Chapter 04 - The Simplex Method Tableau Form
2
The Simplex Method
Tableau Form
Start with an LPP in standard form: (Example 1)
.0,...,,x
743x
822:.
325.max
521
5321
4321
54321




xx
xxx
xxxxTS
xxxxxZ
Constants
5 2 3 -1 1
8
7
1 2 2 1 0
3 4 1 0 1
-1
1
jC
BasisBC
4x
5x
54321 xxxxx
3
The Simplex Method
Tableau Form
Where,
Basis: Basic variables in the current bfs.
Constants: Values of the basic variables.
: Coefficients of the variables in the objective function.
: Coefficients of the basic variables in the objective function.
From the above table, we have: Iteration #1
Relative profits ( ), where
= - {inner product of and the column corresponding to in the canonical system}.
Thus,
jC
BC
178
7
8
).1,1(
0,7,8 32154








Z
xxxxx
jC
jC jC
BC jx
4)1(3
1
2
).1,1(3
022
4
2
).1,1(2
325
3
1
).1,1(5
3
2
1





















C
C
C
4
The Simplex Method
Tableau Form
Constants
5 2 3 -1 1
8
7
1 2 2 1 0
3 4 1 0 1
-1
1
Z=-13 0 4 0 0
row
BC
jC
Basis
54321 xxxxx
4x
C
5x
5
The Simplex Method
Tableau Form
Since there are positive values in row, the current solution is not optimal.
is the entering variable, because it has the highest relative profit.
Thus is the entering variable, and is the leaving variable.
Iteration # 2
Basic variables:
Now, rewrite the system in canonical form wrt the new basic variables.
C
3x 4}7,4min{3 x
43 x 4x
15,0:,3,4 42153  Zxxxnonbasicxx
Constants5 2 3 -1 1
4
3
½ 1 1 ½ 0
5/2 3 0 -1/2 1
3
1
Z=151 -4 0 -2 0
row
BC
jC
Basis 54321 xxxxx
3x
5x
C
6
The Simplex Method
Tableau Form
Thus,
And the relative profits are:
Iteration # 3
So, is the new entering variable, , and is the leaving variable.
Now, rewrite the system in canonical form wrt to the new basic variables.
15312
3
4
).1,3( 





Z
211
2/1
2/1
).1,3(1
462
3
1
).1,3(2
145
2/5
2/1
).1,3(5
4
2
1






















C
C
C
1x 5/6}5/6,8min{1 x 5x
.0,5/17,5/6 54231  xxxxx
7
The Simplex Method
Tableau Form
The tableau now is:
Constants
5 2 3 -1 1
17/5
6/5
0 2/5 1 3/5 -1/5
1 6/5 0 -1/5 2/5
3
5
Z=81/50 -26/5 0 -9/5 -2/5
row
BC
jC
Basis
54321 xxxxx
C
3x
1x
8
The Simplex Method
Tableau Form
Therefore,
And the relative profits are:
Since all relative profits are negative, the current solution is optimal. That is
5/81
5/6
5/17
).5,3( 





Z
05/225/31
5/2
5/1
).5,3(1
05/915/91
5/1
5/3
).5,3(1
05/2665/62
5/6
5/2
).5,3(2
5
4






















C
C
2C
.5/81,0,5/6,5/17 54213  Zxxxxx
9
Summary
1. Express the problem in standard form.
2. Start with an initial bfs in canonical form, and set the initial tableau.
3. Use the inner product rule to find the relative profits of the nonbasic variables.
4. If all the relative profits are nonpositive, then the current solution is optimal. Otherwise, select the
entering variable as the nonbasic variable with the highest relative profit.
5. Apply the minimum ratio rule to determine the leaving variable and the value of the entering
variable.
6. Perform the pivot operation to get the new tableau and the bfs.( canonical system wrt the new basic
variables).
7. Go to step 3.
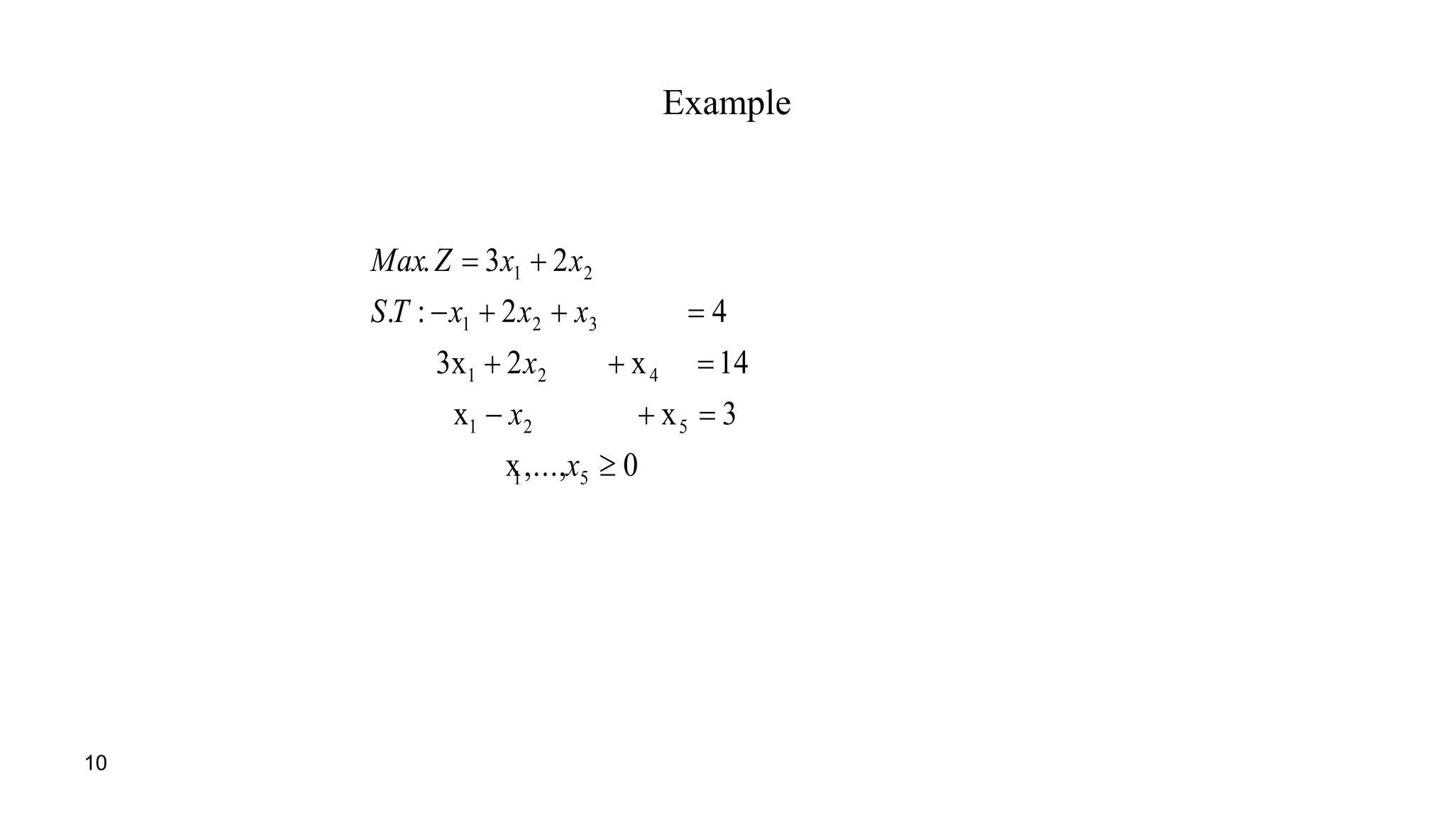
10
Example
0,...,x
3xx
14x23x
42:.
23.
51
521
421
321
21





x
x
x
xxxTS
xxZMax
11
Important Remark
When the relative profits of all the nonbasic variables are all negative, the optimal solution is
unique. And if one relative profit or more of the nonbasic variables is zero, the optimal
solution is not unique. For example, if we carry the above example one more step, we get:
is the new entering variable, and is the leaving variable. And the tableau becomes:
4/15}10,3/5,4/15min{5 x
5x 3x
constants3 2 0 0 0
basis
15/4
13/4
5/2
0 0 5/8 -1/8 1
0 1 3/8 1/8 0
1 0 -1/4 ¼ 0
0
2
3
Z=140 0 0 -1 0
BC
jC
54321 xxxxx
5x
2x
1x
jC
12
Important Remark
Notice now that:
Thus, is the entering variable, and
So, we get the previous iteration. Which means that we have two optimal solutions, both give
Z=14.
14/34/100
4/1
8/1
8/1
).3,2,0(0
04/34/300
4/1
8/3
8/5
).3,2,0(0
4
3

























C
C
3x variable.leavingtheisxand,6},,6min{ 53 x
13
Minimization LPP
A. First Approach
1. A negative coefficient in the relative profits row indicates that the corresponding nonbasic
variable when increased will reduce the value of the objective function. Hence, in
minimization problems, only those nonbasic variables with negative relative profits are
eligible to enter the basis and improve the objective function.
2. The optimal solution is obtained when all coef’s in the rel. profits row are nonnegative.
Thus, all previous steps in maximization LPP are the same, except the following modified
step: If all the coef.’s in the rel. profits row are positive or zero, then the current basic
feasible solution is optimal. Otherwise, select the nonbasic variable with the lowest (most
negative) value in the rel. profits row to enter the basis.
B. Second Approach
Example: minimize becomes maximize , and then set the
required minimum value to be the negative of the solution you obtain.
21 3640 xxZ  21 3640 xxZ 

Operations research - Chapter 04

  • 1.
    Chapter 04 -The Simplex Method Tableau Form
  • 2.
    2 The Simplex Method TableauForm Start with an LPP in standard form: (Example 1) .0,...,,x 743x 822:. 325.max 521 5321 4321 54321     xx xxx xxxxTS xxxxxZ Constants 5 2 3 -1 1 8 7 1 2 2 1 0 3 4 1 0 1 -1 1 jC BasisBC 4x 5x 54321 xxxxx
  • 3.
    3 The Simplex Method TableauForm Where, Basis: Basic variables in the current bfs. Constants: Values of the basic variables. : Coefficients of the variables in the objective function. : Coefficients of the basic variables in the objective function. From the above table, we have: Iteration #1 Relative profits ( ), where = - {inner product of and the column corresponding to in the canonical system}. Thus, jC BC 178 7 8 ).1,1( 0,7,8 32154         Z xxxxx jC jC jC BC jx 4)1(3 1 2 ).1,1(3 022 4 2 ).1,1(2 325 3 1 ).1,1(5 3 2 1                      C C C
  • 4.
    4 The Simplex Method TableauForm Constants 5 2 3 -1 1 8 7 1 2 2 1 0 3 4 1 0 1 -1 1 Z=-13 0 4 0 0 row BC jC Basis 54321 xxxxx 4x C 5x
  • 5.
    5 The Simplex Method TableauForm Since there are positive values in row, the current solution is not optimal. is the entering variable, because it has the highest relative profit. Thus is the entering variable, and is the leaving variable. Iteration # 2 Basic variables: Now, rewrite the system in canonical form wrt the new basic variables. C 3x 4}7,4min{3 x 43 x 4x 15,0:,3,4 42153  Zxxxnonbasicxx Constants5 2 3 -1 1 4 3 ½ 1 1 ½ 0 5/2 3 0 -1/2 1 3 1 Z=151 -4 0 -2 0 row BC jC Basis 54321 xxxxx 3x 5x C
  • 6.
    6 The Simplex Method TableauForm Thus, And the relative profits are: Iteration # 3 So, is the new entering variable, , and is the leaving variable. Now, rewrite the system in canonical form wrt to the new basic variables. 15312 3 4 ).1,3(       Z 211 2/1 2/1 ).1,3(1 462 3 1 ).1,3(2 145 2/5 2/1 ).1,3(5 4 2 1                       C C C 1x 5/6}5/6,8min{1 x 5x .0,5/17,5/6 54231  xxxxx
  • 7.
    7 The Simplex Method TableauForm The tableau now is: Constants 5 2 3 -1 1 17/5 6/5 0 2/5 1 3/5 -1/5 1 6/5 0 -1/5 2/5 3 5 Z=81/50 -26/5 0 -9/5 -2/5 row BC jC Basis 54321 xxxxx C 3x 1x
  • 8.
    8 The Simplex Method TableauForm Therefore, And the relative profits are: Since all relative profits are negative, the current solution is optimal. That is 5/81 5/6 5/17 ).5,3(       Z 05/225/31 5/2 5/1 ).5,3(1 05/915/91 5/1 5/3 ).5,3(1 05/2665/62 5/6 5/2 ).5,3(2 5 4                       C C 2C .5/81,0,5/6,5/17 54213  Zxxxxx
  • 9.
    9 Summary 1. Express theproblem in standard form. 2. Start with an initial bfs in canonical form, and set the initial tableau. 3. Use the inner product rule to find the relative profits of the nonbasic variables. 4. If all the relative profits are nonpositive, then the current solution is optimal. Otherwise, select the entering variable as the nonbasic variable with the highest relative profit. 5. Apply the minimum ratio rule to determine the leaving variable and the value of the entering variable. 6. Perform the pivot operation to get the new tableau and the bfs.( canonical system wrt the new basic variables). 7. Go to step 3.
  • 10.
  • 11.
    11 Important Remark When therelative profits of all the nonbasic variables are all negative, the optimal solution is unique. And if one relative profit or more of the nonbasic variables is zero, the optimal solution is not unique. For example, if we carry the above example one more step, we get: is the new entering variable, and is the leaving variable. And the tableau becomes: 4/15}10,3/5,4/15min{5 x 5x 3x constants3 2 0 0 0 basis 15/4 13/4 5/2 0 0 5/8 -1/8 1 0 1 3/8 1/8 0 1 0 -1/4 ¼ 0 0 2 3 Z=140 0 0 -1 0 BC jC 54321 xxxxx 5x 2x 1x jC
  • 12.
    12 Important Remark Notice nowthat: Thus, is the entering variable, and So, we get the previous iteration. Which means that we have two optimal solutions, both give Z=14. 14/34/100 4/1 8/1 8/1 ).3,2,0(0 04/34/300 4/1 8/3 8/5 ).3,2,0(0 4 3                          C C 3x variable.leavingtheisxand,6},,6min{ 53 x
  • 13.
    13 Minimization LPP A. FirstApproach 1. A negative coefficient in the relative profits row indicates that the corresponding nonbasic variable when increased will reduce the value of the objective function. Hence, in minimization problems, only those nonbasic variables with negative relative profits are eligible to enter the basis and improve the objective function. 2. The optimal solution is obtained when all coef’s in the rel. profits row are nonnegative. Thus, all previous steps in maximization LPP are the same, except the following modified step: If all the coef.’s in the rel. profits row are positive or zero, then the current basic feasible solution is optimal. Otherwise, select the nonbasic variable with the lowest (most negative) value in the rel. profits row to enter the basis. B. Second Approach Example: minimize becomes maximize , and then set the required minimum value to be the negative of the solution you obtain. 21 3640 xxZ  21 3640 xxZ 