Use of Steam Tables
• Saturated Vapor or Liquid
– Liquid at Bubble-Point
– Vapor at Dew-Point
– Liquid and Vapor Co-existing

• Superheated Vapor or Sub-Cooled Liquid
– Vapor Above Dew-Point Temperature or Below DewPoint Pressure
– Liquid Below Bubble-Point Temperature or Above
Bubble-Point Pressure
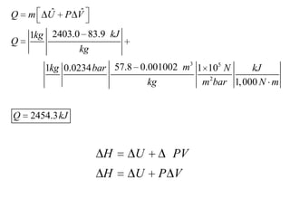
Vaporize 1kg Water at 20 C and Bubble Point Pressure

U

Q W

ˆ
m U
Q

m

Q P V
ˆ
Q mP V
ˆ
U

ˆ
P V
ˆ
U

ˆ
P V

Q

m

Q

1kg 2403.0 83.9 kJ
kg
57.8 0.001002 m3 1 105 N
1kg 0.0234 bar
kJ
kg
m 2bar 1, 000 N m

Q

2454.3 kJ

H

U

H

U

PV
P V
Definitions
• Degrees of Superheat
– Difference between actual temperature and
saturation temperature at the same pressure

• Degrees of Sub-Cooling
– Difference between actual temperature and the
saturation temperature at the same pressure.
Vapor

Liquid
Water Vapor Heating
1 kg from 100 oC, 1 Bar to 200 oC, 1 Bar

U

Q W

ˆ
m U
Q

m

Q P V
ˆ
Q mP V
ˆ
U

ˆ
P V

ˆ
m H
Water Vapor Heating
1 kg from 100 oC, 1 Bar to 200 oC, 1 Bar

ˆ
U

ˆ
P V

ˆ
m H

Q

m

Q

1kg 2875 2676 kJ
kg

199kJ
Constant Volume Water Vapor Heating
1 kg from 100 oC, 1 Bar to 200 oC, P=?

V
U
ˆ
m U

0
Q
Q
Ideal Gas Law Estimation

P2

T2
P
1
T1

473.15
1 bar
373.15

1.73 bar
Interpolation for Pressure
6

Pressure

5
4
3
2
1
0
0.3

0.5

0.7

0.9

1.1

1.3

1.5

Specific Volume

1.7

1.9

2.1

2.3
Interpolation for Internal Energy
Internal Energy

2660
2655
2650
2645
2640
0.3

0.5

0.7

0.9

1.1

1.3

1.5

Specific Volume

1.7

1.9

2.1

2.3
Linear Interpolation

y

mx b

y1

mx1 b

y2

y1

m

y2

m x2

y2

x1

y1

x2

mx2 b

x1

b

y1 mx1

y

mx

y

y1 m x x1

y

y1

y1 mx1
y2

y1

x2

x1

x x1
P

P
1

P2 P
1
ˆ ˆ
V2 V1

ˆ
ˆ
VDesired V1

5 1
P 1
1.69 2.17
0.425 2.17
ˆ
ˆ
U 2 U1
ˆ ˆ
ˆ
ˆ
U U1
VDesired V1
ˆ ˆ
V2 V1

2.1 bar

ˆ
U

2643 2658
2658
1.69 2.17
0.425 2.17

Q

ˆ
m U

kJ
1 kg 2654 2507
kg

kJ
2654
kg
147 kJ

Steam tables

  • 1.
    Use of SteamTables • Saturated Vapor or Liquid – Liquid at Bubble-Point – Vapor at Dew-Point – Liquid and Vapor Co-existing • Superheated Vapor or Sub-Cooled Liquid – Vapor Above Dew-Point Temperature or Below DewPoint Pressure – Liquid Below Bubble-Point Temperature or Above Bubble-Point Pressure
  • 3.
    Vaporize 1kg Waterat 20 C and Bubble Point Pressure U Q W ˆ m U Q m Q P V ˆ Q mP V ˆ U ˆ P V
  • 5.
    ˆ U ˆ P V Q m Q 1kg 2403.083.9 kJ kg 57.8 0.001002 m3 1 105 N 1kg 0.0234 bar kJ kg m 2bar 1, 000 N m Q 2454.3 kJ H U H U PV P V
  • 9.
    Definitions • Degrees ofSuperheat – Difference between actual temperature and saturation temperature at the same pressure • Degrees of Sub-Cooling – Difference between actual temperature and the saturation temperature at the same pressure.
  • 10.
  • 11.
    Water Vapor Heating 1kg from 100 oC, 1 Bar to 200 oC, 1 Bar U Q W ˆ m U Q m Q P V ˆ Q mP V ˆ U ˆ P V ˆ m H
  • 13.
    Water Vapor Heating 1kg from 100 oC, 1 Bar to 200 oC, 1 Bar ˆ U ˆ P V ˆ m H Q m Q 1kg 2875 2676 kJ kg 199kJ
  • 14.
    Constant Volume WaterVapor Heating 1 kg from 100 oC, 1 Bar to 200 oC, P=? V U ˆ m U 0 Q Q
  • 15.
    Ideal Gas LawEstimation P2 T2 P 1 T1 473.15 1 bar 373.15 1.73 bar
  • 17.
  • 18.
    Interpolation for InternalEnergy Internal Energy 2660 2655 2650 2645 2640 0.3 0.5 0.7 0.9 1.1 1.3 1.5 Specific Volume 1.7 1.9 2.1 2.3
  • 19.
    Linear Interpolation y mx b y1 mx1b y2 y1 m y2 m x2 y2 x1 y1 x2 mx2 b x1 b y1 mx1 y mx y y1 m x x1 y y1 y1 mx1 y2 y1 x2 x1 x x1
  • 20.
    P P 1 P2 P 1 ˆ ˆ V2V1 ˆ ˆ VDesired V1 5 1 P 1 1.69 2.17 0.425 2.17 ˆ ˆ U 2 U1 ˆ ˆ ˆ ˆ U U1 VDesired V1 ˆ ˆ V2 V1 2.1 bar ˆ U 2643 2658 2658 1.69 2.17 0.425 2.17 Q ˆ m U kJ 1 kg 2654 2507 kg kJ 2654 kg 147 kJ