На допомогу учням 10 класу при вивченні
теми Формули зведення.
0 1
1
x
y
I чвертьII чверть
III
чверть
IV
чверть
α
0
180 α+
0
90 α+
0
270 α+
ФОРМУЛИ ЗВЕДЕННЯ
• - це формули, що дозволяють
виражати значення тригономе-
тричних функцій будь - якого кута
через функції кута першої чверті,
тобто менших за 90°.
x
y
0 cosα
sinα α
900
+α
1800
+α
2700
+α
Побудуємо довільний гострий кут повороту α.
Тепер зобразимо кути 900
+ α, 1800
+ α, 2700
+ α и 3600
+ α.
сos(900
+α)
sin(900
+α)
сos(1800
+α)
sin(1800
+α)
sin(2700
+α)
cos(2700
+α)
, 3600
+α
З рівності прямокутних трикутників можна зробити висновок, що:
cosα=sin(900
+ α)=–cos(1800
+ α)=–sin(2700
+ α)=cos(3600
+ α), а также
sinα=–cos(900
+ α)=–sin(1800
+ α)=cos(2700
+ α)=sin(3600
+ α).
Розглянемо
приклади:
В градусній мірі: В радіанах:
10200
=900
·11+300
=900
·12–600
28
18 19
3 2 3 2 6
· ·
π π π π π
= + = −
1020 90
1190
120
90
30
28 28 2 56 2 2 1
18 18 19
3 3 3 3 3 3
·π π π
π
: = = = = + = −
2
Помножте отримані суму чи різницю на й
отримайте шукані вирази.
2
π
В обох випадаках ми досягли
наступного: аргумент тригонометричної
функції подано у вигляді цілого числа прямих
кутів плюс чи мінус якийсь гострий кут.
ПРАВИЛО 1. ЯКЩО КУТ ВІДКЛАДАЮТЬ ВІД ОСІ
ОX, ТО НАЙМЕНУВАННЯ ФУНКЦІЇ НЕ
ЗМІНЮЄТЬСЯ.
0 x
y
0
π2
III
III IV
α
π
απ ±2
απ ±
ПРАВИЛО 1. А ЯКЩО КУТ ВІДКЛАДАЮТЬ ВІД
ОСІ ОY, ТО НАЙМЕНУВАННЯ ФУНКЦІЇ
ЗМІНЮЄТЬСЯ.
0 x
y
0
2
3π
III
III IV
α
2
π
α
π
±
2
α
π
±
2
3
αα cossin ↔
αα ctgtg ↔
ПРАВИЛО 2. ЗНАК В ПРАВІЙ ЧАСТИНІ ФОРМУЛИ
ВИЗНАЧАЄТЬСЯ ЗА ЗНАКОМ ФУНКЦІЇ В ЛІВІЙ
ЧАСТИНІ.
0 x
y
0
π2π
( ) =−απ2sin αsin−
( ) =+απsin αsin−
( ) =+απtg αtg
( ) =−απ2cos αcos
III
III IV
( ) =−απ2ctg αctg−
ПРАВИЛО 2. ЗНАК В ПРАВІЙ ЧАСТИНІ ФОРМУЛИ
ВИЗНАЧАЄТЬСЯ ЗА ЗНАКОМ ФУНКЦІЇ В ЛІВІЙ
ЧАСТИНІ.
0 x
y
0
III
III IV
2
π
2
3π
=





+α
π
2
sin αcos
=





−α
π
2
3
cos αsin−
=





+α
π
2
tg αctg−
αtg=





−α
π
2
3
ctg
Пригадаємо знаки
тригонометричних функцій
х
0
у
1
1
х
0
у
1
1
х
0
у
1
1
Знаки
синуса
Знаки
косинуса
Знаки тангенса
й котангенса
++ +
+
+
+––
–
–
–
–
Приклад.
Знайти sin 10200
.
Розв‘язання.
Спочатку подамо даний кут в потрібному
нам вигляді:
10200
=900
·11+300
=900
·12–600
I II
( )0 0 0 0
1020 90 30 31 01sin sin · cos= + =
( )0 0 0 0
1020 90 60 62 01sin sin · sin= − =
У першому випадку нам доведеться змінювати дану функцію
синус на кофункцію – косинус (кількість прямих кутів непарне – 11), у
другому функція синус збережеться.
I
II
Залишається нез'ясованим питання про знак перед отриманим
результатом. Для його вирішення нам необхідно вміти працювати з
одиничним тригонометричним колом (уважно слідкуйте за обертанням
точки):
?
?
х
у
0 1
1
х
у
0 1
1
I II
12
3 4
56
7 8
910
11
12
3 4
56
7 8
910
11 12
В будь-якому випадку виходить IV чверть, у якій синус набуває від‘ємних
значень.
– –
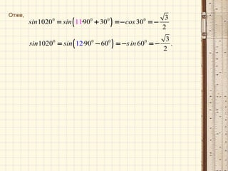
Отже,
( )0 0 0 0 3
1020 90 3011 30
2
sin sin · cos= + =− = −
( )0 0 0 0 3
1020 90 6012 60
2
sin sin · sin .= − = − = −

формули зведення

  • 1.
    На допомогу учням10 класу при вивченні теми Формули зведення. 0 1 1 x y I чвертьII чверть III чверть IV чверть α 0 180 α+ 0 90 α+ 0 270 α+
  • 2.
    ФОРМУЛИ ЗВЕДЕННЯ • -це формули, що дозволяють виражати значення тригономе- тричних функцій будь - якого кута через функції кута першої чверті, тобто менших за 90°.
  • 3.
    x y 0 cosα sinα α 900 +α 1800 +α 2700 +α Побудуємодовільний гострий кут повороту α. Тепер зобразимо кути 900 + α, 1800 + α, 2700 + α и 3600 + α. сos(900 +α) sin(900 +α) сos(1800 +α) sin(1800 +α) sin(2700 +α) cos(2700 +α) , 3600 +α З рівності прямокутних трикутників можна зробити висновок, що: cosα=sin(900 + α)=–cos(1800 + α)=–sin(2700 + α)=cos(3600 + α), а также sinα=–cos(900 + α)=–sin(1800 + α)=cos(2700 + α)=sin(3600 + α).
  • 4.
  • 5.
    В градусній мірі:В радіанах: 10200 =900 ·11+300 =900 ·12–600 28 18 19 3 2 3 2 6 · · π π π π π = + = − 1020 90 1190 120 90 30 28 28 2 56 2 2 1 18 18 19 3 3 3 3 3 3 ·π π π π : = = = = + = − 2 Помножте отримані суму чи різницю на й отримайте шукані вирази. 2 π В обох випадаках ми досягли наступного: аргумент тригонометричної функції подано у вигляді цілого числа прямих кутів плюс чи мінус якийсь гострий кут.
  • 6.
    ПРАВИЛО 1. ЯКЩОКУТ ВІДКЛАДАЮТЬ ВІД ОСІ ОX, ТО НАЙМЕНУВАННЯ ФУНКЦІЇ НЕ ЗМІНЮЄТЬСЯ. 0 x y 0 π2 III III IV α π απ ±2 απ ±
  • 7.
    ПРАВИЛО 1. АЯКЩО КУТ ВІДКЛАДАЮТЬ ВІД ОСІ ОY, ТО НАЙМЕНУВАННЯ ФУНКЦІЇ ЗМІНЮЄТЬСЯ. 0 x y 0 2 3π III III IV α 2 π α π ± 2 α π ± 2 3 αα cossin ↔ αα ctgtg ↔
  • 8.
    ПРАВИЛО 2. ЗНАКВ ПРАВІЙ ЧАСТИНІ ФОРМУЛИ ВИЗНАЧАЄТЬСЯ ЗА ЗНАКОМ ФУНКЦІЇ В ЛІВІЙ ЧАСТИНІ. 0 x y 0 π2π ( ) =−απ2sin αsin− ( ) =+απsin αsin− ( ) =+απtg αtg ( ) =−απ2cos αcos III III IV ( ) =−απ2ctg αctg−
  • 9.
    ПРАВИЛО 2. ЗНАКВ ПРАВІЙ ЧАСТИНІ ФОРМУЛИ ВИЗНАЧАЄТЬСЯ ЗА ЗНАКОМ ФУНКЦІЇ В ЛІВІЙ ЧАСТИНІ. 0 x y 0 III III IV 2 π 2 3π =      +α π 2 sin αcos =      −α π 2 3 cos αsin− =      +α π 2 tg αctg− αtg=      −α π 2 3 ctg
  • 10.
  • 11.
    Приклад. Знайти sin 10200 . Розв‘язання. Спочаткуподамо даний кут в потрібному нам вигляді: 10200 =900 ·11+300 =900 ·12–600 I II
  • 12.
    ( )0 00 0 1020 90 30 31 01sin sin · cos= + = ( )0 0 0 0 1020 90 60 62 01sin sin · sin= − = У першому випадку нам доведеться змінювати дану функцію синус на кофункцію – косинус (кількість прямих кутів непарне – 11), у другому функція синус збережеться. I II Залишається нез'ясованим питання про знак перед отриманим результатом. Для його вирішення нам необхідно вміти працювати з одиничним тригонометричним колом (уважно слідкуйте за обертанням точки): ? ? х у 0 1 1 х у 0 1 1 I II 12 3 4 56 7 8 910 11 12 3 4 56 7 8 910 11 12 В будь-якому випадку виходить IV чверть, у якій синус набуває від‘ємних значень. – –
  • 13.
    Отже, ( )0 00 0 3 1020 90 3011 30 2 sin sin · cos= + =− = − ( )0 0 0 0 3 1020 90 6012 60 2 sin sin · sin .= − = − = −