CPT-4.1
UNIT-II
Prepared By
Dr. Krishnaswamy. G
Faculty
DOS & R in Organic Chemistry
Tumkur University
Tumakuru
Use of Organozinc reagents
The organozinc compounds are less reactive compared to
Organo lithium and Organo magnesium compounds since the
C–Zn bond is highly covalent and hence allowing the
preparation of functionalized derivatives.
The first organozinc compound diethylzinc (Et2Zn) was
prepared by Edward Frankland in 1849 and this was also the
first compound with metal to carbon sigma bond.
Organo zinc compounds are sensitive to oxidation hence they
are prepared in situ and reactions require inert atmosphere (N2
/ Ar)
I
Zn Zn

DiethylzincEthyliodide
Introduction
The three main classes of organozinc compounds
(1) Diorganozincs R-Zn-R (Homoleptic)
(2) Organozinc halides R-Zn-X (Heteroleptic)
(3) Metal zincates (M+R3Zn-) M = Li / Mg
or Ionic organozinc
Organo zinc compounds are generally prepared by reaction of
primary and secondary halides (Iodides) with zinc metal
(Oxidative addition reaction-direct insertion of zinc into
carbon-halogen bond).
I
Zn
Zn

I
(or)
Zn
(or)
With Zinc dust activated by 1,2-dibromoethane
Preparation
With Rieke Zinc
ZnCl2 Zn
Li-naphthalenide
LiLi-naphthalenide
FG-RX
[FG-RZnX]
Rieke Zinc
R= Alkyl, Aryl, Benzyl
X = Br, I
FG = CO2R, CN, halide
Organo zinc halides are also prepared by reaction of primary
and secondary halides (Iodides) with Rieke Zinc.
Unfunctionalized dialkylzincs (R2Zn) are obtained by
transmetallation of zinc halides such as ZnCl2 with RLi or
RMgX.
Practical way of preparing functionalized dialkylzincs are by
iodide-zinc exchange reactions catalysed by CuI.
MgBr
ZnCl2
Zn
2MgClBr
FG-RCH2I
Et2Zn, CuI
(FG-RCH2)2Zn
Triorganozincates are generally prepared by the reaction of zinc
halide with three equivalents of alkyllithium or Grignard reagent
or from stoichiometric reaction of organolithium or Grignard
reagent with diorganozinc.
Utilization of organozinc reagents in organic syntheses
Reformatsky reaction
Cyclopropanation (Simmons-Smith reaction)
Transmetallations with transition metals.
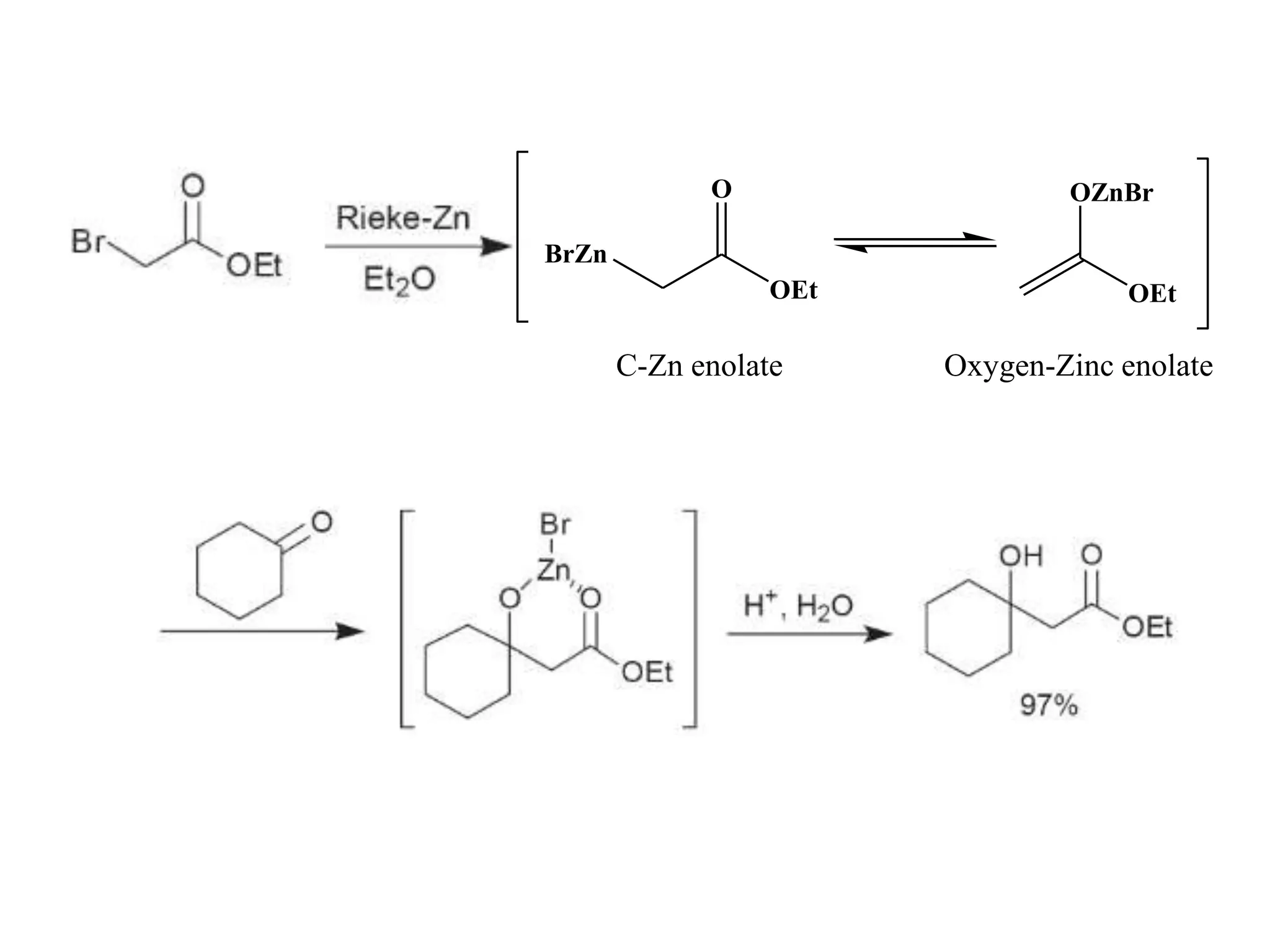
Condensation of ester-derived zinc enolates (Reformatsky
reagent) with aldehydes or ketones to give corresponding β-
hydroxyesters
Reformatsky reaction
OR2
OZnX
R H/R'
O
R H/R'
HO OR2
O
-hydroxyesters
Aldehydes /
Ketones
Reformatsky
reagent
XZn
OEt
O
X
OEt
O
Zn
a-halo ester
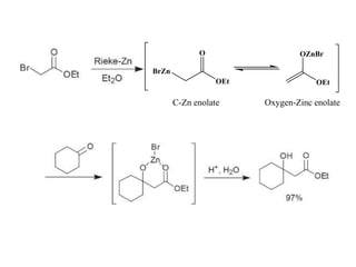
Zinc enolates are generated by addition of an α-haloester in THF,
DME, Et2O, benzene, or toluene to an activated zinc, such as a
Zn-Cu couple or zinc obtained by reduction of zinc halides with
potassium (Rieke zinc).
BrZn
OEt
O
OEt
OZnBr
C-Zn enolate Oxygen-Zinc enolate
In 1958, Simmons and Smith reported that treatment of a zinc-
copper couple with diiodomethane in ether produces a reagent
that adds to alkenes to form cyclopropanes through Zn-carbenoid
intermediate (Iodomethyl)zinc iodide).
It is also known as cyclopropanation reaction
(Iodomethyl)zinc iodide
Simmons and Smith Reaction
The cyclopropanation reaction of simple alkenes appears to
proceed via concerted stereospecific syn-addition of a Zn-
carbenoid (carbene-like species) to the double bond without the
involvement of a free carbene.
C IH
I
H
Zn-Cu
Oxidative addition
Mechanism
The reaction is stereospecific with respect to to the alkene
The Zinc carbenoid react chemoselectively with more
nucleophilic double bond in dienes and polyenes.
Zn-Cu
CH2I2
The Zinc carbenoid react stereoselectively with hindered
nucleophilic double bond.
Zn-Cu
CH2I2
Major Minor
Stereoselectivity will be reversed if any chelating groups (OR,
OH, C=O) are present near to double bond. Cyclopropanation
occurs from the same face of the double bond as that of the oxy
substituents.
Zn-Cu
CH2I2
OR OR OR
Major
Carbon-carbon bond forming cross coupling reaction of an
organic halide and an organozinc halide reagent in the presence
of a nickel or palladium catalyst is known as Negishi coupling.
Transmetallation Reaction
The palladium-catalyzed coupling of organozinc compounds
with thioesters to form ketones is known as Fukuyama
coupling.
Transmetallation Reaction
The Barbier reaction involves nucleophilic addition of a
carbanion equivalent to a carbonyl.
The reaction produces a primary, secondary, or tertiary alcohol
via 1, 2-addition.
R3
-X Zn
Addition Reaction
Organozinc compounds

Organozinc compounds

  • 1.
    CPT-4.1 UNIT-II Prepared By Dr. Krishnaswamy.G Faculty DOS & R in Organic Chemistry Tumkur University Tumakuru Use of Organozinc reagents
  • 2.
    The organozinc compoundsare less reactive compared to Organo lithium and Organo magnesium compounds since the C–Zn bond is highly covalent and hence allowing the preparation of functionalized derivatives. The first organozinc compound diethylzinc (Et2Zn) was prepared by Edward Frankland in 1849 and this was also the first compound with metal to carbon sigma bond. Organo zinc compounds are sensitive to oxidation hence they are prepared in situ and reactions require inert atmosphere (N2 / Ar) I Zn Zn  DiethylzincEthyliodide Introduction
  • 3.
    The three mainclasses of organozinc compounds (1) Diorganozincs R-Zn-R (Homoleptic) (2) Organozinc halides R-Zn-X (Heteroleptic) (3) Metal zincates (M+R3Zn-) M = Li / Mg or Ionic organozinc
  • 4.
    Organo zinc compoundsare generally prepared by reaction of primary and secondary halides (Iodides) with zinc metal (Oxidative addition reaction-direct insertion of zinc into carbon-halogen bond). I Zn Zn  I (or) Zn (or) With Zinc dust activated by 1,2-dibromoethane Preparation
  • 5.
    With Rieke Zinc ZnCl2Zn Li-naphthalenide LiLi-naphthalenide FG-RX [FG-RZnX] Rieke Zinc R= Alkyl, Aryl, Benzyl X = Br, I FG = CO2R, CN, halide Organo zinc halides are also prepared by reaction of primary and secondary halides (Iodides) with Rieke Zinc.
  • 6.
    Unfunctionalized dialkylzincs (R2Zn)are obtained by transmetallation of zinc halides such as ZnCl2 with RLi or RMgX. Practical way of preparing functionalized dialkylzincs are by iodide-zinc exchange reactions catalysed by CuI. MgBr ZnCl2 Zn 2MgClBr FG-RCH2I Et2Zn, CuI (FG-RCH2)2Zn
  • 7.
    Triorganozincates are generallyprepared by the reaction of zinc halide with three equivalents of alkyllithium or Grignard reagent or from stoichiometric reaction of organolithium or Grignard reagent with diorganozinc.
  • 8.
    Utilization of organozincreagents in organic syntheses Reformatsky reaction Cyclopropanation (Simmons-Smith reaction) Transmetallations with transition metals.
  • 9.
    Condensation of ester-derivedzinc enolates (Reformatsky reagent) with aldehydes or ketones to give corresponding β- hydroxyesters Reformatsky reaction OR2 OZnX R H/R' O R H/R' HO OR2 O -hydroxyesters Aldehydes / Ketones Reformatsky reagent XZn OEt O X OEt O Zn a-halo ester
  • 10.
    Zinc enolates aregenerated by addition of an α-haloester in THF, DME, Et2O, benzene, or toluene to an activated zinc, such as a Zn-Cu couple or zinc obtained by reduction of zinc halides with potassium (Rieke zinc).
  • 11.
  • 13.
    In 1958, Simmonsand Smith reported that treatment of a zinc- copper couple with diiodomethane in ether produces a reagent that adds to alkenes to form cyclopropanes through Zn-carbenoid intermediate (Iodomethyl)zinc iodide). It is also known as cyclopropanation reaction (Iodomethyl)zinc iodide Simmons and Smith Reaction
  • 14.
    The cyclopropanation reactionof simple alkenes appears to proceed via concerted stereospecific syn-addition of a Zn- carbenoid (carbene-like species) to the double bond without the involvement of a free carbene. C IH I H Zn-Cu Oxidative addition Mechanism
  • 15.
    The reaction isstereospecific with respect to to the alkene
  • 16.
    The Zinc carbenoidreact chemoselectively with more nucleophilic double bond in dienes and polyenes. Zn-Cu CH2I2
  • 17.
    The Zinc carbenoidreact stereoselectively with hindered nucleophilic double bond. Zn-Cu CH2I2 Major Minor
  • 18.
    Stereoselectivity will bereversed if any chelating groups (OR, OH, C=O) are present near to double bond. Cyclopropanation occurs from the same face of the double bond as that of the oxy substituents. Zn-Cu CH2I2 OR OR OR Major
  • 19.
    Carbon-carbon bond formingcross coupling reaction of an organic halide and an organozinc halide reagent in the presence of a nickel or palladium catalyst is known as Negishi coupling. Transmetallation Reaction
  • 20.
    The palladium-catalyzed couplingof organozinc compounds with thioesters to form ketones is known as Fukuyama coupling. Transmetallation Reaction
  • 21.
    The Barbier reactioninvolves nucleophilic addition of a carbanion equivalent to a carbonyl. The reaction produces a primary, secondary, or tertiary alcohol via 1, 2-addition. R3 -X Zn Addition Reaction