Integration
Area Under Curve
Integration
Area Under Curve
Integration
Area Under Curve
Integration
Area Under Curve
           Area  11  12 
                      3      3
Integration
Area Under Curve
           Area  11  12 
                      3      3


           Area  9
Integration
Area Under Curve
           Area  11  12 
                      3      3


           Area  9
Integration
Area Under Curve
       10   11  Area  11  12 
           3      3              3      3


                      Area  9
Integration
Area Under Curve
       10   11  Area  11  12 
           3      3              3      3


                  1  Area  9
Integration
Area Under Curve
       10   11  Area  11  12 
           3      3              3      3


                  1  Area  9


         Estimate Area  5 unit 2
Integration
Area Under Curve
       10   11  Area  11  12 
           3      3              3      3


                  1  Area  9


         Estimate Area  5 unit 2
           Exact Area  4 unit 2
Area  0.40.43  0.83  1.23  1.63  23 
Area  0.40.43  0.83  1.23  1.63  23 
Area  5.76
Area  0.40.43  0.83  1.23  1.63  23 
Area  5.76
0.403  0.43  0.83  1.23  1.63   Area  0.40.43  0.83  1.23  1.63  23 
                                     Area  5.76
0.403  0.43  0.83  1.23  1.63   Area  0.40.43  0.83  1.23  1.63  23 
                              2.56  Area  5.76
0.403  0.43  0.83  1.23  1.63   Area  0.40.43  0.83  1.23  1.63  23 
                              2.56  Area  5.76
                         Estimate Area  4.16 unit 2
Area  0.20.23  0.43  0.63  0.83  13  1.23  1.43  1.63  1.83  23 
Area  0.20.23  0.43  0.63  0.83  13  1.23  1.43  1.63  1.83  23 
  Area  4.84
Area  0.20.23  0.43  0.63  0.83  13  1.23  1.43  1.63  1.83  23 
  Area  4.84
0.203  0.23  0.43  0.63  0.83  13  1.23  1.43  1.63  1.83  
    Area  0.20.23  0.43  0.63  0.83  13  1.23  1.43  1.63  1.83  23 
      Area  4.84
0.203  0.23  0.43  0.63  0.83  13  1.23  1.43  1.63  1.83  
    Area  0.20.23  0.43  0.63  0.83  13  1.23  1.43  1.63  1.83  23 
3.24  Area  4.84
0.203  0.23  0.43  0.63  0.83  13  1.23  1.43  1.63  1.83  
    Area  0.20.23  0.43  0.63  0.83  13  1.23  1.43  1.63  1.83  23 
3.24  Area  4.84
                          Estimate Area  4.04 unit 2
As the widths decrease, the estimate becomes more accurate, lets
investigate one of these rectangles.
            y
                                                y = f(x)




                                                      x
As the widths decrease, the estimate becomes more accurate, lets
investigate one of these rectangles.
            y
                                                y = f(x)




                                                      x
As the widths decrease, the estimate becomes more accurate, lets
investigate one of these rectangles.
            y
                                                y = f(x)




                                    c                 x

                 A(c) is the area from 0 to c
As the widths decrease, the estimate becomes more accurate, lets
investigate one of these rectangles.
            y
                                                y = f(x)




                                    c    x            x

                 A(c) is the area from 0 to c
                 A(x) is the area from 0 to x
A(x) – A(c) denotes the area from c to x, and can be estimated by
the rectangle;
A(x) – A(c) denotes the area from c to x, and can be estimated by
 the rectangle;



                                  f(x)



                          x-c
A(x) – A(c) denotes the area from c to x, and can be estimated by
 the rectangle;



                                        f(x)



                             x-c
                A x   Ac    x  c  f  x 
A(x) – A(c) denotes the area from c to x, and can be estimated by
 the rectangle;



                                        f(x)



                             x-c
                A x   Ac    x  c  f  x 
                                 A x   Ac 
                         f x 
                                     xc
A(x) – A(c) denotes the area from c to x, and can be estimated by
 the rectangle;



                                        f(x)



                             x-c
                A x   Ac    x  c  f  x 
                                 A x   Ac 
                         f x 
                                     xc
                                 Ac  h   Ac 
                                                    h = width of rectangle
                                         h
A(x) – A(c) denotes the area from c to x, and can be estimated by
 the rectangle;



                                        f(x)



                             x-c
                A x   Ac    x  c  f  x 
                               A x   Ac 
                       f x 
                                   xc
                               Ac  h   Ac 
                                                h = width of rectangle
                                       h
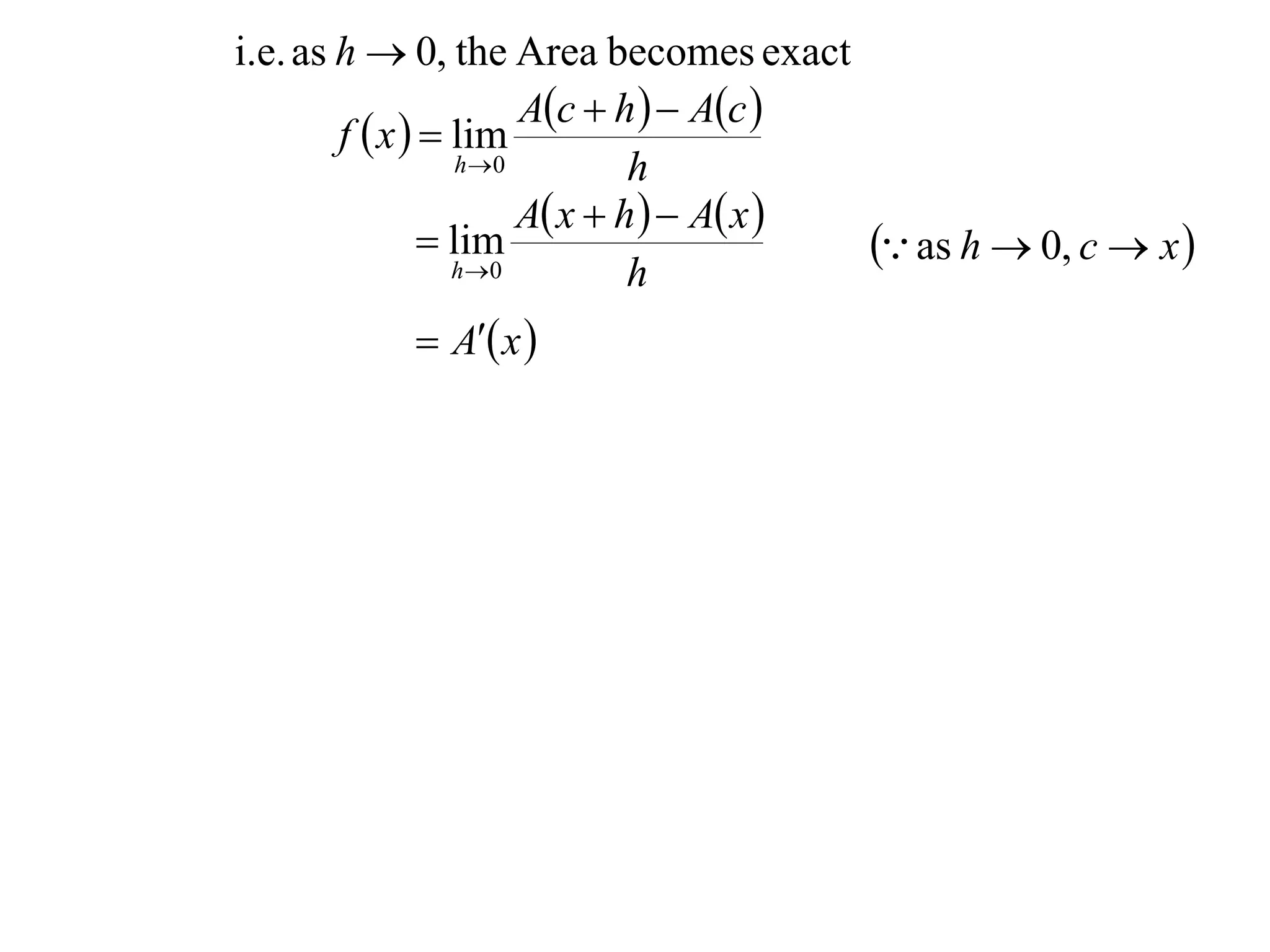
As the width of the rectangle decreases, the estimate becomes more
accurate.
i.e. as h  0, the Area becomes exact
i.e. as h  0, the Area becomes exact
                       Ac  h   Ac 
        f  x   lim
                  h 0        h
i.e. as h  0, the Area becomes exact
                        Ac  h   Ac 
        f  x   lim
                   h 0         h
                        A x  h   A x 
                 lim
                  h 0
                                             as h  0, c  x 
                                h
i.e. as h  0, the Area becomes exact
                        Ac  h   Ac 
        f  x   lim
                   h 0         h
                        A x  h   A x 
                 lim
                  h 0
                                             as h  0, c  x 
                                h
             A x 
i.e. as h  0, the Area becomes exact
                                  Ac  h   Ac 
                  f  x   lim
                             h 0         h
                                  A x  h   A x 
                           lim
                            h 0
                                                       as h  0, c  x 
                                          h
                       A x 
 the equation of the curve is the derivative of the Area function.
i.e. as h  0, the Area becomes exact
                                  Ac  h   Ac 
                  f  x   lim
                             h 0         h
                                  A x  h   A x 
                           lim
                            h 0
                                                       as h  0, c  x 
                                          h
                       A x 
 the equation of the curve is the derivative of the Area function.

  The area under the curve y  f  x  between x  a and x  b is;
i.e. as h  0, the Area becomes exact
                                  Ac  h   Ac 
                  f  x   lim
                             h 0         h
                                  A x  h   A x 
                           lim
                            h 0
                                                       as h  0, c  x 
                                          h
                       A x 
 the equation of the curve is the derivative of the Area function.

  The area under the curve y  f  x  between x  a and x  b is;
                                  b
                           A   f  x dx
                                  a
i.e. as h  0, the Area becomes exact
                                  Ac  h   Ac 
                  f  x   lim
                             h 0         h
                                  A x  h   A x 
                           lim
                            h 0
                                                       as h  0, c  x 
                                          h
                       A x 
 the equation of the curve is the derivative of the Area function.

  The area under the curve y  f  x  between x  a and x  b is;
                                  b
                           A   f  x dx
                                  a
                              F b   F a 
i.e. as h  0, the Area becomes exact
                                  Ac  h   Ac 
                  f  x   lim
                             h 0         h
                                  A x  h   A x 
                           lim
                            h 0
                                                       as h  0, c  x 
                                          h
                       A x 
 the equation of the curve is the derivative of the Area function.

  The area under the curve y  f  x  between x  a and x  b is;
                                  b
                           A   f  x dx
                                  a
                              F b   F a 
           where F  x  is the primitive function of f  x 
e.g. (i) Find the area under the curve y  x 3 , between x = 0 and
         x= 2
e.g. (i) Find the area under the curve y  x 3 , between x = 0 and
                         2
         x= 2
                     A   x 3 dx
                        0
e.g. (i) Find the area under the curve y  x 3 , between x = 0 and
                         2
         x= 2
                     A   x 3 dx
                        0
                               2

                        x4 
                        1
                        4 0
e.g. (i) Find the area under the curve y  x 3 , between x = 0 and
                         2
         x= 2
                     A   x 3 dx
                          0
                                2

                        x4 
                        1
                        4 0

                           2  04 
                          1 4
                          4
e.g. (i) Find the area under the curve y  x 3 , between x = 0 and
                         2
         x= 2
                     A   x 3 dx
                          0
                                2

                        x4 
                        1
                        4 0

                           2  04 
                          1 4
                          4
                        4 units 2
e.g. (i) Find the area under the curve y  x 3 , between x = 0 and
                         2
         x= 2
                     A   x 3 dx
                                0
                                      2

                              x4 
                              1
                              4 0

                                 2  04 
                                1 4
                                4
                              4 units 2
          3
      ii   x 2  1dx
          2
e.g. (i) Find the area under the curve y  x 3 , between x = 0 and
                         2
         x= 2
                     A   x 3 dx
                             0
                                   2

                           x4 
                           1
                           4 0

                              2  04 
                             1 4
                             4
                           4 units 2
          3                             3

      ii   x  1dx  
                2         1 x 3  x 
                                     
            2             3         2
e.g. (i) Find the area under the curve y  x 3 , between x = 0 and
                         2
         x= 2
                     A   x 3 dx
                            0
                                  2

                          x4 
                          1
                          4 0

                             2  04 
                            1 4
                            4
                          4 units 2
          3                            3

      ii   x  1dx  
                2         1 x 3  x 
                                     
            2             3         2
                        1 33  3  1 2 3  2
                                                   
                           3            3         
e.g. (i) Find the area under the curve y  x 3 , between x = 0 and
                         2
         x= 2
                     A   x 3 dx
                            0
                                  2

                          x4 
                          1
                          4 0

                             2  04 
                            1 4
                            4
                          4 units 2
          3                            3

      ii   x  1dx  
                2         1 x 3  x 
                                     
            2             3         2
                        1 33  3  1 2 3  2
                                                   
                           3            3         
                          22
                        
                           3
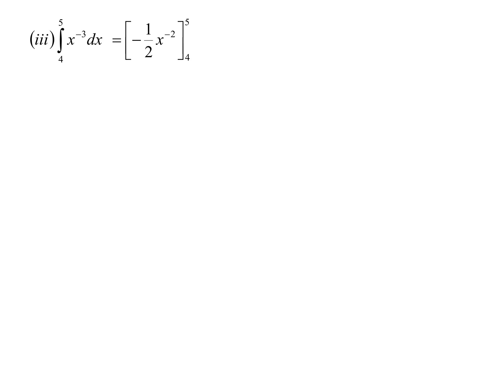
5
iii   x 3dx
     4
5                    5
                 1  2 
iii   x dx   x 
          3

       4         2 4
5                    5
                 1  2 
iii   x dx   x 
          3

       4         2 4
                11 1 
                2  2
                2 5 4 
                9
             
               800
5                    5
                 1  2 
iii   x dx   x 
          3

       4         2 4

                2  2
                1 1 1
                       
                2 5 4 
                9
             
               800




                         Exercise 11A; 1

        Exercise 11B; 1 aefhi, 2ab (i,ii), 3ace, 4b, 5a, 7*

11X1 T16 01 area under curve (2011)

  • 1.
  • 2.
  • 3.
  • 4.
    Integration Area Under Curve Area  11  12  3 3
  • 5.
    Integration Area Under Curve Area  11  12  3 3 Area  9
  • 6.
    Integration Area Under Curve Area  11  12  3 3 Area  9
  • 7.
    Integration Area Under Curve 10   11  Area  11  12  3 3 3 3 Area  9
  • 8.
    Integration Area Under Curve 10   11  Area  11  12  3 3 3 3 1  Area  9
  • 9.
    Integration Area Under Curve 10   11  Area  11  12  3 3 3 3 1  Area  9 Estimate Area  5 unit 2
  • 10.
    Integration Area Under Curve 10   11  Area  11  12  3 3 3 3 1  Area  9 Estimate Area  5 unit 2 Exact Area  4 unit 2
  • 13.
    Area  0.40.43 0.83  1.23  1.63  23 
  • 14.
    Area  0.40.43 0.83  1.23  1.63  23  Area  5.76
  • 15.
    Area  0.40.43 0.83  1.23  1.63  23  Area  5.76
  • 16.
    0.403  0.43 0.83  1.23  1.63   Area  0.40.43  0.83  1.23  1.63  23  Area  5.76
  • 17.
    0.403  0.43 0.83  1.23  1.63   Area  0.40.43  0.83  1.23  1.63  23  2.56  Area  5.76
  • 18.
    0.403  0.43 0.83  1.23  1.63   Area  0.40.43  0.83  1.23  1.63  23  2.56  Area  5.76 Estimate Area  4.16 unit 2
  • 21.
    Area  0.20.23 0.43  0.63  0.83  13  1.23  1.43  1.63  1.83  23 
  • 22.
    Area  0.20.23 0.43  0.63  0.83  13  1.23  1.43  1.63  1.83  23  Area  4.84
  • 23.
    Area  0.20.23 0.43  0.63  0.83  13  1.23  1.43  1.63  1.83  23  Area  4.84
  • 24.
    0.203  0.23 0.43  0.63  0.83  13  1.23  1.43  1.63  1.83   Area  0.20.23  0.43  0.63  0.83  13  1.23  1.43  1.63  1.83  23  Area  4.84
  • 25.
    0.203  0.23 0.43  0.63  0.83  13  1.23  1.43  1.63  1.83   Area  0.20.23  0.43  0.63  0.83  13  1.23  1.43  1.63  1.83  23  3.24  Area  4.84
  • 26.
    0.203  0.23 0.43  0.63  0.83  13  1.23  1.43  1.63  1.83   Area  0.20.23  0.43  0.63  0.83  13  1.23  1.43  1.63  1.83  23  3.24  Area  4.84 Estimate Area  4.04 unit 2
  • 27.
    As the widthsdecrease, the estimate becomes more accurate, lets investigate one of these rectangles. y y = f(x) x
  • 28.
    As the widthsdecrease, the estimate becomes more accurate, lets investigate one of these rectangles. y y = f(x) x
  • 29.
    As the widthsdecrease, the estimate becomes more accurate, lets investigate one of these rectangles. y y = f(x) c x A(c) is the area from 0 to c
  • 30.
    As the widthsdecrease, the estimate becomes more accurate, lets investigate one of these rectangles. y y = f(x) c x x A(c) is the area from 0 to c A(x) is the area from 0 to x
  • 31.
    A(x) – A(c)denotes the area from c to x, and can be estimated by the rectangle;
  • 32.
    A(x) – A(c)denotes the area from c to x, and can be estimated by the rectangle; f(x) x-c
  • 33.
    A(x) – A(c)denotes the area from c to x, and can be estimated by the rectangle; f(x) x-c A x   Ac    x  c  f  x 
  • 34.
    A(x) – A(c)denotes the area from c to x, and can be estimated by the rectangle; f(x) x-c A x   Ac    x  c  f  x  A x   Ac  f x  xc
  • 35.
    A(x) – A(c)denotes the area from c to x, and can be estimated by the rectangle; f(x) x-c A x   Ac    x  c  f  x  A x   Ac  f x  xc Ac  h   Ac   h = width of rectangle h
  • 36.
    A(x) – A(c)denotes the area from c to x, and can be estimated by the rectangle; f(x) x-c A x   Ac    x  c  f  x  A x   Ac  f x  xc Ac  h   Ac   h = width of rectangle h As the width of the rectangle decreases, the estimate becomes more accurate.
  • 37.
    i.e. as h 0, the Area becomes exact
  • 38.
    i.e. as h 0, the Area becomes exact Ac  h   Ac  f  x   lim h 0 h
  • 39.
    i.e. as h 0, the Area becomes exact Ac  h   Ac  f  x   lim h 0 h A x  h   A x   lim h 0  as h  0, c  x  h
  • 40.
    i.e. as h 0, the Area becomes exact Ac  h   Ac  f  x   lim h 0 h A x  h   A x   lim h 0  as h  0, c  x  h  A x 
  • 41.
    i.e. as h 0, the Area becomes exact Ac  h   Ac  f  x   lim h 0 h A x  h   A x   lim h 0  as h  0, c  x  h  A x   the equation of the curve is the derivative of the Area function.
  • 42.
    i.e. as h 0, the Area becomes exact Ac  h   Ac  f  x   lim h 0 h A x  h   A x   lim h 0  as h  0, c  x  h  A x   the equation of the curve is the derivative of the Area function. The area under the curve y  f  x  between x  a and x  b is;
  • 43.
    i.e. as h 0, the Area becomes exact Ac  h   Ac  f  x   lim h 0 h A x  h   A x   lim h 0  as h  0, c  x  h  A x   the equation of the curve is the derivative of the Area function. The area under the curve y  f  x  between x  a and x  b is; b A   f  x dx a
  • 44.
    i.e. as h 0, the Area becomes exact Ac  h   Ac  f  x   lim h 0 h A x  h   A x   lim h 0  as h  0, c  x  h  A x   the equation of the curve is the derivative of the Area function. The area under the curve y  f  x  between x  a and x  b is; b A   f  x dx a  F b   F a 
  • 45.
    i.e. as h 0, the Area becomes exact Ac  h   Ac  f  x   lim h 0 h A x  h   A x   lim h 0  as h  0, c  x  h  A x   the equation of the curve is the derivative of the Area function. The area under the curve y  f  x  between x  a and x  b is; b A   f  x dx a  F b   F a  where F  x  is the primitive function of f  x 
  • 46.
    e.g. (i) Findthe area under the curve y  x 3 , between x = 0 and x= 2
  • 47.
    e.g. (i) Findthe area under the curve y  x 3 , between x = 0 and 2 x= 2 A   x 3 dx 0
  • 48.
    e.g. (i) Findthe area under the curve y  x 3 , between x = 0 and 2 x= 2 A   x 3 dx 0 2   x4  1 4 0
  • 49.
    e.g. (i) Findthe area under the curve y  x 3 , between x = 0 and 2 x= 2 A   x 3 dx 0 2   x4  1 4 0  2  04  1 4 4
  • 50.
    e.g. (i) Findthe area under the curve y  x 3 , between x = 0 and 2 x= 2 A   x 3 dx 0 2   x4  1 4 0  2  04  1 4 4  4 units 2
  • 51.
    e.g. (i) Findthe area under the curve y  x 3 , between x = 0 and 2 x= 2 A   x 3 dx 0 2   x4  1 4 0  2  04  1 4 4  4 units 2 3 ii   x 2  1dx 2
  • 52.
    e.g. (i) Findthe area under the curve y  x 3 , between x = 0 and 2 x= 2 A   x 3 dx 0 2   x4  1 4 0  2  04  1 4 4  4 units 2 3 3 ii   x  1dx   2 1 x 3  x   2 3 2
  • 53.
    e.g. (i) Findthe area under the curve y  x 3 , between x = 0 and 2 x= 2 A   x 3 dx 0 2   x4  1 4 0  2  04  1 4 4  4 units 2 3 3 ii   x  1dx   2 1 x 3  x   2 3 2 1 33  3  1 2 3  2     3   3 
  • 54.
    e.g. (i) Findthe area under the curve y  x 3 , between x = 0 and 2 x= 2 A   x 3 dx 0 2   x4  1 4 0  2  04  1 4 4  4 units 2 3 3 ii   x  1dx   2 1 x 3  x   2 3 2 1 33  3  1 2 3  2     3   3  22  3
  • 55.
    5 iii  x 3dx 4
  • 56.
    5 5  1  2  iii   x dx   x  3 4  2 4
  • 57.
    5 5  1  2  iii   x dx   x  3 4  2 4 11 1     2  2 2 5 4  9  800
  • 58.
    5 5  1  2  iii   x dx   x  3 4  2 4    2  2 1 1 1   2 5 4  9  800 Exercise 11A; 1 Exercise 11B; 1 aefhi, 2ab (i,ii), 3ace, 4b, 5a, 7*