c
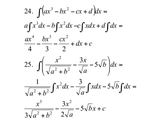
x
dxx
c
bx
dxbx
cxdxx
x
dxx
+=
+=
+=
=
∫
∫
∫
∫
3
3
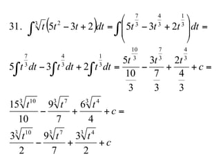
34.
4
3.
52.
7
1.
3
2
4
3
54
7
6
c
x
c
x
dxxdxx
c
xdx
c
xdx
caxadx
+=+==
+=
+=
+=
∫∫
∫
∫
∫
4
3
3
4
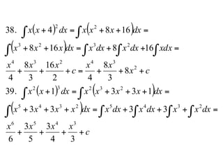
8.
33
7.
4
3
4
3
6.
5.
3 43
4
3 3
1
∫ ∫
∫ ∫
∫∫
∫ ∫
∫∫
+=+==
+==
+−=+
−
==
+−=+
−
==
+=+=+==
−
−
−
−
−
c
x
c
x
dxx
x
dx
cxLn
x
dx
x
dx
c
x
c
x
dxx
x
dx
c
x
c
x
dxx
x
dx
cxc
x
c
x
dxxdxx
3
4
4
3
13.
44
4
12.
3
5
3
5
5
5
11.
2
1
2
10.
4
5
20
4
5
5559.
4 34
3
4
1
4
3
3
4
4
2
2
3
3
4 5
4 54
5
4
1
4
c
bx
c
x
bdxxbdxbx
cxLn
x
dx
x
dx
cxac
ax
dxxa
x
adx
c
x
c
x
dxxdxx
cxc
x
c
x
dxx
x
dx
+=+==
+==
+=+==
+=+==
+=+=+==
∫∫
∫ ∫
∫ ∫
∫∫
∫∫
−
−
3
2
2
3
18.
2
5
2
5
2
5
17.
3
3
1
16.
8
5
5
8
15.
9
2
18
3
2
6
6
6
14.
32
3
2
1
2
1
3
3
1
3
2
3 2
5 85
8
5
3
5 3
3 2
3 23
2
3
1
3
c
at
c
ta
dttadtat
cxLn
xx
cxLn
xx
x
dx
dxxdxx
dx
x
dx
x
dx
x
dx
xxx
cx
x
c
xx
c
xx
dxxdxxdxx
x
+=+==
+−+−
=+−
−
−
−
=−−
=−−=⎟⎟
⎠
⎞
⎜⎜
⎝
⎛
−−
+−=+−
=+−=−=⎟
⎠
⎞
⎜
⎝
⎛
−
∫ ∫
∫ ∫ ∫
∫ ∫ ∫ ∫
∫ ∫ ∫
−−
−−
−
4
3
3
4
21.
6
2
4
3
6
1
2
4
3
623
623623
20.
3
2
15
4
12
2
15
3
4
4
3
2
5
454
5
19.
3 43
4
3
3
1
33
4
14
25
2525
3 4
3 23 43 2
3
4
3
2
3
1
3
1
3
3
( )
cxxxxx
x
cx
xxxxx
dxxxxxdxx
dxxxxxx
c
t
c
t
dttdtt
+−−−−−
=+−−−−−
=−−−−−
=−−−−−
+=+==
∫ ∫ ∫ ∫ ∫∫
∫
∫∫
32
3
4
3
2
2
3
6
4
4
5
5
6
8
326458
32645823.
3
62
2
3
6
6622.
2345
6
23456
2345
2345
32
3
2
1
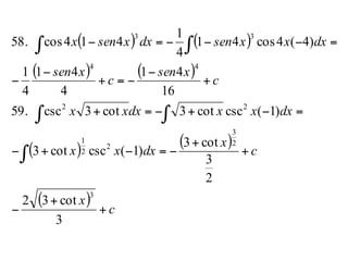
( )
cxb
a
x
ba
x
dxbxdx
a
dxx
ba
dxb
a
x
ba
x
cdx
cxbxax
dxdxdxcdxxbdxxa
dxdcxbxax
+−−
+
=−−
+
=⎟
⎟
⎠
⎞
⎜
⎜
⎝
⎛
−−
+
++−−
=+−−
=+−−
∫∫∫
∫
∫∫∫ ∫
∫
5
2
3
3
5
31
5
3
25.
234
24.
2
22
3
2
22
22
2
234
23
23
c
x
x
c
xx
c
xx
dxxdxxdx
xx
cxx
x
cx
xx
dxdxxdxx
dx
x
x
x
x
x
x
dx
x
xxx
+−
=+−=+−
=−=⎟
⎟
⎠
⎞
⎜
⎜
⎝
⎛
−
+−−
=+−−=−−
=−−=⎟⎟
⎠
⎞
⎜⎜
⎝
⎛ −−
∫∫∫
∫∫∫
∫ ∫ ∫ ∫
−−
2
5
5
4
10
3
15
5
4
2
5
3
3
23
23
27.
72
4
7
3
6
4
76
76
76
26.
5 4
5 3
5 45 35
4
5
3
5
1
5
2
55 2
3
4
34
23
3434
c
yyyy
c
yyyy
dyydyydyydyydyyyyy
c
x
xc
xx
c
xx
dxxdxxdx
xx
+−−−=+−−−
=−−−=⎟
⎟
⎠
⎞
⎜
⎜
⎝
⎛
−−−
+−=+−
=+−=−=⎟
⎠
⎞
⎜
⎝
⎛
−
∫ ∫ ∫ ∫ ∫
∫∫∫
−−
3
2
5
8
7
15
7
2
2
3
4
5
2
3
7
5
2
7
252529.
3
20
6
3
20
2
12
4
3
5
3
2
4
54
54
28.
34 53 772
3
4
5
3
7
2
7
2
1
4
1
3
4
2
5
4
1
3
4
2
5
4 3
3 2
4 33 2
4
3
3
2
4
1
3
1
43
c
y
yy
c
yyy
dyydyydyy
dy
y
y
dy
y
y
dy
y
y
dy
y
yyy
++−
=+
−
−−=−−
=−−=
⎟
⎟
⎟
⎠
⎞
⎜
⎜
⎜
⎝
⎛
−−
−
−−
∫ ∫ ∫
∫ ∫ ∫∫
4 3
3 25
4
3
3
2
2
5
4
7
3
1
2
3
2
4
1
2
3
5
2
2
7
2
4
1
3
5
2
7
3
4
2
3
5
2
4
3
3
2
2
5
30.
( )
c
ttt
c
ttt
c
ttt
dttdttdtt
dttttdtttt
++−
=++−
=++−=+−
=⎟
⎟
⎠
⎞
⎜
⎜
⎝
⎛
+−=+−
∫ ∫ ∫
∫ ∫
2
3
7
9
2
3
4
6
7
9
10
15
3
4
2
3
7
3
3
10
5
235
23523531.
3 43 73 10
3 43 73 10
3
4
3
7
3
10
3
1
3
4
3
7
3
1
3
4
3
7
23
( ) ( ) ( )
( ) c
x
c
x
dxxdxx
c
t
c
t
dttdtt
+
+
=+
+
⎟
⎠
⎞
⎜
⎝
⎛
=+=+
+=+==
∫∫
∫ ∫
21
43
7
43
3
1
343
3
1
4333.
4
73
3
4
7
7732.
7
7
66
3 43
4
3
3
1
33
( ) ( )
( ) ( )
( ) ( )
( ) ( ) c
t
c
t
dtttdttt
c
a
bax
c
bax
a
axdxbax
a
xdxbax
+
−
=+
−
=−=−
+
−
=+
−
⎟
⎠
⎞
⎜
⎝
⎛
=−=−
∫∫
∫ ∫
9
4
3
4
3
1
34
3
1
435.
1262
1
2
2
1
34.
3333
23232
6262
5252
( ) ( )
( ) ( )
( ) ( )
ctt
t
ct
tt
dtdttdtt
dtttdtt
c
b
bya
c
bya
b
dybbya
b
dybya
++−
++−=+−
=+−=−
+
−
−=+
−
−
=−−−=−
∫ ∫ ∫
∫ ∫
∫∫
364
5
36
3
12
5
3612
3612637.
55
1
)(
1
36.
3
5
35
24
2422
55
44
( ) ( )
( )
( ) ( )
( )
c
xxxx
dxxxdxxdxxdxxxxx
dxxxxxdxxx
cx
xx
c
xxx
xdxdxxdxxdxxxx
dxxxxdxxx
++++
=+++=+++
=+++=+
+++=+++
=++=++
=++=+
∫ ∫ ∫ ∫ ∫
∫ ∫
∫ ∫ ∫∫
∫ ∫
34
3
5
3
6
3333
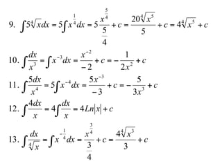
133139.
8
3
8
42
16
3
8
4
168168
168438.
3456
23452345
23232
2
34234
2323
22
( ) ( )
( ) ( )
( ) ( )
( ) ( )
c
x
c
x
c
x
dxxdxx
c
n
nym
c
n
nym
c
nym
n
ndynym
n
dynym
+
−
=+
−
+
−
=−=−
+
+
=+
+
+
+
=+=+
∫ ∫
∫ ∫
15
352
15
352
2
3
35
5
1
35
5
1
3541.
3
2
3
2
2
3
11
40.
3
2
3
2
3
2
1
3
2
3
2
3
2
1
( ) ( )
( )
( ) ( )
( ) ( ) ( )
c
x
c
x
c
x
dxxdxx
x
dx
c
a
bat
cbat
a
c
bat
a
atdtbat
a
tdtbat
bat
tdt
+
−
=+
−
=+
−
=−=−=
−
+
+
++=+
+
=+=+=
+
∫ ∫∫
∫∫
−−
−−
6
19
18
193
3
2
19
9
1
919
9
1
19
19
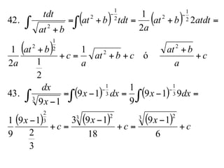
43.
ó
1
2
12
1
2
2
1
42.
3 23 2
3
2
3
1
3
1
3
2
2
2
1
2
2
1
22
1
2
2
( ) ( )
( )
( ) ( )
( )
( )
c
x
c
x
xdxxxdxx
x
xdx
cx
xx
cx
xx
dxdxxxdx
dxxxdxx
+
−
−=+
−
−
=−=−=
−
++−
=++−=+−
=+−=−
−
−−
∫∫ ∫
∫ ∫ ∫
∫ ∫
32
32
4242
42
32
2
3
2
2
1
2
4318
1
3
43
6
1
643
6
1
43
43
45.
16
3
16
2
16
2
3
8
2
168
168444.
( )
( ) ( )
( )
( )
( )
( ) ( )
( )
( )
c
x
c
x
xdxxxdxx
x
xdx
c
x
c
x
dxxdxx
x
dx
+
+
−=+
−
+
=+=+=
+
+
−
−=+
−
−
=−=−=
−
−
−−
−
−−
∫ ∫∫
∫ ∫∫
32
32
4242
42
1
22
2
523
2
3
52
2
452
4
8
528
52
8
47.
433
5
1
43
3
5
343
3
5
435
43
5
46.
( ) ( )
( ) c
bx
dx
x
bx
dx
x
bx
+
−
=
−
=
−
∫∫
3
2
2
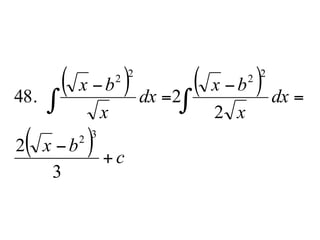
248.
32
2222
∫
∫ ∫
∫
∫∫
∫ ∫
+−
=
−
=
−
=
−
++=
+
+−=
−
=
−
++=
+
=
+
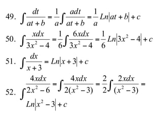
cxLn
x
xdx
x
xdx
x
xdx
cxLn
x
dx
cxLn
x
xdx
x
xdx
cbatLn
abat
adt
abat
dt
3
)3(
2
2
2
)3(2
4
62
4
52.
3
3
51.
43
6
1
43
6
6
1
43
50.
11
49.
2
222
2
22
53.
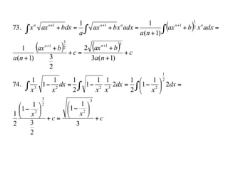
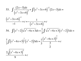
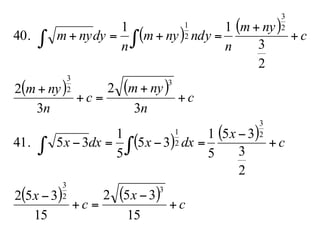
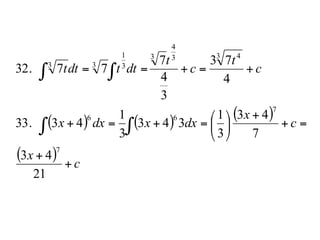
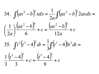
2x !3( )dx
x2
!3x + 6( )
2
= x2
!3x + 6( )
!2
2x !3( )dx =""
x2
!3x + 6( )
!1
!1
+c = !
1
x2
!3x + 6( )
+c
54. x2
! 2( ) x3
! 6x +3" dx =
1
3
x3
! 6x +3 x2
! 2( )3dx ="
1
3
x3
! 6x +3( )
1
2
" x2
! 2( )3dx =
1
3
x3
! 6x +3( )
3
2
3
2
+c
2 x3
! 6x +3( )
3
9
+c
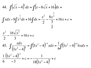
( ) ( )
( )
( ) ( )
( ) ( ) ( )
( ) ( )
( ) ( )
( ) c
xLn
x
dxxLn
x
dxxLn
c
e
c
e
dxeedxee
c
amnan
bay
c
m
bay
an
dyanybay
anbay
dyany
anbay
dyy
xx
xxxx
mnmn
nmn
mn
n
mn
n
+
+−
−
=
+
−+−
−=
+
+−
=+
−
−=+
−
−
=−−−=−
+
−
+
=+
+−
+
=+=
+
=
+
∫∫
∫ ∫
∫∫ ∫
−+−
−−
−−
4
34
3
)1(34
3
34
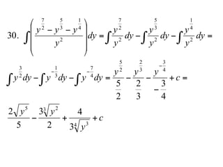
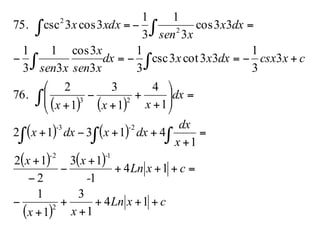
57.
9
1
)3(3
1
31
3
1
156.
1
1
11
55.
4
33
3333
323233
11
1
11
( ) ( )
( ) ( )
( ) ( )
( )
c
x
c
x
dxxx
dxxxdxxx
c
xsen
c
xsen
dxxxsendxxsenx
+
+
−
+
+
−=−+−
=−+−=+
+
−
−=+
−
−
=−−−=−
∫
∫ ∫
∫ ∫
3
cot32
2
3
cot3
)1(csccot3
)1(csccot3cot3csc59.
16
41
4
41
4
1
)4(4cos41
4
1
414cos58.
3
2
3
2
2
1
22
44
33
( )
( )
csenaxLn
a
dxa
senax
ax
a
dx
senax
ax
cxc
x
dxxxx
dx
x
xx
dx
x
xx
+−−
=−
−
−=
−
+−−=+
−
−
=−−
=
−
−=
−
∫∫
∫
∫ ∫
−
1
1
)(
1
cos1
1
cos
61.
2sec1
2
1
2sec1
2
1
22tan2sec2sec1
2
1
2
2sec1
2tan2sec
2
1
2sec1
2tan2sec
60.
2
1
2
1
( ) ( )
( )
( ) ( )
( ) ( ) c
senxLn
dx
senx
xsenxLn
dx
senx
x
senxLndxsenxLnx
c
e
c
e
dx
x
ee
dx
x
ee
dx
x
ee
x
xxx
xxxx
+
+
=
+
=+=+
+
−
=+
−
=
−
=
−
=
−
∫
∫ ∫
∫
∫∫
2
2cos2
cos
22cot63.
3
14
2
3
1
2
2
1
2
2
1
2
1
62.
2
3
2
3
2
1
( ) ( )
c
m
mx
c
mx
m
mxmdxmx
m
mxdxmx
c
b
bxsen
c
bxsen
b
bxbdxbxsen
b
bxdxbxsen
c
xx
xdxsen
+−=+−
=−=
+=+
==
+
−
−=
−
∫ ∫
∫ ∫
∫
2
cot
2
cot1
csccot
1
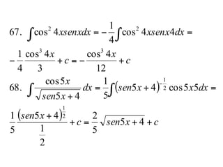
csccot66.
33
1
cos
1
cos65.
cos12
1
cos1
2
64.
22
22
33
22
2232
( )
( ) cxsenc
xsen
dxxxsendx
xsen
x
c
x
c
x
dxxsenxxsenxdx
++=+
+
=+=
+
+−=+−
=−=
∫∫
∫ ∫
−
45
5
2
2
1
45
5
1
55cos45
5
1
45
5cos
68.
12
4cos
3
4cos
4
1
44cos
4
1
4cos67.
2
1
2
1
33
22
( ) ( )
cxLnx
x
x
dx
dxxdx
x
dx
dxxdx
x
dx
dxx
x
dxx
cxLnx
x
dx
dx
x
dx
dxdx
x
x
+−++
=
−
++=
−
++
=
−
++=
−
+
++−
=
+
−=
+
−=
+
+
∫ ∫∫∫∫ ∫
∫ ∫ ∫
∫ ∫ ∫ ∫ ∫
153
2
3
1
533
1
2
33
1
5
33
1
23
70.
264
2
64
2
6
4
2
24
69.
2
2
Estas son racionales impropias
( )
cxLnLn
xxLn
dx
xxLn
dx
xxLn
dx
c
Lny
c
Lny
y
dyLny
Lnyy
dy
yyLn
dy
+
===
+−=+
−
===
∫∫ ∫
∫ ∫ ∫
−
−
3
2
1
32
1
32
1
32
72.
1
1
)(
)(
71.
1
2
22
( )
( ) ( )
c
x
c
x
dx
x
dx
xx
dx
xx
c
na
bax
c
bax
na
adxxbax
na
adxxbax
a
dxbaxx
nn
nnnnnn
+
⎟
⎠
⎞
⎜
⎝
⎛
−
=+
⎟
⎠
⎞
⎜
⎝
⎛
−
=⎟
⎠
⎞
⎜
⎝
⎛
−=−=−
+
+
+
=+
+
+
=+
+
=+=+
∫∫∫
∫∫ ∫
++
+++
3
1
1
2
3
1
1
2
1
2
1
1
2
1
2
11
1
2
11
1
1
74.
)1(3
2
2
3)1(
1
)1(
11
73.
3
2
2
3
2
2
1
23223
31
2
3
1
2
1
111
( ) ( )
( ) ( )
( ) ( )
( )
cxLn
xx
cxLn
-
xx
x
dx
dxxdxx
dx
xxx
cxcsxdxxxdx
xsen
x
xsen
dxx
xsen
xdxx
+++
+
+
+
−
=+++
+
−
−
+
=
+
++−+
=⎟⎟
⎠
⎞
⎜⎜
⎝
⎛
+
+
+
−
+
+−=−=−
=−=
∫ ∫∫
∫
∫∫
∫∫
14
1
3
1
1
14
1
13
2
12
1
41312
1
4
1
3
1
2
76.
3
3
1
33cot3csc
3
1
3
3cos
3
1
3
1
33cos
3
1
3
1
3cos3csc75.
2
1-2-
2-3-
23
2
2

Integrales resueltas 370 371 conamat