Embed presentation
Download as PDF, PPTX
























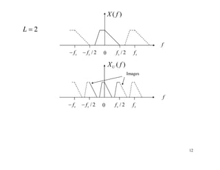
This document summarizes basic rate-changing components in multirate digital signal processing. It describes upsamplers and downsamplers, which increase or decrease the sampling rate by an integer factor. It also discusses the time-domain and frequency-domain models of upsamplers and downsamplers, and how they respectively introduce zero samples or skip samples while changing the sampling rate and bandwidth.






















