Synthesis of Membrane Lipids
Vignesh. O
Membrane Lipids
• Lipids involved in forming the structure of biological membranes.
• Assembled from phosphoglycerides, sphingolipids and steroids.
• Arranged in bilayers.
• Amphipathic molecules.
Synthesis
• Occurs in endomembrane compartment (incl. the domain of golgi and ER).
• Specialized phospholipids are synthesized in mtc and peroxisomes.
• Includes the activity of hundreds of enzymes.
• Active transport (free diffusion denied due to hydrophobicity).
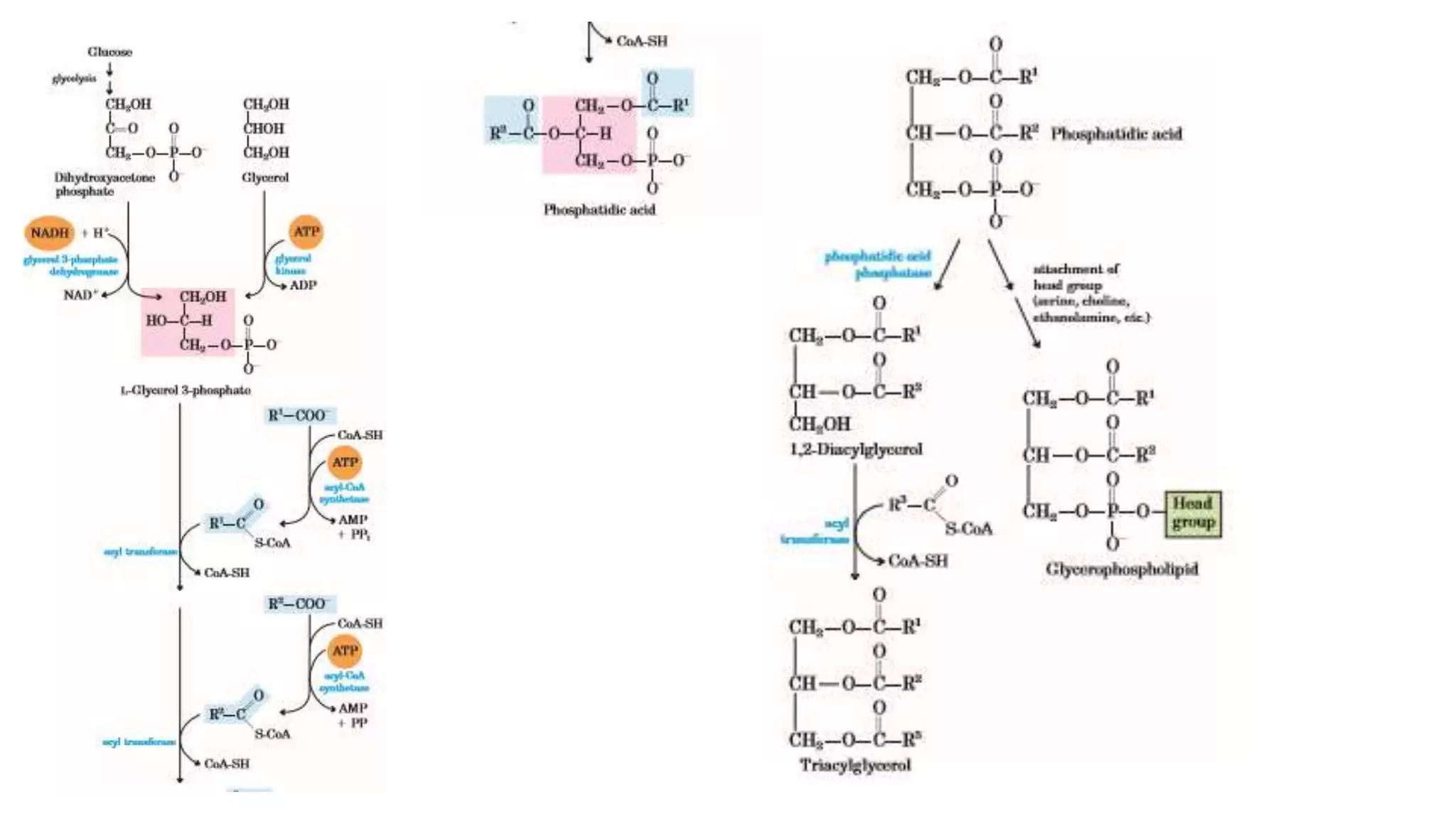
Phosphoglycerides
• Most abundant class.
• Derivatives of glycerol-3-phosphate.
• Contains 2 fatty acyl chains (esterified to -OH) and
polar head group(attached to phosphate).
• Classified according to head group.
Eg: Phosphatidylcholine (Lecithin) – Choline head group.
Phosphatidylethanolamine (Cephalin) – Ehanolamine head group.
Plasmalogens
• Phosphoglycerides with ester and ether linkage.
• Ester linkage (C-OOC) between fatty acyl group and glycerol.
• Ether linkage (C-O-C) between long HC chain and glycerol.
• Constitute 20% of phosphoglycerides.
Sphingolipids
Compounds derived from sphingosine (aminoacyl alcohol).
Eg. Sphingomyelin (phosphocholine attached to terminal hydroxyl group)
- Most abundant sphingolipid
Gangliosides
• Complex glycosphingolipid.
• Contains 1 or 2 sugar chains attached to sphingosine.
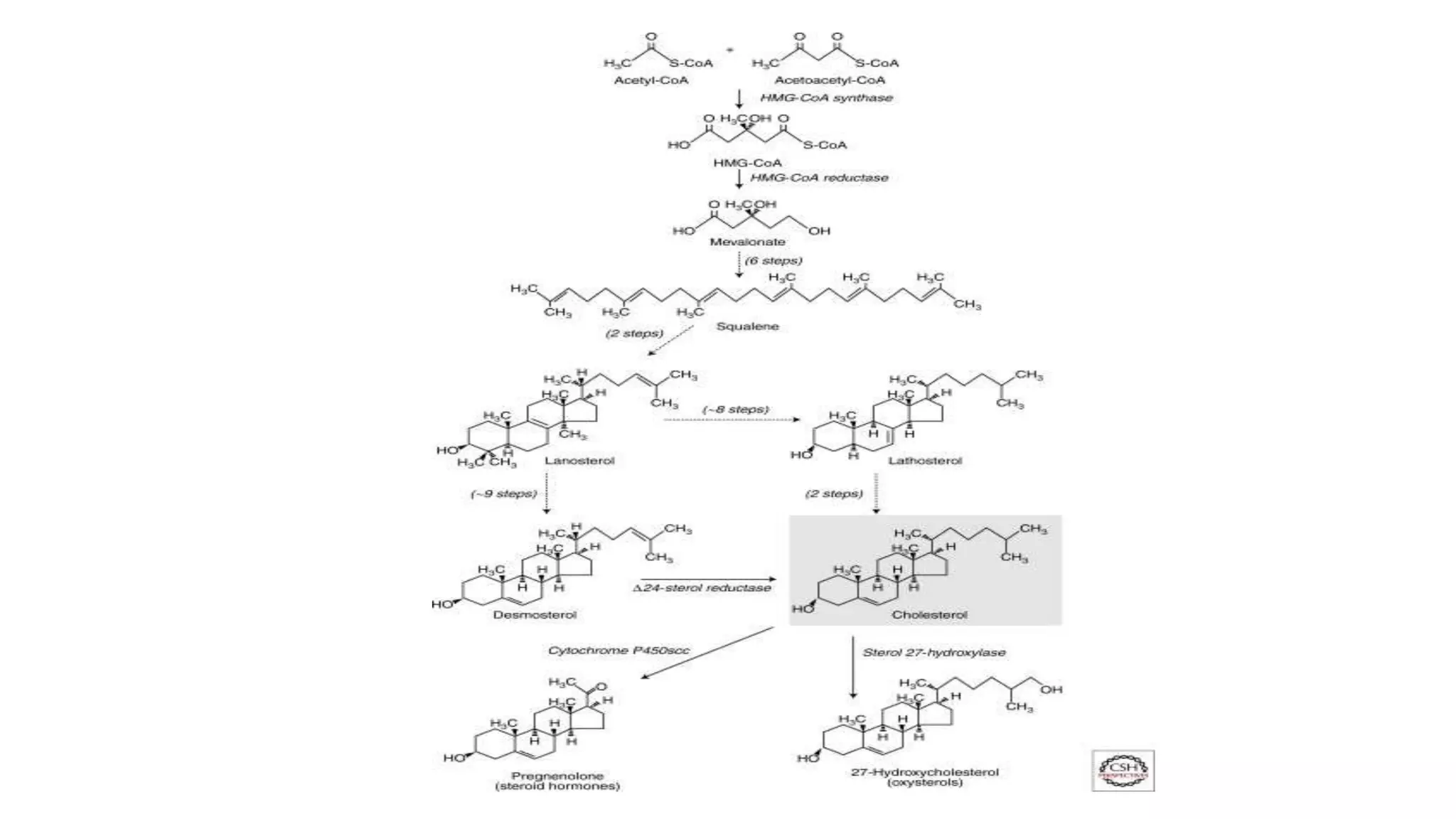
Steroids
• Cholesterol and derivatives.
• Steroid nucleus.
• Cholestrol abundant in plasma membranes of mammalian cells
but absent in prokaryotes.
• Amphipathic (Since –OH group interact with water)
Synthesis of membrane lipids
Why?
• Cells can’t divide and enlarge.
• Important as protein synthesis and DNA replication.
• Synthesize new membrane by the expansion of existing membranes.
• Early synthesis occurs in the cytoplasm.
• Final steps are catalyzed by pre-existing membrane bound enzymes.
• Fatty acids are the key components of membrane lipids
Fatty acids are the key components of membrane lipids
FA synthesis regulation plays major role in membrane synthesis also.
Synthesis of Membrane Lipids

Synthesis of Membrane Lipids

  • 1.
    Synthesis of MembraneLipids Vignesh. O
  • 2.
    Membrane Lipids • Lipidsinvolved in forming the structure of biological membranes. • Assembled from phosphoglycerides, sphingolipids and steroids. • Arranged in bilayers. • Amphipathic molecules.
  • 3.
    Synthesis • Occurs inendomembrane compartment (incl. the domain of golgi and ER). • Specialized phospholipids are synthesized in mtc and peroxisomes. • Includes the activity of hundreds of enzymes. • Active transport (free diffusion denied due to hydrophobicity).
  • 4.
    Phosphoglycerides • Most abundantclass. • Derivatives of glycerol-3-phosphate. • Contains 2 fatty acyl chains (esterified to -OH) and polar head group(attached to phosphate). • Classified according to head group. Eg: Phosphatidylcholine (Lecithin) – Choline head group. Phosphatidylethanolamine (Cephalin) – Ehanolamine head group.
  • 8.
    Plasmalogens • Phosphoglycerides withester and ether linkage. • Ester linkage (C-OOC) between fatty acyl group and glycerol. • Ether linkage (C-O-C) between long HC chain and glycerol. • Constitute 20% of phosphoglycerides.
  • 9.
    Sphingolipids Compounds derived fromsphingosine (aminoacyl alcohol). Eg. Sphingomyelin (phosphocholine attached to terminal hydroxyl group) - Most abundant sphingolipid
  • 10.
    Gangliosides • Complex glycosphingolipid. •Contains 1 or 2 sugar chains attached to sphingosine.
  • 11.
    Steroids • Cholesterol andderivatives. • Steroid nucleus. • Cholestrol abundant in plasma membranes of mammalian cells but absent in prokaryotes. • Amphipathic (Since –OH group interact with water)
  • 12.
    Synthesis of membranelipids Why? • Cells can’t divide and enlarge. • Important as protein synthesis and DNA replication. • Synthesize new membrane by the expansion of existing membranes. • Early synthesis occurs in the cytoplasm. • Final steps are catalyzed by pre-existing membrane bound enzymes.
  • 14.
    • Fatty acidsare the key components of membrane lipids
  • 19.
    Fatty acids arethe key components of membrane lipids FA synthesis regulation plays major role in membrane synthesis also.