Scanned by CamScanner
BY: ASSOCIATE PROFESSOR NADEEM UDDIN
Quadratic function:
A quadratic function involving the independent variable x and the dependent
variable y has the general form
f(x) = y = ax2
+ bx +c
where a,b and c are constants, a≠0
The graph of a quadratic function is a curve called parabola.
Direction of parabola
If a < 0 then parabola opens downward.
If a > 0 then parabola opens upward.
Vertex:
The turning point of the curve (parabola) is called vertex. The coordinates of
vertex are
(
−𝑏
2𝑎
,
4𝑎𝑐 − 𝑏2
4𝑎
)
Roots of quadratic function:
The points where parabola cut x-axis are called roots of the function. The roots of a
quadratic function are:
X =
2
b b 4ac
2a
−  −
Note:
If b2
- 4ac > 0, there will be two real roots.
If b2
- 4ac < 0, there will be no real root.
If b2
- 4ac = 0, there will be one real root.
Example-22
For the quadratic equation y = x2
- 7x + 10; Determine:
(i) which way the parabola opens.
(ii) The coordinates of the vertex.
(iii) The roots of the function.
Solution:
a = 1
b = -7
c = 10
i) since a > 0 therefore parabola opens upward.
ii) for vertex:
( 7) 7
2 2(1) 2
2 2
4 4(1)(10) ( 7)
4 4(1)
40 49 9
4 4
b
x
a
ac b
y
a
y
− − −
= = =
− − −
= =
− −
= =
Hence the coordinates of the vertex are:
7 9
,
2 4
− 
 
 
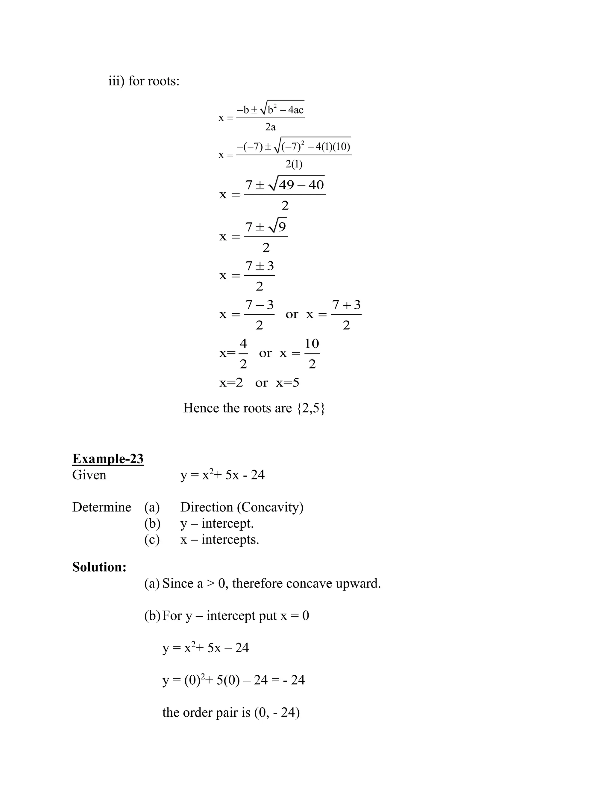
iii) for roots:
2
2
b b 4ac
x
2a
( 7) ( 7) 4(1)(10)
x
2(1)
−  −
=
− −  − −
=
7 49 40
x
2
7 9
x
2
7 3
x
2
7 3 7 3
x or x
2 2
4 10
x= or x
2 2
x=2 or x=5
 −
=

=

=
− +
= =
=
Hence the roots are {2,5}
Example-23
Given y = x2
+ 5x - 24
Determine (a) Direction (Concavity)
(b) y – intercept.
(c) x – intercepts.
Solution:
(a) Since a > 0, therefore concave upward.
(b)For y – intercept put x = 0
y = x2
+ 5x – 24
y = (0)2
+ 5(0) – 24 = - 24
the order pair is (0, - 24)
(c) For x – intercepts put y = 0
0 = x2
+ 5x – 24
0 = x2
+ 8x - 3x – 24
0 = x (x + 8) – 3(x + 8)
0 = (x + 8) (x – 3)
x + 8 = 0, x -3 = 0
x = - 8, x = 3
Thus x – intercepts occur at (- 8, 0) and (3, 0)
Minimum and maximum value of the quadratic function.
Example-24
Given y = 8 – 2x – x2
Find Minimum or maximum value of the quadratic function.
Solution:
Since a < 0, Concave down, therefore the maximum value of the quadratic
function will be
(
−𝑏
2𝑎
,
4𝑎𝑐 − 𝑏2
4𝑎
)
(
−(−2)
2(−1)
,
4(−1)(8) − (−2)2
4(−1)
)
(
2
−2
,
−32 − 4
−4
)
(−1, 9)
Maximum value of the quadratic function is 9 at x = - 1
Example-25
Given y = x2
– 2x + 8
Find Minimum or maximum value of the quadratic function.
Solution:
Since a > 0, Concave up, therefore the minimum value of the quadratic function
will be
(
−𝑏
2𝑎
,
4𝑎𝑐 − 𝑏2
4𝑎
)
(
−(−2)
2(1)
,
4(1)(8) − (−2)2
4(1)
)
(
2
2
,
32 − 4
4
)
(
2
2
,
28
4
)
(1, 7)
Minimum value of the quadratic function is 7 at x = 1
Example-26
The graph of the function f(x) = x2
- 2x – 9 is given below.
(a) Write its x – intercepts
(b)y – intercept
(c) coordinates of vertex.
(d)With help of the graph, estimate the minimum value of f(x) = x2
- 2x – 9
Solution:
From graph (a) x – intercepts = - 2 and 4
(b) y – intercept = - 9
(c) Vertex = (1, - 10)
(d) Minimum value is – 10.

Parabola direction , vertex ,roots, minimum and maximum

  • 1.
  • 2.
    BY: ASSOCIATE PROFESSORNADEEM UDDIN Quadratic function: A quadratic function involving the independent variable x and the dependent variable y has the general form f(x) = y = ax2 + bx +c where a,b and c are constants, a≠0 The graph of a quadratic function is a curve called parabola. Direction of parabola If a < 0 then parabola opens downward. If a > 0 then parabola opens upward. Vertex: The turning point of the curve (parabola) is called vertex. The coordinates of vertex are ( −𝑏 2𝑎 , 4𝑎𝑐 − 𝑏2 4𝑎 ) Roots of quadratic function: The points where parabola cut x-axis are called roots of the function. The roots of a quadratic function are: X = 2 b b 4ac 2a −  −
  • 3.
    Note: If b2 - 4ac> 0, there will be two real roots. If b2 - 4ac < 0, there will be no real root. If b2 - 4ac = 0, there will be one real root. Example-22 For the quadratic equation y = x2 - 7x + 10; Determine: (i) which way the parabola opens. (ii) The coordinates of the vertex. (iii) The roots of the function. Solution: a = 1 b = -7 c = 10 i) since a > 0 therefore parabola opens upward. ii) for vertex: ( 7) 7 2 2(1) 2 2 2 4 4(1)(10) ( 7) 4 4(1) 40 49 9 4 4 b x a ac b y a y − − − = = = − − − = = − − = = Hence the coordinates of the vertex are: 7 9 , 2 4 −     
  • 4.
    iii) for roots: 2 2 bb 4ac x 2a ( 7) ( 7) 4(1)(10) x 2(1) −  − = − −  − − = 7 49 40 x 2 7 9 x 2 7 3 x 2 7 3 7 3 x or x 2 2 4 10 x= or x 2 2 x=2 or x=5  − =  =  = − + = = = Hence the roots are {2,5} Example-23 Given y = x2 + 5x - 24 Determine (a) Direction (Concavity) (b) y – intercept. (c) x – intercepts. Solution: (a) Since a > 0, therefore concave upward. (b)For y – intercept put x = 0 y = x2 + 5x – 24 y = (0)2 + 5(0) – 24 = - 24 the order pair is (0, - 24)
  • 5.
    (c) For x– intercepts put y = 0 0 = x2 + 5x – 24 0 = x2 + 8x - 3x – 24 0 = x (x + 8) – 3(x + 8) 0 = (x + 8) (x – 3) x + 8 = 0, x -3 = 0 x = - 8, x = 3 Thus x – intercepts occur at (- 8, 0) and (3, 0) Minimum and maximum value of the quadratic function. Example-24 Given y = 8 – 2x – x2 Find Minimum or maximum value of the quadratic function. Solution: Since a < 0, Concave down, therefore the maximum value of the quadratic function will be ( −𝑏 2𝑎 , 4𝑎𝑐 − 𝑏2 4𝑎 ) ( −(−2) 2(−1) , 4(−1)(8) − (−2)2 4(−1) ) ( 2 −2 , −32 − 4 −4 ) (−1, 9) Maximum value of the quadratic function is 9 at x = - 1
  • 6.
    Example-25 Given y =x2 – 2x + 8 Find Minimum or maximum value of the quadratic function. Solution: Since a > 0, Concave up, therefore the minimum value of the quadratic function will be ( −𝑏 2𝑎 , 4𝑎𝑐 − 𝑏2 4𝑎 ) ( −(−2) 2(1) , 4(1)(8) − (−2)2 4(1) ) ( 2 2 , 32 − 4 4 ) ( 2 2 , 28 4 ) (1, 7) Minimum value of the quadratic function is 7 at x = 1 Example-26 The graph of the function f(x) = x2 - 2x – 9 is given below. (a) Write its x – intercepts (b)y – intercept (c) coordinates of vertex. (d)With help of the graph, estimate the minimum value of f(x) = x2 - 2x – 9
  • 7.
    Solution: From graph (a)x – intercepts = - 2 and 4 (b) y – intercept = - 9 (c) Vertex = (1, - 10) (d) Minimum value is – 10.