Lecture 3 Oscillator 
• Introduction of Oscillator 
• Linear Oscillator 
– Wien Bridge Oscillator 
– RC Phase-Shift Oscillator 
– LC Oscillator 
• Stability 
Ref:06103104HKN EE3110 Oscillator 1
Oscillators 
Oscillation: an effect that repeatedly and 
regularly fluctuates about the mean value 
Oscillator: circuit that produces oscillation 
Characteristics: wave-shape, frequency, 
amplitude, distortion, stability 
Ref:06103104HKN EE3110 Oscillator 2
Application of Oscillators 
• Oscillators are used to generate signals, e.g. 
– Used as a local oscillator to transform the RF 
signals to IF signals in a receiver; 
– Used to generate RF carrier in a transmitter 
– Used to generate clocks in digital systems; 
– Used as sweep circuits in TV sets and CRO. 
Ref:06103104HKN EE3110 Oscillator 3
Linear Oscillators 
1. Wien Bridge Oscillators 
2. RC Phase-Shift Oscillators 
3. LC Oscillators 
4. Stability 
Ref:06103104HKN EE3110 Oscillator 4
Integrant of Linear Oscillators 
Ve 
+ Amplifier (A) 
Vs Vo 
S 
+ 
Frequency-Selective 
Feedback Network (b) 
Vf 
Positive 
Feedback 
For sinusoidal input is connected 
“Linear” because the output is approximately sinusoidal 
A linear oscillator contains: 
- a frequency selection feedback network 
- an amplifier to maintain the loop gain at unity 
Ref:06103104HKN EE3110 Oscillator 5
Basic Linear Oscillator 
+ 
Ve A(f) 
Vs Vo 
S 
+ 
SelectiveNetwork 
          b(f) 
Vf 
( ) o s f V = AV = A V +V e and f o V = bV 
A 
Ab 
V 
s 
Þ o 
= 
V 
- 
1 
If Vs = 0, the only way that Vo can be nonzero 
is that loop gain Ab=1 which implies that 
A (Barkhausen Criterion) 
b 
A 
= 
b 
| | 1 
Ð = 
0 
Ref:06103104HKN EE3110 Oscillator 6
Wien Bridge Oscillator 
1 
C 
1 
C 
Let Frequency Selection Network 
= and 
1 
XC 1 
w 
1 1 C1 Z = R - jX 
2 
X= 
C 2 
w 
C 
jR X 
2 2 
2 2 
1 
2 2 
ù 
é 
Vi Vo 
jR X R jX 
= - - 
( / ) 
C C 
2 2 2 2 
2 
V 
o 
Z 
C 
jR X 
2 2 
b = - 
R - jX R - jX - 
jR X 
( )( ) C C C 
Ref:06103104HKN EE3110 Oscillator 7 
2 
1 1 
C 
C R jX 
R jX 
Z 
- 
= - úû 
êë 
- 
= + 
- 
Therefore, the feedback factor, 
( ) ( / ) 
1 1 2 2 2 2 
1 2 
C C C 
i 
R jX jR X R jX 
Z Z 
V 
- + - - 
+ 
b = = 
1 1 2 2 2 2 
R1 C1 
C2 R2 
Z1 
Z2
b can be rewritten as: 
C 
R X 
2 2 
R X + R X + R X + j R R - 
X X 
( ) 1 C 2 2 C 1 2 C 2 1 2 C 1 C 
2 
b = 
For Barkhausen Criterion, imaginary part = 0, i.e., 
0 1 2 1 2 - = C C R R X X 
or 1 1 
C C 
w w 
1 2 
R R C C 
1 2 1 2 
R R 
1 2 
1/ 
Þ = 
= 
w 
Supposing, 
R1=R2=R and XC1= XC2=XC, 
RX 
C 
+ - 
3 RX j ( R 2 X 
2 ) 
C C 
b = 
0.34 b 
0.32 
factor 0.3 
0.28 
Feedback 0.26 
0.24 
0.22 
0.2 
1 
0.5 
0 
Phase 
-0.5 
-1 
f(R=Xc) 
Phase=0 
Frequency 
b=1/3 
Ref:06103104HKN EE3110 Oscillator 8
Example 
Rf 
- 
+ 
R 
R 
C 
R1 
C 
Z1 
Z2 
Vo 
w = 1 
By setting RC 
, we get 
b = 1 
Imaginary part = 0 and 
3 
Due to Barkhausen Criterion, 
Loop gain Avb=1 
where 
Av : Gain of the amplifier 
R 
A A f 
v v b = Þ = = + 
R 
1 
1 3 1 
RTherefore, f 2 
Wien Bridge Oscillator 
= 
R 
1 
Ref:06103104HKN EE3110 Oscillator 9
RC Phase-Shift Oscillator 
- 
+ 
Rf 
R1 
C C C 
R R R 
 Using an inverting amplifier 
 The additional 180o phase shift is provided by an RC 
phase-shift network 
Ref:06103104HKN EE3110 Oscillator 10
Applying KVL to the phase-shift network, we have 
C C C 
V1 Vo 
R R R 
V = I ( R - jX ) 
- 
I R 
C 
1 1 2 
I R I R jX I R 
= - + - - 
0 (2 ) 
C 
1 2 3 
I R I R jX 
= - + - 
0 (2 ) 
2 3 
C 
I1 I2 I3 Solve for I3, we get 
C 
R - jX - 
R 
0 
R R jX R 
- - - 
C 
C 
R jX R V 
1 
2 0 
C 
- - 
C 
R R jX 
R R jX 
R 
I 
- - 
- - 
- 
= 
2 
0 2 
0 0 
3 
2 
I V R 
1 
( )[(2 )2 2 ] 2 (2 ) 
Or = 
3 
R - jX R - jX - R - R R - 
jX 
C C C Ref:06103104HKN EE3110 Oscillator 11
The output voltage, 
3 
V = I R = 
V R 
1 
o R jX R jX R R R jX 
( )[(2 )2 2 ] 2 (2 ) 
3 
- - - - - 
C C C 
Hence the transfer function of the phase-shift network is given by, 
3 
R 
( 3 5 2 ) ( 3 6 2 ) 
V 
b = o 
= 
R RX j X R X 
V 
- + - 
1 C C C 
For 180o phase shift, the imaginary part = 0, i.e., 
3 2 
X R X XC C C 
- = = 
6 0 or 0 (Rejected) 
2C 
R 
2 1 
RC 
Þ = 
X 6 
6 
= 
w 
and, 
b = - 1 
29 
Note: The –ve sign mean the 
phase inversion from the 
voltage 
Ref:06103104HKN EE3110 Oscillator 12
LC Oscillators 
- 
~ 
Av Ro 
+ 
Z1 Z2 
2 1 
Z3 
Ref:06103104HKN EE3110 Oscillator 13 
Zp 
 The frequency selection 
network (Z1, Z2 and Z3) 
provides a phase shift of 
180o 
 The amplifier provides an 
addition shift of 180o 
Two well-known Oscillators: 
• Colpitts Oscillator 
• Harley Oscillator
Av Ro 
+ 
~ 
Z1 Z2 
Vf Vo 
Z3 
Zp 
V V Z 
f o o V 
1 
+ 
Z Z 
1 3 
= b = 
Z = Z Z + 
Z p 
//( ) 
2 1 3 
( ) 
Z Z Z 
= + 
2 1 3 
Z + Z + 
Z 
1 2 3 
For the equivalent circuit from the output 
A Z 
v p 
- 
R + 
Z 
o p 
V 
- or 
= o 
= 
V 
i 
V 
o 
p 
A V 
v i 
R + 
Z 
o p 
Z 
Ro 
Io 
-A Zp vVi 
+ 
- 
+ 
Vo 
- 
Therefore, the amplifier gain is obtained, 
A Z Z Z 
= = - + 
( ) 
2 1 3 
v 
R Z + Z + Z + Z Z + 
Z 
( ) ( ) 
1 2 3 2 1 3 
A V 
o 
V 
o 
i 
Ref:06103104HKN EE3110 Oscillator 14
The loop gain, 
A A Z Z 
1 2 
v 
b = - 
R Z + Z + Z + Z Z + 
Z 
( ) ( ) 1 2 3 2 1 3 
o 
If the impedance are all pure reactances, i.e., 
1 1 2 2 3 3 Z = jX , Z = jX and Z = jX 
The loop gain becomes, 
A A X X 
1 2 
v 
jR X + X + X - X X + 
X 
( ) ( ) 1 2 3 2 1 3 
o 
b = 
The imaginary part = 0 only when X1+ X2+ X3=0 
 It indicates that at least one reactance must be –ve (capacitor) 
 X1 and X2 must be of same type and X3 must be of opposite type 
A AvX = v 
A X 
2 
1 
1 
With imaginary part = 0, b = - 
X + 
X 
1 3 
X 
For Unit Gain & 180o Phase-shift, 
A A X v b = Þ = 
1 2 
1 
X 
Ref:06103104HKN EE3110 Oscillator 15
Hartley Oscillator Colpitts Oscillator 
R L1 
L2 
C 
R 
C1 
C2 
L 
w = 1 
1 
w = 
L L C = o ( ) 
o LC 
T 
g C m = 
2 
RC 
1 
C C C T + 
1 2 
C C 
1 2 
1 2 + 
g L m = 
1 
RL 
2 
Ref:06103104HKN EE3110 Oscillator 16
Colpitts Oscillator 
R 
C1 
C2 
L 
Equivalent circuit 
+ 
- 
Vp 
L 
C2 R C1 
gmVp 
In the equivalent circuit, it is assumed that: 
 Linear small signal model of transistor is used 
 The transistor capacitances are neglected 
 Input resistance of the transistor is large enough 
Ref:06103104HKN EE3110 Oscillator 17
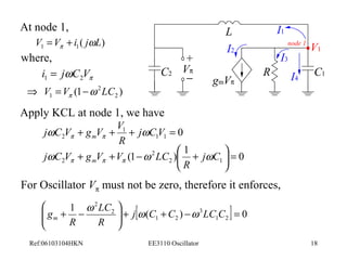
At node 1, 
( ) 1 1 V V i jwL p = + 
where, 
p i jwC V 1 2 = 
2 
L 
node 1 
I1 
I2 I3 
V1 
C2 R C1 
Þ V = V (1 - 
w LC ) 1 p 2 
Apply KCL at node 1, we have 
j C V g V V m w w p p 
2 + + + j CV = 
Vp 
0 1 1 
1 
R 
+ 
- 
gmVp 
(1 ) 1 0 2 1 
+ + - 2 
æ + j C 
ö çè 
j C V g V V LC m w w w p p p 
2 R 
÷ø 
= For Oscillator Vp must not be zero, therefore it enforces, 
ö 
1 [ ( ) ] 0 
gm w w w 
= - + + ÷ ÷ø 
LC 
+ - j C C LC C 
1 2 
3 
1 2 
2 
2 
æ 
ç çè 
R 
R 
I4 
Ref:06103104HKN EE3110 Oscillator 18
ö 
1 [ ( ) ] 0 
gm w w w 
= - + + ÷ ÷ø 
LC 
+ - j C C LC C 
1 2 
2 
2 
æ 
ç çè 
R 
R 
Imaginary part = 0, we have 
1 2 
3 
w = 1 
o LC 
T 
Real part = 0, yields 
g C m = 
2 
RC 
1 
C C C T + 
1 2 
C C 
1 2 
= 
Ref:06103104HKN EE3110 Oscillator 19
Frequency Stability 
• The frequency stability of an oscillator is 
defined as 
o 
ppm/ C 
w 
1 ׿ 
ö çè 
÷ø 
w = 
T 
d 
w w 
o o d 
• Use high stability capacitors, e.g. silver 
mica, polystyrene, or teflon capacitors and 
low temperature coefficient inductors for 
high stable oscillators. 
Ref:06103104HKN EE3110 Oscillator 20
Amplitude Stability 
• In order to start the oscillation, the loop 
gain is usually slightly greater than unity. 
• LC oscillators in general do not require 
amplitude stabilization circuits because of 
the selectivity of the LC circuits. 
• In RC oscillators, some non-linear devices, 
e.g. NTC/PTC resistors, FET or zener 
diodes can be used to stabilized the 
amplitude 
Ref:06103104HKN EE3110 Oscillator 21
Wien-bridge oscillator with bulb stabilization 
Vrms 
irms 
Operating 
point 
+ 
- 
R 
R 
C 
C 
R2 
Blub 
Ref:06103104HKN EE3110 Oscillator 22
Wien-bridge oscillator with diode 
stabilization 
Rf 
- 
+ 
R 
R 
C 
R1 
C 
Vo 
Ref:06103104HKN EE3110 Oscillator 23
Twin-T Oscillator 
- 
+ 
low pass filter 
high pass filter 
Filter output 
low pass region high pass region 
fr f 
Ref:06103104HKN EE3110 Oscillator 24
Bistable Circuit 
+ 
- 
vo 
v1 
v+ 
Vth 
+Vcc 
-Vcc 
vo 
v1 
-Vth 
vo 
+Vcc 
-Vcc 
v1 
Vth 
+Vcc 
-Vth 
-Vcc 
vo 
v1 
Ref:06103104HKN EE3110 Oscillator 25
A Square-wave Oscillator 
- 
+ 
vo 
vc 
vf 
vc 
vo 
+vf 
¡Ðvf 
+vmax 
¡Ðvmax 
Ref:06103104HKN EE3110 Oscillator 26

Oscillatorsppt

  • 1.
    Lecture 3 Oscillator • Introduction of Oscillator • Linear Oscillator – Wien Bridge Oscillator – RC Phase-Shift Oscillator – LC Oscillator • Stability Ref:06103104HKN EE3110 Oscillator 1
  • 2.
    Oscillators Oscillation: aneffect that repeatedly and regularly fluctuates about the mean value Oscillator: circuit that produces oscillation Characteristics: wave-shape, frequency, amplitude, distortion, stability Ref:06103104HKN EE3110 Oscillator 2
  • 3.
    Application of Oscillators • Oscillators are used to generate signals, e.g. – Used as a local oscillator to transform the RF signals to IF signals in a receiver; – Used to generate RF carrier in a transmitter – Used to generate clocks in digital systems; – Used as sweep circuits in TV sets and CRO. Ref:06103104HKN EE3110 Oscillator 3
  • 4.
    Linear Oscillators 1.Wien Bridge Oscillators 2. RC Phase-Shift Oscillators 3. LC Oscillators 4. Stability Ref:06103104HKN EE3110 Oscillator 4
  • 5.
    Integrant of LinearOscillators Ve + Amplifier (A) Vs Vo S + Frequency-Selective Feedback Network (b) Vf Positive Feedback For sinusoidal input is connected “Linear” because the output is approximately sinusoidal A linear oscillator contains: - a frequency selection feedback network - an amplifier to maintain the loop gain at unity Ref:06103104HKN EE3110 Oscillator 5
  • 6.
    Basic Linear Oscillator + Ve A(f) Vs Vo S + SelectiveNetwork b(f) Vf ( ) o s f V = AV = A V +V e and f o V = bV A Ab V s Þ o = V - 1 If Vs = 0, the only way that Vo can be nonzero is that loop gain Ab=1 which implies that A (Barkhausen Criterion) b A = b | | 1 Ð = 0 Ref:06103104HKN EE3110 Oscillator 6
  • 7.
    Wien Bridge Oscillator 1 C 1 C Let Frequency Selection Network = and 1 XC 1 w 1 1 C1 Z = R - jX 2 X= C 2 w C jR X 2 2 2 2 1 2 2 ù é Vi Vo jR X R jX = - - ( / ) C C 2 2 2 2 2 V o Z C jR X 2 2 b = - R - jX R - jX - jR X ( )( ) C C C Ref:06103104HKN EE3110 Oscillator 7 2 1 1 C C R jX R jX Z - = - úû êë - = + - Therefore, the feedback factor, ( ) ( / ) 1 1 2 2 2 2 1 2 C C C i R jX jR X R jX Z Z V - + - - + b = = 1 1 2 2 2 2 R1 C1 C2 R2 Z1 Z2
  • 8.
    b can berewritten as: C R X 2 2 R X + R X + R X + j R R - X X ( ) 1 C 2 2 C 1 2 C 2 1 2 C 1 C 2 b = For Barkhausen Criterion, imaginary part = 0, i.e., 0 1 2 1 2 - = C C R R X X or 1 1 C C w w 1 2 R R C C 1 2 1 2 R R 1 2 1/ Þ = = w Supposing, R1=R2=R and XC1= XC2=XC, RX C + - 3 RX j ( R 2 X 2 ) C C b = 0.34 b 0.32 factor 0.3 0.28 Feedback 0.26 0.24 0.22 0.2 1 0.5 0 Phase -0.5 -1 f(R=Xc) Phase=0 Frequency b=1/3 Ref:06103104HKN EE3110 Oscillator 8
  • 9.
    Example Rf - + R R C R1 C Z1 Z2 Vo w = 1 By setting RC , we get b = 1 Imaginary part = 0 and 3 Due to Barkhausen Criterion, Loop gain Avb=1 where Av : Gain of the amplifier R A A f v v b = Þ = = + R 1 1 3 1 RTherefore, f 2 Wien Bridge Oscillator = R 1 Ref:06103104HKN EE3110 Oscillator 9
  • 10.
    RC Phase-Shift Oscillator - + Rf R1 C C C R R R  Using an inverting amplifier  The additional 180o phase shift is provided by an RC phase-shift network Ref:06103104HKN EE3110 Oscillator 10
  • 11.
    Applying KVL tothe phase-shift network, we have C C C V1 Vo R R R V = I ( R - jX ) - I R C 1 1 2 I R I R jX I R = - + - - 0 (2 ) C 1 2 3 I R I R jX = - + - 0 (2 ) 2 3 C I1 I2 I3 Solve for I3, we get C R - jX - R 0 R R jX R - - - C C R jX R V 1 2 0 C - - C R R jX R R jX R I - - - - - = 2 0 2 0 0 3 2 I V R 1 ( )[(2 )2 2 ] 2 (2 ) Or = 3 R - jX R - jX - R - R R - jX C C C Ref:06103104HKN EE3110 Oscillator 11
  • 12.
    The output voltage, 3 V = I R = V R 1 o R jX R jX R R R jX ( )[(2 )2 2 ] 2 (2 ) 3 - - - - - C C C Hence the transfer function of the phase-shift network is given by, 3 R ( 3 5 2 ) ( 3 6 2 ) V b = o = R RX j X R X V - + - 1 C C C For 180o phase shift, the imaginary part = 0, i.e., 3 2 X R X XC C C - = = 6 0 or 0 (Rejected) 2C R 2 1 RC Þ = X 6 6 = w and, b = - 1 29 Note: The –ve sign mean the phase inversion from the voltage Ref:06103104HKN EE3110 Oscillator 12
  • 13.
    LC Oscillators - ~ Av Ro + Z1 Z2 2 1 Z3 Ref:06103104HKN EE3110 Oscillator 13 Zp  The frequency selection network (Z1, Z2 and Z3) provides a phase shift of 180o  The amplifier provides an addition shift of 180o Two well-known Oscillators: • Colpitts Oscillator • Harley Oscillator
  • 14.
    Av Ro + ~ Z1 Z2 Vf Vo Z3 Zp V V Z f o o V 1 + Z Z 1 3 = b = Z = Z Z + Z p //( ) 2 1 3 ( ) Z Z Z = + 2 1 3 Z + Z + Z 1 2 3 For the equivalent circuit from the output A Z v p - R + Z o p V - or = o = V i V o p A V v i R + Z o p Z Ro Io -A Zp vVi + - + Vo - Therefore, the amplifier gain is obtained, A Z Z Z = = - + ( ) 2 1 3 v R Z + Z + Z + Z Z + Z ( ) ( ) 1 2 3 2 1 3 A V o V o i Ref:06103104HKN EE3110 Oscillator 14
  • 15.
    The loop gain, A A Z Z 1 2 v b = - R Z + Z + Z + Z Z + Z ( ) ( ) 1 2 3 2 1 3 o If the impedance are all pure reactances, i.e., 1 1 2 2 3 3 Z = jX , Z = jX and Z = jX The loop gain becomes, A A X X 1 2 v jR X + X + X - X X + X ( ) ( ) 1 2 3 2 1 3 o b = The imaginary part = 0 only when X1+ X2+ X3=0  It indicates that at least one reactance must be –ve (capacitor)  X1 and X2 must be of same type and X3 must be of opposite type A AvX = v A X 2 1 1 With imaginary part = 0, b = - X + X 1 3 X For Unit Gain & 180o Phase-shift, A A X v b = Þ = 1 2 1 X Ref:06103104HKN EE3110 Oscillator 15
  • 16.
    Hartley Oscillator ColpittsOscillator R L1 L2 C R C1 C2 L w = 1 1 w = L L C = o ( ) o LC T g C m = 2 RC 1 C C C T + 1 2 C C 1 2 1 2 + g L m = 1 RL 2 Ref:06103104HKN EE3110 Oscillator 16
  • 17.
    Colpitts Oscillator R C1 C2 L Equivalent circuit + - Vp L C2 R C1 gmVp In the equivalent circuit, it is assumed that:  Linear small signal model of transistor is used  The transistor capacitances are neglected  Input resistance of the transistor is large enough Ref:06103104HKN EE3110 Oscillator 17
  • 18.
    At node 1, ( ) 1 1 V V i jwL p = + where, p i jwC V 1 2 = 2 L node 1 I1 I2 I3 V1 C2 R C1 Þ V = V (1 - w LC ) 1 p 2 Apply KCL at node 1, we have j C V g V V m w w p p 2 + + + j CV = Vp 0 1 1 1 R + - gmVp (1 ) 1 0 2 1 + + - 2 æ + j C ö çè j C V g V V LC m w w w p p p 2 R ÷ø = For Oscillator Vp must not be zero, therefore it enforces, ö 1 [ ( ) ] 0 gm w w w = - + + ÷ ÷ø LC + - j C C LC C 1 2 3 1 2 2 2 æ ç çè R R I4 Ref:06103104HKN EE3110 Oscillator 18
  • 19.
    ö 1 [( ) ] 0 gm w w w = - + + ÷ ÷ø LC + - j C C LC C 1 2 2 2 æ ç çè R R Imaginary part = 0, we have 1 2 3 w = 1 o LC T Real part = 0, yields g C m = 2 RC 1 C C C T + 1 2 C C 1 2 = Ref:06103104HKN EE3110 Oscillator 19
  • 20.
    Frequency Stability •The frequency stability of an oscillator is defined as o ppm/ C w 1 ׿ ö çè ÷ø w = T d w w o o d • Use high stability capacitors, e.g. silver mica, polystyrene, or teflon capacitors and low temperature coefficient inductors for high stable oscillators. Ref:06103104HKN EE3110 Oscillator 20
  • 21.
    Amplitude Stability •In order to start the oscillation, the loop gain is usually slightly greater than unity. • LC oscillators in general do not require amplitude stabilization circuits because of the selectivity of the LC circuits. • In RC oscillators, some non-linear devices, e.g. NTC/PTC resistors, FET or zener diodes can be used to stabilized the amplitude Ref:06103104HKN EE3110 Oscillator 21
  • 22.
    Wien-bridge oscillator withbulb stabilization Vrms irms Operating point + - R R C C R2 Blub Ref:06103104HKN EE3110 Oscillator 22
  • 23.
    Wien-bridge oscillator withdiode stabilization Rf - + R R C R1 C Vo Ref:06103104HKN EE3110 Oscillator 23
  • 24.
    Twin-T Oscillator - + low pass filter high pass filter Filter output low pass region high pass region fr f Ref:06103104HKN EE3110 Oscillator 24
  • 25.
    Bistable Circuit + - vo v1 v+ Vth +Vcc -Vcc vo v1 -Vth vo +Vcc -Vcc v1 Vth +Vcc -Vth -Vcc vo v1 Ref:06103104HKN EE3110 Oscillator 25
  • 26.
    A Square-wave Oscillator - + vo vc vf vc vo +vf ¡Ðvf +vmax ¡Ðvmax Ref:06103104HKN EE3110 Oscillator 26