STRUCTURE ELUCIDATION
OF RESERPINE
PRESENTED BY:
MOHD SHAFEEQUE
M. PHARM. 1ST SEM.
(PHARM. CHEMISTRY)
JAMIA HAMDARD
CONTENTS:
➢INTRODUCTION
➢PROPERTIES
➢ISOLATION
➢IDENTIFICATION TESTS
➢USES
➢STRUCTURE ELUCIDATION
➢SYNTHESIS
➢REFERENCES
RESERPINE
(Indole Alkaloid)
Synonyms: Crystosprine, Eskaserp, Reserpoid, Rivasin, Sandril,
Sedaraupin etc.
Biological source: Major source of Reserpine is dried roots of the
Rauvolfia serpentina (Apocynaceae).
Chemical Structure:
(3b,16b,17a,18b,20a)-11,17-Dimethoxy-18-[(3,4,5-trimethoxy benzoyl)oxy]
yohimban-16-carboxylic acid methyl ester.
C33H40N2O9
NH
N
H3CO
OCH3
OCO
OCH3
OCH3
OCH3
H3COOC
H
H
H
PROPERTIES:
➢ Colour – White or pale buff to slightly yellow coloured. Darkens
slowly on exposure to light when powder, more rapidly when
solution.
➢ State – Small crylstals or crystalline powder.
➢ Odour – Odourless
➢ Reserpine is a weakly basic in nature, pKa-6.6
➢ It decomposes at 264 – 265 °C
➢ It is found to freely soluble in chloroform (~1g/6ml), glacial acetic
acid, methylene chloride; soluble in benzene, ethyl acetate; slightly
soluble in acetone, methanol, ethanol (1g/1800ml), ether,in aqueous
solutions of citric acids; and very sparingly soluble in water.
ISOLATION:
Roots are powdered& moisten with 10% NaHCO3 & extracted with Benzene, until the
extract gives a weak positive reaction with HgI2
Concentrate it , add Ether & Dil. HCl. The combined acidic solution is washed with Ether
filtered and extracted with CHCl3
The extract is washed subsequently with 10% Sod. Carbonate Solution followed by
water so as to get rid of any free acid present
The resulting extract is finally evaporated to dryness undervacuum
The residue is dissolved in anhydrous Methanol and seededwith pure crystal of
Reserpine
Pure crystal of Reserpine obtained
IDENTIFICATION TEST:
A. Most Solutionsof reserpine upon standing acquire a distanct yellow
colouration and a marked and pronounced fluorescence, especially after the
addition of an acid or upon exposure to light.
B. Reserpine Hydrochloride Hydrate (C33H43Cl N2O10 ): It is obtained as crystals
which decomposes at 224 °C.
USES:
A. It is a hypotensive drug which exhibits strong hypotensive and sedative
activity.
B. It is employed to alleviate mild anxiety conditions. (Tranquillizing Effect)
STRUCTURE ELUCIDATION OF RESERPINE:
1. Molecular Formula:
The mol. Formula of reserpine is C33H40N2O9.
2. Presence of 5 Methoxy Group:
On heating with HI it gives 5 moles of Methyl Iodide (Ziesel Method)
indicating the presence of 5 methoxy groups.
3. Nature of NitrogenAtom:
Reserpine forms monoacetyl dtv. Indicating the presence of an –NH-
(secondary nitrogen) group. It is further confirmed by IR spectra which
reveals the presence of an indole nucleus. Reserpine readily gives a
methiodide, so the second nitrogen atom must be tertiary.
4. Hydrolysis:
Reserpine upon alkaline hydrolysis gives- METHANOL, 3,4,5-
TRIMETHOXYBENZOIC ACID and another ACID A (Reserpic Acid).
• Since reserpine has no –COOH or –OH group, the introduction of two
carboxyl acidic grp and two hydroxyl groups in the hydrolysis products
suggest that reserpine is a diester.
• This is further confirmed by the reduction of reserpine with LiAlH4 to
reserpic alcohol and 3,4,5-trimethoxybenzyl alcohol.
C33H40N2O9 2H2O CH3OH C22H28N2O5
+
COOH
H3CO
OCH3
OCH3
+ +
NaOH
Reserpine Reserpic Acid
3,4,5-Trimethoxybenzoic
acid
5. Structure of Reserpic Acid:
i. By the usual test reserepic acid is found to possess two methoxy, one carboxylic,
one secondary alcoholic, one secondary and one tertiary amino groups.
ii. Presence of Indole Nucleus:
On permanganate oxidation-
iii. Reserpic acid on fusion with potash gives 5-hydroxyisophthalic acid. Now since
one of the acidic groups of isophthalic acid must be the acidic group of reserpic
acid are meta to each other. The same is confirmed by the fact that reserpic acid
yields a g-lactone on heating with Ac2O.
C22H28N2O5
H3CO N
COOH
COOH
O
H
KMnO4
4-Methoxy-N-oxalyl anthranilic acid
C22H28N2O5
COOH
OH
HOOC
KOH
Fusion
OH
HOOC
CO
O
iv. On Selenium Dehydrogenation:
Methyl reserpate affords a compound of the composition C19H16N2 (Yobyrine) as
one of the principal product.
The compound yobyrine condenses with aldehydes suggesting the presence of
pyridine ring with a -CH2- substituent adjacent to nitrogen. It gives 3-ethylindole
and isoquinoline on zinc dust distillation , pthallic acid on permanganate
oxidation, and ortho-toluic acid on chromic acid oxidation.
C19H16N2
CH3
COOH
COOH
COOH
N
C2H5
H
N
+
KMnO4
Chromic
Acid
Zn dust
o-toluic acid
Phthalic acid
Yobyrine
3-Ethylindole Isoquinoline
N
N
H
H
➢ All these reaction suggest the following
structure to yobyrine.
➢ The above proposed structure for yobyrine
is confirmed by its synthesis.
➢ The formation of yobyrine from reserpic acid indicates that the latter
has the following type of carbon skeleton.
8
13
9
12
10
11
7
2
N
1
6
5
3
N
4
14 15 19
18
20
17
16
21
H
N
N
H
CH3
C
H3
O
H
✓ From point (II)- Methoxy group is present at C-11 (meta
position to the –NH- grp of indole.
✓ Presence of carboxyl group at C-16 indicated by the
dehydrogenation of reserpic acid with selenium to 11-
hydroxy-16-methylyobyrine (during dehydrogenation –
COOH grp is converted into -CH3).
✓ From point (III) – We can conclude –OH grp present at C-
18 position because –COOH & -OH grp present at meta
to each other.
✓ The second methoxy group has been assigned position
C-17 on biogenetic reason. 11-hydroxy-16-methylyobyrine
❑ Thus the complete structure of reserpic acid may be
written as:
NH
N
H3CO
OCH3
OCO
OCH3
OCH3
OCH3
H3COOC
6. On the basis of the above structure of reserpic acid , reserpine (a diester
of reserpic acid ) has been assigned the following structure.
NH
N
H3CO
OCH3
HOOC OH
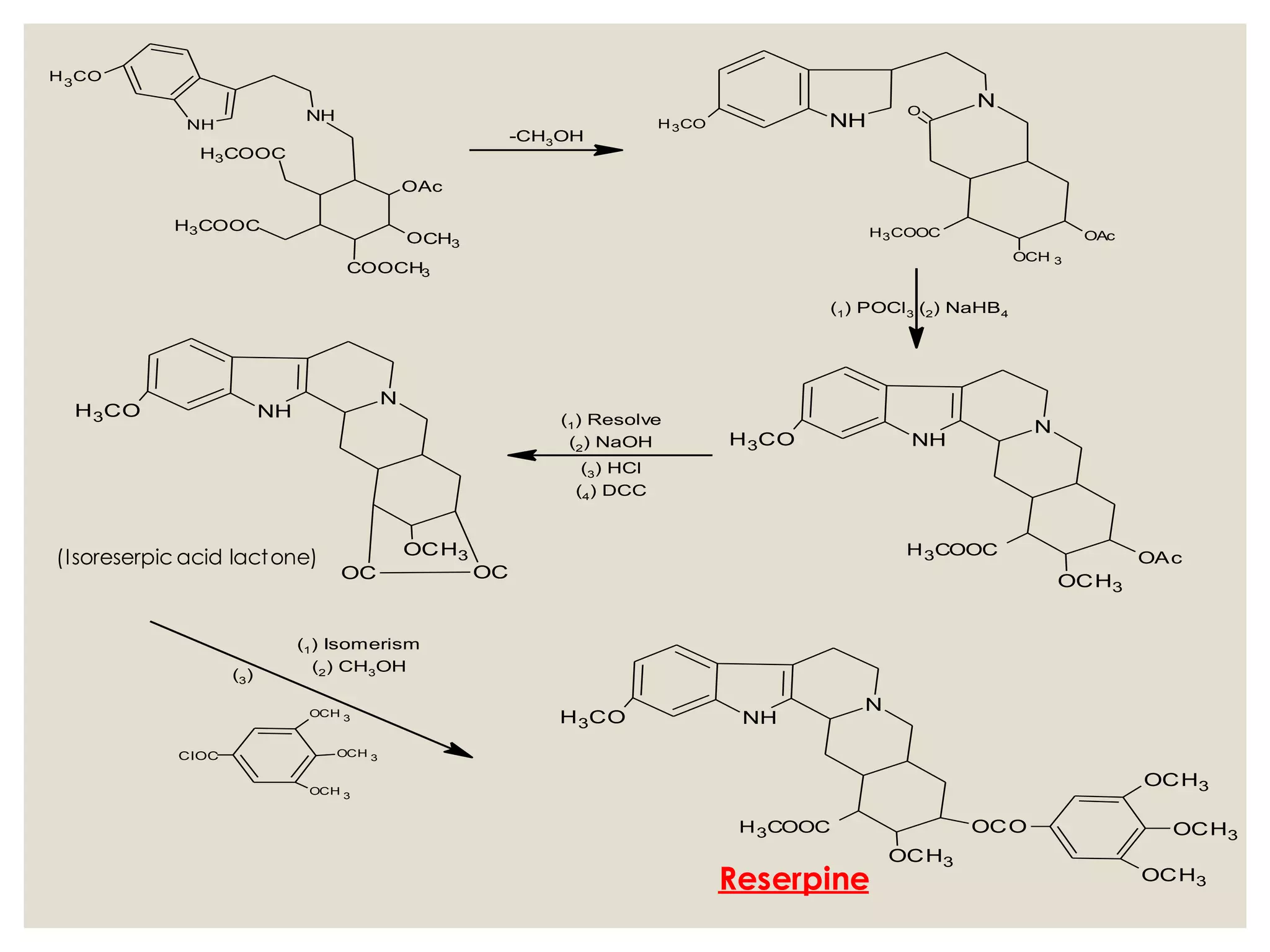
7. The structure of reserpine has been proved by its synthesis.
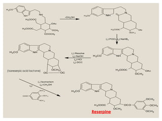
Synthesis of Reserpine:
O
O
C
H2
HOOC
O
O COOH O COOH
OH
O COOH
OH
O
O COOH
O O
O
O
O
O
OH
Diel's Alder
Reaction
+
NaBH4
C6H5CO3H
Ac2O-
AcONa
Aluminium
isopropoxide
-H2O
O
O
O
O
O
O
OCH3
O
O
O
OCH3
O
H
Br
O
O
O
OCH3
O
Br
OCH3
O
OH
COOH
OCH3
O
OAc
O
H
OH
COOCH 3
OHC
H3COOC
OCH3
OAc
COOCH 3 H3COOC
OCH3
OAc
COOCH 3
H3COOC
N
NH
H3CO
NH2
NH
H3CO
CH3ONa
CH3OH
NBS-
H2SO4
CH3COOH CrO3
Zn
CH3COOH
(1) CH2N2
(2) Ac2O-
Pyridine
(3) OSO4
-
H2O
(1) HIO4 (2) CH2N2
(6
-
Methoxytryptamine)
NaHB4
NH
N
H3CO
OC OC
OCH3
H3COOC
OCH3
OAc
COOCH3
H3COOC
NH
NH
H3CO
NH
N
H3CO
OCH3
OAc
H3COOC
NH
N
OAc
OCH 3
H3COOC
H3CO
O
NH
N
H3CO
OCH3
OCO
OCH3
OCH3
OCH3
H3COOC
-CH3OH
(1) POCl3 (2) NaHB4
(1) Resolve
(2) NaOH
(3) HCl
(4) DCC
OCH 3
OCH 3
OCH 3
ClOC
(1) Isomerism
(2) CH3OH
(3)
Reserpine
(Isoreserpic acid lactone)
REFERENCES:
• O. P. Agarwal; Chemistry Of Natural products, Vol-1, Goel Publishing
House, Delhi, Page no.- 290 – 295.
• Ashutosh Kar; Pharmacognosyand Pharmacobiotechnology, New Age
International Pvt Ltd, New Delhi, Page no.- 512,513.
THANK YOU

Structure Elucidation of Reserpine (M. Pharm)

  • 1.
    STRUCTURE ELUCIDATION OF RESERPINE PRESENTEDBY: MOHD SHAFEEQUE M. PHARM. 1ST SEM. (PHARM. CHEMISTRY) JAMIA HAMDARD
  • 2.
  • 3.
    RESERPINE (Indole Alkaloid) Synonyms: Crystosprine,Eskaserp, Reserpoid, Rivasin, Sandril, Sedaraupin etc. Biological source: Major source of Reserpine is dried roots of the Rauvolfia serpentina (Apocynaceae). Chemical Structure: (3b,16b,17a,18b,20a)-11,17-Dimethoxy-18-[(3,4,5-trimethoxy benzoyl)oxy] yohimban-16-carboxylic acid methyl ester. C33H40N2O9 NH N H3CO OCH3 OCO OCH3 OCH3 OCH3 H3COOC H H H
  • 4.
    PROPERTIES: ➢ Colour –White or pale buff to slightly yellow coloured. Darkens slowly on exposure to light when powder, more rapidly when solution. ➢ State – Small crylstals or crystalline powder. ➢ Odour – Odourless ➢ Reserpine is a weakly basic in nature, pKa-6.6 ➢ It decomposes at 264 – 265 °C ➢ It is found to freely soluble in chloroform (~1g/6ml), glacial acetic acid, methylene chloride; soluble in benzene, ethyl acetate; slightly soluble in acetone, methanol, ethanol (1g/1800ml), ether,in aqueous solutions of citric acids; and very sparingly soluble in water.
  • 5.
    ISOLATION: Roots are powdered&moisten with 10% NaHCO3 & extracted with Benzene, until the extract gives a weak positive reaction with HgI2 Concentrate it , add Ether & Dil. HCl. The combined acidic solution is washed with Ether filtered and extracted with CHCl3 The extract is washed subsequently with 10% Sod. Carbonate Solution followed by water so as to get rid of any free acid present The resulting extract is finally evaporated to dryness undervacuum The residue is dissolved in anhydrous Methanol and seededwith pure crystal of Reserpine Pure crystal of Reserpine obtained
  • 6.
    IDENTIFICATION TEST: A. MostSolutionsof reserpine upon standing acquire a distanct yellow colouration and a marked and pronounced fluorescence, especially after the addition of an acid or upon exposure to light. B. Reserpine Hydrochloride Hydrate (C33H43Cl N2O10 ): It is obtained as crystals which decomposes at 224 °C. USES: A. It is a hypotensive drug which exhibits strong hypotensive and sedative activity. B. It is employed to alleviate mild anxiety conditions. (Tranquillizing Effect)
  • 7.
    STRUCTURE ELUCIDATION OFRESERPINE: 1. Molecular Formula: The mol. Formula of reserpine is C33H40N2O9. 2. Presence of 5 Methoxy Group: On heating with HI it gives 5 moles of Methyl Iodide (Ziesel Method) indicating the presence of 5 methoxy groups. 3. Nature of NitrogenAtom: Reserpine forms monoacetyl dtv. Indicating the presence of an –NH- (secondary nitrogen) group. It is further confirmed by IR spectra which reveals the presence of an indole nucleus. Reserpine readily gives a methiodide, so the second nitrogen atom must be tertiary. 4. Hydrolysis: Reserpine upon alkaline hydrolysis gives- METHANOL, 3,4,5- TRIMETHOXYBENZOIC ACID and another ACID A (Reserpic Acid).
  • 8.
    • Since reserpinehas no –COOH or –OH group, the introduction of two carboxyl acidic grp and two hydroxyl groups in the hydrolysis products suggest that reserpine is a diester. • This is further confirmed by the reduction of reserpine with LiAlH4 to reserpic alcohol and 3,4,5-trimethoxybenzyl alcohol. C33H40N2O9 2H2O CH3OH C22H28N2O5 + COOH H3CO OCH3 OCH3 + + NaOH Reserpine Reserpic Acid 3,4,5-Trimethoxybenzoic acid
  • 9.
    5. Structure ofReserpic Acid: i. By the usual test reserepic acid is found to possess two methoxy, one carboxylic, one secondary alcoholic, one secondary and one tertiary amino groups. ii. Presence of Indole Nucleus: On permanganate oxidation- iii. Reserpic acid on fusion with potash gives 5-hydroxyisophthalic acid. Now since one of the acidic groups of isophthalic acid must be the acidic group of reserpic acid are meta to each other. The same is confirmed by the fact that reserpic acid yields a g-lactone on heating with Ac2O. C22H28N2O5 H3CO N COOH COOH O H KMnO4 4-Methoxy-N-oxalyl anthranilic acid C22H28N2O5 COOH OH HOOC KOH Fusion OH HOOC CO O
  • 10.
    iv. On SeleniumDehydrogenation: Methyl reserpate affords a compound of the composition C19H16N2 (Yobyrine) as one of the principal product. The compound yobyrine condenses with aldehydes suggesting the presence of pyridine ring with a -CH2- substituent adjacent to nitrogen. It gives 3-ethylindole and isoquinoline on zinc dust distillation , pthallic acid on permanganate oxidation, and ortho-toluic acid on chromic acid oxidation. C19H16N2 CH3 COOH COOH COOH N C2H5 H N + KMnO4 Chromic Acid Zn dust o-toluic acid Phthalic acid Yobyrine 3-Ethylindole Isoquinoline N N H H ➢ All these reaction suggest the following structure to yobyrine. ➢ The above proposed structure for yobyrine is confirmed by its synthesis.
  • 11.
    ➢ The formationof yobyrine from reserpic acid indicates that the latter has the following type of carbon skeleton. 8 13 9 12 10 11 7 2 N 1 6 5 3 N 4 14 15 19 18 20 17 16 21 H N N H CH3 C H3 O H ✓ From point (II)- Methoxy group is present at C-11 (meta position to the –NH- grp of indole. ✓ Presence of carboxyl group at C-16 indicated by the dehydrogenation of reserpic acid with selenium to 11- hydroxy-16-methylyobyrine (during dehydrogenation – COOH grp is converted into -CH3). ✓ From point (III) – We can conclude –OH grp present at C- 18 position because –COOH & -OH grp present at meta to each other. ✓ The second methoxy group has been assigned position C-17 on biogenetic reason. 11-hydroxy-16-methylyobyrine
  • 12.
    ❑ Thus thecomplete structure of reserpic acid may be written as: NH N H3CO OCH3 OCO OCH3 OCH3 OCH3 H3COOC 6. On the basis of the above structure of reserpic acid , reserpine (a diester of reserpic acid ) has been assigned the following structure. NH N H3CO OCH3 HOOC OH
  • 13.
    7. The structureof reserpine has been proved by its synthesis. Synthesis of Reserpine: O O C H2 HOOC O O COOH O COOH OH O COOH OH O O COOH O O O O O O OH Diel's Alder Reaction + NaBH4 C6H5CO3H Ac2O- AcONa Aluminium isopropoxide -H2O
  • 14.
    O O O O O O OCH3 O O O OCH3 O H Br O O O OCH3 O Br OCH3 O OH COOH OCH3 O OAc O H OH COOCH 3 OHC H3COOC OCH3 OAc COOCH 3H3COOC OCH3 OAc COOCH 3 H3COOC N NH H3CO NH2 NH H3CO CH3ONa CH3OH NBS- H2SO4 CH3COOH CrO3 Zn CH3COOH (1) CH2N2 (2) Ac2O- Pyridine (3) OSO4 - H2O (1) HIO4 (2) CH2N2 (6 - Methoxytryptamine) NaHB4
  • 15.
    NH N H3CO OC OC OCH3 H3COOC OCH3 OAc COOCH3 H3COOC NH NH H3CO NH N H3CO OCH3 OAc H3COOC NH N OAc OCH 3 H3COOC H3CO O NH N H3CO OCH3 OCO OCH3 OCH3 OCH3 H3COOC -CH3OH (1)POCl3 (2) NaHB4 (1) Resolve (2) NaOH (3) HCl (4) DCC OCH 3 OCH 3 OCH 3 ClOC (1) Isomerism (2) CH3OH (3) Reserpine (Isoreserpic acid lactone)
  • 16.
    REFERENCES: • O. P.Agarwal; Chemistry Of Natural products, Vol-1, Goel Publishing House, Delhi, Page no.- 290 – 295. • Ashutosh Kar; Pharmacognosyand Pharmacobiotechnology, New Age International Pvt Ltd, New Delhi, Page no.- 512,513.
  • 17.