の基底を変えることで 𝛼(𝑔) ↦ 𝛽(𝑔), 𝛽(𝑔) ↦ 𝛼(𝑔) と対応づけができることを意味している. 2
  • 3.
    𝑇:座標変換行列 𝑇 ∈𝐺𝐿 𝑛, ℂ ℂ 𝑛 )𝛼(𝑔 ℂ 𝑛 𝑇 ↓ ↻ ↓ ℂ 𝑛 )𝛽(𝑔 ℂ 𝑛 𝑇 𝛽 𝑔 𝑇 = 𝑇𝛼 𝑔 ∴ 𝛽 𝑔 = 𝑇𝛼 𝑔 𝑇−1 3
  • 4.
    定義2:ユニタリ表現𝜋の定義 • 群𝐺からユニタリ群𝑈(𝑛)への表現𝜋のことである. 𝜋: 𝐺→ 𝑈(𝑛) ただし,𝑈 𝑛 = 𝐴 ∈ 𝐺𝐿(𝑛, ℂ)|𝐴∗ 𝐴 = 𝐼 𝐴∗: 複素共役転置 ℂ 𝑛 ∋ 𝕦 = 𝑢1 ⋮ 𝑢 𝑛 , 𝕧 = 𝑣1 ⋮ 𝑣 𝑛 上の標準エルミート内積の定義: 𝕦, 𝕧 : = 𝕦∗ 𝕧 = 𝑢1, … , 𝑢 𝑛 𝑣1 ⋮ 𝑣 𝑛 = 𝑖=1 𝑛 𝑢𝑖 𝑣𝑖 • ユニタリ行列は標準エルミート内積を変えない. 𝐴𝕦, 𝐴𝕧 = 𝕦, 𝕧 , ∀𝕦, 𝕧 ∈ ℂ 𝑛 4
  • 5.
    演習問題1: 𝐴∗ 𝐴 =𝐼 ⟺ 𝐴𝕦, 𝐴𝕧 = 𝕦, 𝕧 , ∀𝕦, 𝕧 ∈ ℂ 𝑛 を示せ. 証明:∀𝕦, 𝕧 ∈ ℂ 𝑛 に対して, 𝐴𝕦, 𝐴𝕧 = 𝐴𝕦 ∗ 𝐴𝕧 = 𝕦∗ 𝐴∗ 𝐴𝕧 = 𝕦∗ 𝐼𝕧 = 𝕦∗ 𝕧 = 𝕦, 𝕧 定義3:部分表現 表現𝜋: 𝐺 → 𝐺𝐿(𝑉)の部分表現𝜌とは𝜌: 𝐺 → 𝐺𝐿(𝑊)である. ただし,𝑊は𝑉の𝜋 𝑔 不変部分空間:∀𝑔 ∈ 𝐺, 𝜋 𝑔 𝑊 ⊂ 𝑊 𝜋 𝑔 𝑊 = 𝜋 𝑔 𝕨 𝕨 ∈ 𝑊} 𝜌(𝑔)は𝜋 𝑔 の𝑊への制限写像である.すなわち, 𝜋 𝑔 | 𝑊 = 𝜌 𝑔 ∀𝑔 ∈ 𝐺 5
  • 6.
    定義3を行列の言葉に翻訳する • 以下のような𝑉の基底𝕧1, …, 𝕧 𝑛が取れる. 𝑉 = 𝑆𝑝𝑎𝑛 𝕧1, 𝕧2, … , 𝕧 𝑘, 𝕧 𝑘+1, … , 𝕧 𝑛 , 𝑊 = 𝑆𝑝𝑎𝑛 𝕧1, 𝕧2, … , 𝕧 𝑘 𝜋 𝑔 𝑊 ⊂ 𝑊, 𝜋 𝑔 𝑊 = 𝜋 𝑔 𝕨 𝕨 ∈ 𝑊} この時,𝜋 𝑔 の表現行列は 𝜌(𝑔) ∗ 0 ∗ という形式になる. ただし,𝑆𝑝𝑎𝑛 𝕧1, 𝕧2, … , 𝕧 𝑛 ≔ 𝑖=1 𝑛 𝑥𝑖 𝕧𝑖 |𝑥𝑖 ∈ ℂ 定義4:既約表現 表現𝜋の部分表現が𝜋自身と0しか存在しない時, 𝜋は既約表現とよぶ. 有限群の場合,全ての表現は既約表現の直和になる(後述). 6
  • 7.
    𝑉 = 𝑆𝑝𝑎𝑛𝕧1, 𝕧2, 𝕧3 , 𝕧1, 𝕧2 ∈ 𝑊, 𝜋 𝑔 𝑊 ⊂ 𝑊 𝜋 𝑔 (𝑥1 𝕧1) = 𝑥1 𝐴11 𝕧1 + 𝑥1 𝐴21 𝕧2 𝜋 𝑔 (𝑥2 𝕧2) = 𝑥2 𝐴12 𝕧1 + 𝑥2 𝐴22 𝕧2 𝜋 𝑔 𝑥3 𝕧3 = 𝑥3 𝐴13 𝕧1 + 𝑥3 𝐴23 𝕧2 + 𝑥3 𝐴33 𝕧3 𝜋 𝑔 𝑥1 𝑥2 𝑥3 = 𝐴11 𝐴12 𝐴13 𝐴21 𝐴22 𝐴23 0 0 𝐴33 𝑥1 𝑥2 𝑥3 𝑥𝑖, 𝐴𝑖𝑗 ∈ ℂ, 𝑖 = 1,2,3, 𝑗 = 1,2,3 7
  • 8.
    p.244 命題1:有限群𝑮の表現はユニタリ表現と同値. Proof: まず,記号を用意する. 𝑐 𝕦,𝕧 : 正定値エルミート内積. 𝑐 𝕦, 𝕧 の満たすべき性質 1 𝑐 𝕦, 𝕧 は𝕧を固定した時,𝕦に関して線形 2 𝑐 𝕦, 𝕧 = 𝑐 𝕧, 𝕦 ; 𝑐 𝕦, 𝕦 ≥ 0; 𝑐 𝕦, 𝕦 > 0 𝑖𝑓 𝑢 ≠ 𝕠 𝕖1, … , 𝕖 𝑛 : ℂ 𝑛の標準単位基底ベクトル このとき,𝑛 × 𝑛行列𝐶 = 𝑐(𝕖𝑖, 𝕖𝑗) とすると, 𝐶: 正定値エルミート行列 ∵ 𝑐 𝕖𝑖, 𝕖𝑗 = 𝑐(𝕖𝑗, 𝕖𝑖) 𝑐 𝕦, 𝕧 = 𝕦∗ 𝐶𝕧 8
  • 9.
    正定値エルミート行列の定義. 𝐻がエルミート行列 ⟺ 𝐻∗= 𝐻 𝐶が正定値エルミート行列 ⟺ 𝐶∗ = 𝐶 かつ ∀𝕦 ∈ ℂ 𝑛 , 𝕦∗ 𝐶𝕦 > 0 Note:固有値と正定値性の関係 𝑛 × 𝑛 エルミート行列𝐶の全ての固有値𝑑1, … , 𝑑 𝑘が𝑑1 > 0, … , 𝑑 𝑘 > 0 ⇕ 𝐶が正定値エルミート行列 9
  • 10.
    Proof 1.1: 𝐶は正定値エルミート行列なので,ある正定値エルミート行列𝑅で 𝐶 =𝑅2 ⋯ 2 と表せる. 命題1.1: 𝑐 𝑀𝕦, 𝑀𝕧 = 𝑐 𝕦, 𝕧 ⇒ 𝑀はあるユニタリ行列𝑈と共役. すなわち,𝑀∗ 𝐶𝑀 = 𝐶 ⇒ ∃𝑈 ∈ 𝑈 𝑛 , ∃𝐴 ∈ 𝐺𝐿 𝑛, ℂ , 𝑀 = 𝐴−1 𝑈𝐴. 命題1を証明する前に,以下の命題1.1を証明する. 10
  • 11.
    なぜなら,𝐶はエルミート行列なので,あるユニタリ行列𝑈で対角化可能(スペクトル定理). 𝐶 = 𝑈∗ 𝑑10 ⋱ 0 𝑑 𝑛 𝑈, 𝐶が正定値なので𝑑𝑗 > 0,𝑑𝑗: 𝐶の固有値 ∴ 𝑅 = 𝑈∗ 𝑑1 0 ⋱ 0 𝑑 𝑛 𝑈, 𝐶 = 𝑅2, 𝑅∗ = 𝑅 さて,(1)式より,𝑀∗ 𝐶𝑀 = 𝐶. 2 式より, 𝑀∗ 𝑅∗ 𝑅𝑀 = 𝑅∗ 𝑅 ∴ 𝑅∗−1 𝑀∗ 𝑅∗ 𝑅𝑀𝑅−1 = 𝑅∗−1 𝑅∗ 𝑅𝑅−1 = 𝐼 ∴ 𝑀′ = 𝑅𝑀𝑅−1 𝑖𝑠 𝑢𝑛𝑖𝑡𝑎𝑟𝑦. ∴ 𝑀はユニタリ行列と共役.■ 11
  • 12.
    命題1の証明に戻る. 𝑐 𝕦, 𝕧≔ 𝑔∈𝐺 𝜋 𝑔 𝕦, 𝜋 𝑔 𝕧 , 𝕦, 𝕧 は標準エルミート内積 𝑐 𝕦, 𝕧 は正定値エルミート内積 ∵ ∀𝕦 ∈ ℂ 𝑛 , 𝕦, 𝕦 = 𝕦∗ 𝕦 = 𝕦 2 > 0 𝑐 𝜋 ℎ 𝕦, 𝜋 ℎ 𝕧 = 𝑔∈𝐺 𝜋 𝑔 𝜋(ℎ)𝕦, 𝜋 𝑔 𝜋(ℎ)𝕧 = 𝑔∈𝐺 𝜋 𝑔ℎ 𝕦, 𝜋 𝑔ℎ 𝕧 = 𝑘∈𝐺 𝜋 𝑘 𝕦, 𝜋 𝑘 𝕧 = 𝑐 𝕦, 𝕧 ∵ 和 𝑔∈𝐺 の中でℎは固定されているので,𝑔ℎを新たに𝑘と置いて 𝑘についての総和に変えてもよい 12
  • 13.
    ∴ 𝑐 𝜋ℎ 𝕦, 𝜋 ℎ 𝕧 = 𝑐 𝕦, 𝕧 , ∀ℎ ∈ 𝐺 この正定値エルミート内積の作り方が“Weyl’s unitary trick” 𝜋 ℎ ∗ 𝐶𝜋 ℎ = 𝐶, 𝜋 ℎ ∗ 𝑅∗ 𝑅𝜋 ℎ = 𝑅∗ 𝑅 𝑅−1 𝜋 ℎ ∗ 𝑅∗ 𝑅𝜋 ℎ 𝑅−1 = 𝐼, 𝑅𝜋 ℎ 𝑅−1 ∗ 𝑅𝜋 ℎ 𝑅−1 = 𝐼 ∴ 𝜋′ ℎ = 𝑅𝜋 ℎ 𝑅−1 𝑖𝑠 𝑢𝑛𝑖𝑡𝑎𝑟𝑦. ∴ 𝜋 ℎ = 𝑅−1 𝜋′(ℎ)𝑅 よって,命題1.1より行列𝜋 ℎ はユニタリ行列𝜋′ ℎ と共役. ∴有限群𝑮の表現はユニタリ表現と同値■ 13
  • 14.
    p.245 定義4:群環(Group algebra)ℂ[𝐺] 有限群𝐺の元を基底とするℂ上の 𝐺次元ベクトル空間. ℂ 𝐺 ≔ 𝑔∈𝐺 𝑓 𝑔 𝑒 𝑔 |𝑓 𝑔 ∈ ℂ, 𝑓: 𝐺 → ℂ 群環ℂ[𝐺]の基底は 𝑒 𝑔|𝑔 ∈ 𝐺 , 𝑒 𝑔 𝑒ℎ = 𝑒 𝑔ℎ 𝐿2 𝐺 = {𝑓: 𝐺 → ℂ} 𝐿2 𝐺 は有限群𝐺上の複素数値関数の集合 𝑎, 𝑏 ∈ 𝐿2 𝐺 の畳込み積∗ 𝑎 ∗ 𝑏 𝑥 = 𝑡∈𝐺 𝑎 𝑥𝑡−1 𝑏(𝑡) = 𝑦∈𝐺 𝑎 𝑦 𝑏(𝑦−1 𝑥) 14
  • 15.
    群環ℂ 𝐺 の演算: 1加法+: 𝑔∈𝐺 𝑎 𝑔 𝑒 𝑔 + 𝑔∈𝐺 𝑏 𝑔 𝑒 𝑔 = 𝑔∈𝐺 (𝑎 𝑔 + 𝑏(𝑔)) 𝑒 𝑔 2 スカラー倍: 𝛼 𝑔∈𝐺 𝑓 𝑔 𝑒 𝑔 = 𝑔∈𝐺 𝛼𝑓 𝑔 𝑒 𝑔 , 𝛼 ∈ ℂ 3 積: 𝑔∈𝐺 𝑎 𝑔 𝑒 𝑔 ℎ∈𝐺 𝑏 ℎ 𝑒ℎ = 𝑘∈𝐺 𝑎 ∗ 𝑏 𝑘 𝑒 𝑘 群環ℂ 𝐺 は加法とスカラー倍によって,ベクトル空間の構造をもつ. さらに,加法と畳み込みによる積の2つの演算によって,環の構造をもつ. 15
  • 16.
    𝐿2 𝐺 = {𝑓:𝐺 → ℂ}の演算: 1 加法+: 𝐿2 𝐺 ∋ 𝑎 𝑔 , 𝑏 𝑔 に対して,𝑎 𝑔 + 𝑏 𝑔 ∈ 𝐿2(𝐺) 2 スカラー倍: 𝐿2 𝐺 ∋ 𝑓 𝑔 , ℂ ∋ 𝛼に対して,𝛼𝑓(𝑔) ∈ 𝐿2(𝐺) 3 積 ∗: 𝐿2 𝐺 ∋ 𝑎 𝑔 , 𝑏 𝑔 に対して, 𝑎 ∗ 𝑏 𝑔 ∈ 𝐿2(𝐺) 𝐿2 𝐺 も加法とスカラー倍によって,ベクトル空間の構造をもつ. さらに,加法と畳み込みによる積の2つの演算によって,環の構造をもつ. 群環ℂ 𝐺 の元と𝐿2 𝐺 の元は自然に,同一視できる! 16
  • 17.
    演習問題2: 𝐿2(𝐺)の中心が類関数の集合である事を証明せよ. • 証明の前に,記号を定義する. 𝐿2 𝐺の中心 = 𝑍 𝐿2 𝐺 = {𝑓 ∈ 𝐿2 (𝐺)|𝑓 ∗ ℎ = ℎ ∗ 𝑓, ∀ℎ ∈ 𝐿2 (𝐺)} 𝐿2 𝐺 ∋ 𝑓が類関数 ⇔ 𝑓 𝑔 = 𝑓 𝑥𝑔𝑥−1 , ∀𝑥, 𝑔 ∈ 𝐺 あるいは同じことだが,𝑢 = 𝑥𝑔, 𝑣 = 𝑥−1 と置けば, 𝑓 𝑢𝑣 = 𝑓 𝑣𝑢 , ∀𝑢, 𝑣 ∈ 𝐺 証明: 𝐿2 𝐺 ∋ 𝑓が類関数とする. 𝑓 ∗ ℎ 𝑥 − ℎ ∗ 𝑓 𝑥 = 𝑡∈𝐺 𝑓 𝑥𝑡−1 ℎ 𝑡 − 𝑡∈𝐺 ℎ 𝑡 𝑓(𝑡−1 𝑥) = 𝑡∈𝐺 𝑓 𝑥𝑡−1 − 𝑓(𝑡−1 𝑥) ℎ 𝑡 = 0 ∴ 𝑓 ∗ ℎ 𝑥 = (ℎ ∗ 𝑓)(𝑥) 逆も同様■ 17
  • 18.
    p.246 Example 1:右正則表現,左正則表現 置換行列𝑃(𝜎):𝑆3 ∋𝜎 = 1 2 3 2 3 1 𝜎 𝑥1 𝑥2 𝑥3 = 𝑥 𝜎(1) 𝑥 𝜎(2) 𝑥 𝜎(3) = 𝑥2 𝑥3 𝑥1 = 0 1 0 0 0 1 1 0 0 𝑥1 𝑥2 𝑥3 ∴ 𝑃 𝜎 = 0 1 0 0 0 1 1 0 0 一般に,𝑖行𝜎 𝑖 列成分が1,それ以外は0 18
  • 19.
    𝐺の左正則表現𝐿 𝐿: 𝐺 →𝐺𝐿 𝐿2 𝐺 𝐿 𝑔 𝑥 = 𝑔−1 𝑥 𝑊ℎ𝑒𝑟𝑒 𝐿 𝑔 𝑎 𝑥 = 𝑎 𝑔−1 𝑥 𝑓𝑜𝑟 𝑎 ∈ 𝐿2 𝐺 , 𝑔, 𝑥 ∈ 𝐺 𝐺の右正則表現𝑅 𝑅: 𝐺 → 𝐺𝐿 𝐿2 𝐺 𝑅 𝑔 = 𝑥𝑔 𝑊ℎ𝑒𝑟𝑒 𝑅 𝑔 𝑎 𝑥 = 𝑎 𝑥𝑔 𝑓𝑜𝑟 𝑎 ∈ 𝐿2 𝐺 , 𝑔, 𝑥 ∈ 𝐺 左(または右)正則表現は𝐺の全ての表現の源である. 19
  • 20.
    𝐸𝑥𝑒𝑟𝑐𝑖𝑠𝑒 a) 𝐿が群𝐺の表現である事を確かめる. 𝐿 𝑔𝑥𝑦 = 𝑔−1 𝑥𝑦 = 𝑔−1 𝑥𝑔−1 𝑦 = 𝐿 𝑔 𝑥 𝐿(𝑔)(𝑦)∎ b) 𝛿 𝑔 𝑥 = 1 𝑖𝑓 𝑥 = 𝑔 0 𝑖𝑓 𝑥 ≠ 𝑔 と定義するとき,𝐿 𝑔 𝛿ℎ = 𝛿 𝑔ℎ 𝐿 𝑔 𝛿ℎ 𝑥 = 𝛿ℎ 𝑔−1 𝑥 = 1 𝑖𝑓 𝑔−1 𝑥 = ℎ ⇔ 𝑥 = 𝑔ℎ 0 𝑖𝑓 𝑔−1 𝑥 ≠ ℎ ∴ 𝐿 𝑔 𝛿ℎ 𝑥 = 𝛿 𝑔ℎ(𝑥) また,𝛿 𝑔ℎ 𝑥 = 1 ⟺ 𝑥 = 𝑔ℎ ⟺ 𝑔−1 𝑥 = ℎ 20
  • 21.
    b)の続き 𝐺 = {𝑔1,𝑔2, … , 𝑔 𝑛}とする. 𝐿(𝑔)の行列成分は𝛿𝑔𝑖 𝑔𝑗 −1 𝑔 .なぜなら, 𝛿𝑔𝑖 𝑔𝑗 −1 𝑔 = 1 ⟺ 𝑔 = 𝑔𝑖 𝑔𝑗 −1 ⟺ 𝑔−1 𝑔𝑖 = 𝑔𝑗 𝐿 𝑔 𝑔𝑖 = 𝑔−1 𝑔𝑖 = 𝑔𝑗 𝐿 𝑔 は単射 ∵ 𝐿 𝑔 𝑥 = 𝐿 𝑔 𝑥′ ⟺ 𝑔−1 𝑥 = 𝑔−1 𝑥′ ⇒ 𝑥 = 𝑥′ これは結局,𝑔𝑖 ↦ 𝑔𝑗の置換であるから,左正則表現は置換行列で 表示できる. 21
  • 22.
    𝐸𝑥𝑒𝑟𝑐𝑖𝑠𝑒 有限群𝐺が有限集合𝑋上で作用する.すなわち, 𝑔 ∈ 𝐺,𝑥 ∈ 𝑋 ⇒ 𝑔𝑥 ∈ 𝑋 𝐺 ∋ 𝑒: 単位元, 𝑒𝑥 = 𝑥, ∀𝑥 ∈ 𝑋 𝑔 ℎ𝑥 = 𝑔ℎ 𝑥 を満たす時,𝜋: 𝐺 → 𝐺𝐿 𝑉 , 𝑤ℎ𝑒𝑟𝑒 𝑉 = 𝑓: 𝑋 → ℂ 𝜋 𝑔 𝑓 𝑥 = 𝑓 𝑔−1 𝑥 , ∀𝑔 ∈ 𝐺, ∀𝑥 ∈ 𝑋 と表現𝜋を定義する.この時,指標 𝜒 𝜋 𝑔 = Tr 𝜋(𝑔) が 𝜒 𝜋 𝑔 = 𝑥 ∈ 𝑋 𝑔𝑥 = 𝑥 となる事を示せ. (Fulton, Harris [1991] はこれを”元祖不動点公式”と呼んだ) 22
  • 23.
    p.247 命題2:完全可約性定理 1) 𝜌: 𝐺→ 𝑈(𝑚)を表現𝜋: 𝐺 → 𝑈(𝑛)の部分表現とする. この時, 𝜋(𝑔)は以下の表現と同値. 𝜌 ⊕ 𝜎 𝑔 = 𝜌(𝑔) 0 0 𝜎(𝑔) 2) 帰納的に,𝜋(𝑔)は以下の表現と同値. 𝜋1 ⊕ ⋯ ⊕ 𝜋 𝑟 𝑔 = 𝜋1(𝑔) 0 ⋱ 0 𝜋 𝑟(𝑔) ここで,部分表現𝜋𝑖は全て既約. この定理は表現𝜋が完全可約であると主張している. 23
  • 24.
    フーリエ変換による置換族の独立性解析 長岡技術科学大学 鈴木孝 NGUYENTHAI PHAT 武井由智 2.6 Young直交表現 2.7 対称群上のフーリエ解析 2.8 畳み込み 24
  • 25.
    §2.6 Young直交表現(YOR) • YORは対称群の既約表現:整数の分割𝜆 ⊢ 𝑛でラベル付 𝜌 𝜆: 𝑆 𝑛 → ℝ 𝑑 𝜆×𝑑 𝜆 • 表現の次数𝑑 𝜆 = StTab 𝜆 , StTab 𝜆 : 𝜆に関する標準ヤング盤の集合 O 𝑑 𝜆 ∋ 𝜌 𝜆 𝑘, 𝑘 + 1 𝑡,𝑡 = 1 𝑑 𝑡 𝑘, 𝑘 + 1 (対角成分) O 𝑑 𝜆 : 𝑑 𝜆 × 𝑑 𝜆 𝑜𝑟𝑡ℎ𝑜𝑔𝑜𝑛𝑎𝑙 𝑚𝑎𝑡𝑟𝑖𝑥 𝑠𝑒𝑡, StTab 𝜆 ∋ 𝑡, 𝑆 𝑛 ∋ 𝑘, 𝑘 + 1 : 隣接互換 𝑖𝑓 𝑘, 𝑘 + 1 𝑡 ∈ StTab 𝜆 ⇒ 非対角要素が存在する 25
  • 26.
    §2.6 Young直交表現(YOR) 𝜌 𝜆𝑘, 𝑘 + 1 𝑡,(𝑘,𝑘+1)(𝑡) = 1 − 1 𝑑 𝑡 𝑘, 𝑘 + 1 2 その他の行列要素は0. 𝑑 𝑡 𝑖, 𝑗 = 𝑐 𝑗 − 𝑐 𝑖 𝑐 𝑥 𝑖𝑠 𝑐𝑜𝑛𝑡𝑒𝑛𝑡 𝑜𝑓 𝑥. 標準ヤング盤𝑡上の𝑟行𝜇列に数字𝑥がある時, 𝑐 𝑥 = 𝜇 − 𝑟 ∀𝜎 ∈ 𝑆 𝑛は隣接互換の積で表せる. ∴ ∀𝜎 ∈ 𝑆 𝑛の表現が定義できた! 特に,𝜌 𝜆 𝜎−1 = 𝜌 𝜆 𝜎 −1 = 𝜌 𝜆 𝜎 𝑇 26
  • 27.
    §2.6 Young直交表現(YOR) 𝜆 =2,2 =⊞⊢ 4, 𝜌 𝜆 123 4 = 𝜌⊞ 123 を求めてみる. 𝜌⊞ 123 = 𝜌⊞ (12)(23) = 𝜌⊞ (12) ⋅ 𝜌⊞ 23 𝑑⊞ = StTab ⊞ = 2 𝑡 = 1 3 2 4 , 𝑐 2 = 1 − 2 = −1, 𝑐 1 = 0, ∴ 𝑑 𝑡 1,2 = −1 𝑡′ = 1 2 3 4 , 𝑐 2 = 2 − 1 = 1, 𝑐 1 = 0, ∴ 𝑑 𝑡′ 1,2 = 1 1,2 𝑡 = 2 3 1 4 ∉ StTab 𝜆 , 非対角要素は0, ∴ 𝜌⊞ 12 = −1 0 0 1 27
  • 28.
    §2.6 Young直交表現(YOR) 𝑡 = 13 2 4 , 𝑐 3 = 2 − 1 = 1, 𝑐 2 = 1 − 2 = −1, ∴ 𝑑 𝑡 2,3 = 2 𝑡′ = 1 2 3 4 , 𝑐 3 = 1 − 2 = −1, 𝑐 2 = 2 − 1 = 1, ∴ 𝑑 𝑡′ 2,3 = −2 2,3 𝑡 = 1 2 3 4 ∈ StTab 𝜆 , 非対角要素が存在 ∴ 𝜌⊞ 23 = 1/2 3/2 3/2 −1/2 28
  • 29.
    ∴ 𝜌⊞ 123= −1 0 0 1 1/2 3/2 3/2 −1/2 = −1/2 − 3/2 3/2 −1/2 29