Батлав. Тэнхмийн эрхлэгч Б.Уламбаяр 
Монголын түүхийн хичээлийн конспект 
Сэдэв: Монголын сонгодог мал аж ахуйн түүхэн тойм, газар тариалан, гар 
гар үйлдвэрлэлийн үүсэл, хөгжил, хандлага. 
Нэг. Нүүдлийн сонгодог мал аж ахуй, түүний технологид гарсан өөрчлөлт. 
Юуны өмнө монгол орны байгаль, цаг уурын онцлогийг дурдах нь чухал. Бүдүүвч № 1 
Далай тэнгисээс 
алс 
Бүдүүвч № 2 
Байгалийн онцлог 
Ази тивийн 
өндөрлөг 
хэсэгт оршдог 
Эх газрын эрс тэс 
уур амьсгалтай 
Жилийн 4 улирал 
ээлжлэн солигддог 
Байгалийн нөхцөл 
Умард хэсэг Төв хэсэг Өмнө хэсэг 
Ой Ойт хээр Тал хээр Говь 
Өвөл, хаврын улиралд хойт мөсөн далай, Сибирийн агаарын хүйтэн урсгал манай 
нутаг дэвсгэрт нэвтрэн орж олон хоног, сараар хадгалагддаг. 
Хавартаа хавсарга болдог нь баруун өмнө зүгийн дулаан уур амьсгал түрэн орж 
ирж дээр өгүүлсэн хүйтэн урсгалтай нийлснээс үүднэ. 
Түүхэнд өмнөд Хүннү хятадын Хүннү хэмээн түүхийн зарим эх сурвалжид 
дурдсан байдаг гэдэг улс МЭӨ II зууны үед тэмдэглэгдсэн байдаг нь угтаа монголын 
нутагт ган, зуд тохиолдож, олон жил үргэлжилсэнтэй холбоотойгоор бидний өвөг болох 
Хүннү аймгийн нэг хэсэг мөн гэж судлаачид үздэг.
Туршлагатай малчид “ тэнгэр уншдаг“ хэмээн түүх шастирт тэмдэглэгдсэн байна. 
Мал аж ахуйн үүсэл: Монгол нутагт мал аж ахуйн үүсэл неолитийн үед МЭӨ 7000- 
4000 жилийн тавигдсан гэж үздэг.  “Неолитийн хувьсгал “ хэмээсний учрыг тайлбарлах 
Эртний хүмүүс зэрлэг амьтдыг хашаа, хороо, сааданд хорьж, аажмаар хүнд 
дасгасан байна. Үүний зэрэгцээ ан ав хийдэг байжээ. Энэ нь эхэн үедээ хувийн чанартай 
ажил байсан бол алсдаа улсын чанартай ажил болж хувирсан байна. 
Эртний хүмүүс зэрлэг адууг барьж дасган гэрийн болгосон нь адууны олон талын 
ач холбогдлыг ухаарч байсантай холбоотой юм. 
Сонгодог мал аж ахуй нь Хүннү улсын үед бүрэлдэн тогтож, цааш боловсорсоор 
эдүгээг хүрчээ. Сонгодог гэсний учир нь таван төрлийн мал маллагааны нарийн арга 
технологийн үндсэн дээр цогцолбороор үржүүлж ирсэн гэсэн утга юм. 
Эмээл, дөрөө хэрэглэх болсон нь нүүэлчин хүннүчүүдээс үүдэлтэй бөгөөд энэ нь 
хүн төрөлхтөний аж ахуйн хөгжилд оруулсан шинэ зүйл гэж үздэг. 
Сүмбэ нар дөрвөн улиралын нутаг сэлгэн нүүдэллэдэг байжээ. “Монголын нууц 
товчоон”-д “ Манай хонгирад нар хацар сайт охидоо хасаг тэргэнд суулгаж, хар буур 
хөллөж” хэмээн бичсэн байдаг, үүнчлэн “ Ууланд шахаж бууя адуучинд гэр болтугай, голд 
шахаж бууя хоньчин, хургачин нарт хоол болтугай” 12:118 гэж тэмдэглэсэн байдаг нь 
дээрхийн жишээ мөн. тайлбарлах 
Манжийн дарлалд байх үед Дарьгангад манжийн хааны “Төмөр сүрэг“- ийг 
үржүүлж байсан тухай түүх шастирт дурдсан. 
Манай улс 1941 онд 27,2 сая малтай байсан бол энэ тоо ахихгүй байсаар, 
ардчилсан хувьсгал ялж, хувийн өмч хөгжсөний үр дүнд 2009 оны байдлаар 43,0 сая 
малтай болсон.  дэлгэрүүлж тайлбарлах 
Билчээрийн мал аж ахуйг хөтлөх үндсэн хэлбэр нь нүүдэл юм. Монгол орны нутаг 
дэвсгэрийн 88,2 хувь нь 137,3 сая га билчээр юм. Энд 580 төрлийн 2300 орчим зүйл 
ургамал ургадаг бөгөөд 600 гаруй нь малын тэжээл болдог байна. 
Бүдүүвч № 3 
Нүүдэллэн аж төрөх технологи 
Хаваржаа Зуслан Намаржаа Өвөлжөө
Монголчууд мал аж ахуйн хөдөлмөр зохион байгуулалтын өвөрмөц хэлбэрүүдийг 
ашиглаж ирсэн. 
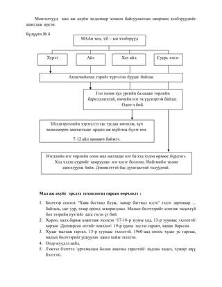
Бүдүүвч № 4 
Мал аж ахуйг эрхлэх технологид гарсан өөрчлөлт : 
1. Билчээр сонгох “Хаяа багтвал бууж, хамар багтвал идэх“ гэдэг зарчмаар ... 
байгаль, цаг уур, газар оронд захирагдмал. Малын билчээрийг сонгож чадахгүй 
бол зээрийн нутгийг дага гэсэн үг бий. 
2. Хороо, халх барьж ашиглаж эхэлсэн 17-18-р зууны үед, 13-р зуунаас эхлэлтэй 
хөрзөн Дагширсан өтгийг ховхлох 19-р зууны эцсээс саравч, хашаа барьсан. 
3. Худаг малтаж гаргах. 13-р зуунаас эхлэлтэй. 1960-аад оноос худаг ус гаргаж, 
малын билчээрийг усжуулах ажил хийж эхэлсэн. 
4. Отор нүүдэл хийх. 
5. Тэжээл бэлтгэх ургамалын болон амьтны гаралтай хадлан хадах, хужир шүү 
бэлтгэх. 
МААн хөд, зб – ын хэлбэрүүд 
Хүрээ Айл Хот айл Суурь хэсэг 
Ахлагчийнхаа гэрийг хүрээлэн буудаг байсан 
Гол төлөв худ ургийн ба садан төрлийн 
барилдлагатай, өмчийн нэг эх үүсвэртэй байдаг. 
Одоо ч бий. 
Үйлдвэрлэлийн хэрэгслээ тус тусдаа өмчилж, хүч 
хөдөлмөрөө хамтатгадаг ардын аж ахуйтны бүлэг юм. 
7-12 айл хамаарч байжээ. 
Нэгдлийн нэг төрлийн олон мал малладаг нэг ба хэд хэдэн өрхөөс бүрдэнэ. 
Хэд хэдэн суурийг хамруулан нэг хэсэг болгоно. Нийгмийн төлөө 
ажиллуулж байв. Дэвшилттэй бас дутагдалтай талуудтай.
6. Малаа өөрсдөө эмчилдэг байжээ. ханах, хатгах, төөнөх, шивэх аргуудыг өргөн 
хэрэглэж байсан. Адуунд ханаж болох 50 гаруй судас байдаг бол 30-аадыг нь 
малчид ханаж чаддаг байна. 
Хоёр.Газар тариалан, гар урлалын үүсэл, хөгжил. 
Монгол нутагт яв уулсан археологийн судалгааны үр дүнд наад зах нь 2000 жилийн 
тэртээ мал аж ахуйд туслах зорилгоор усалгаат анжист тариалан үүссэн гэсэн дүгнэлтэнд 
хүрчээ. Баян хонгор аймгийн Баянбулаг сумын бичигтийн амны хадны зурагт үхэрт 
хөллөсөн анжисыг дүрсэлсэн байгаа нь дээрхийн нэг нотолгоо юм. 
Хэрэйд аймгууд тариа будаа тарьж байсан талаар эх сурвалжид дурдсан. Үүнчлэн 
эх сурвалжид Чингис хаан Өүлэн эх, Отчигин ноён хоёрт “түмэн зүрчидэд тариа тарьж 
өгтүгэй “ гэж өмч болгосон тухай өгүүлдэг. 
Шинэ үе дахь тариалангийн хөгжилт нь 1914 оноос эхлэлтэй. Энэ үед засгийн 
газраас тариалангийн аж ахуй хөгжүүлэх шийдвэр гаргаж, 4 аймгийн чуулган даргад 
хүргүүлж байсан баримт олдсон. 1920-иод оны үед Хараа, Ховд, Борнуур, Жаргалантын 
САА-нууд байгуулагдсан. 
Атарын анхны аян 1959 онд эхэлсэн 2-р аяныг С.Баяр дарга 2008 оноос эхлүүлсэн. 
Монголд гар урлал нь хөдөлмөрийн багаж зэвсэг хийснээр эхэлсэн. Хүннүгийн 
үеэс эхлэн минж, булга, хали у зэрэг амьтдын арьсаар эмжиж чимэглэсэн хувцас хунар, 
ноосон нэхмэл, эд, тэмээ, хонины ноосоор утас хийж байжээ. 
Их монгол улсаас өмнө 3 хөлт ширмэн тогоо, төмөр дөрөө, сүх бусад зүйлийг 
хийдэг байсан. 
16-17-р зууны үед цутгамал, мөргөл тахилын хэрэгсэл, бурхны хүрэл, зэс дүр 
бүтээж байсан. 19-20-р зууны эхээр богдын дэргэд олон чадварыг урчууд ажиллаж байжээ. 
Монгол гэр бүтээх нь өөрөө том урлаг юм. Улам боловсронгуй болсоор ирсэн. 
Артелиудын талаар ярих 
Ардчилсан тогтолцоо нь хүмүүсийг ур чадвараа гаргах өргөн боломжийг бий 
болгосон. Эдүгээ хүмүүсийн ур чадвар хурдан өсөж, зах зээлд өрсөлдөх болсон байна.

Монголын сонгодог мал аж ахуйн түүхэн тойм, газар тариалан, гар гар үйлдвэрлэлийн үүсэл, хөгжил, хандлага.

  • 1.
    Батлав. Тэнхмийн эрхлэгчБ.Уламбаяр Монголын түүхийн хичээлийн конспект Сэдэв: Монголын сонгодог мал аж ахуйн түүхэн тойм, газар тариалан, гар гар үйлдвэрлэлийн үүсэл, хөгжил, хандлага. Нэг. Нүүдлийн сонгодог мал аж ахуй, түүний технологид гарсан өөрчлөлт. Юуны өмнө монгол орны байгаль, цаг уурын онцлогийг дурдах нь чухал. Бүдүүвч № 1 Далай тэнгисээс алс Бүдүүвч № 2 Байгалийн онцлог Ази тивийн өндөрлөг хэсэгт оршдог Эх газрын эрс тэс уур амьсгалтай Жилийн 4 улирал ээлжлэн солигддог Байгалийн нөхцөл Умард хэсэг Төв хэсэг Өмнө хэсэг Ой Ойт хээр Тал хээр Говь Өвөл, хаврын улиралд хойт мөсөн далай, Сибирийн агаарын хүйтэн урсгал манай нутаг дэвсгэрт нэвтрэн орж олон хоног, сараар хадгалагддаг. Хавартаа хавсарга болдог нь баруун өмнө зүгийн дулаан уур амьсгал түрэн орж ирж дээр өгүүлсэн хүйтэн урсгалтай нийлснээс үүднэ. Түүхэнд өмнөд Хүннү хятадын Хүннү хэмээн түүхийн зарим эх сурвалжид дурдсан байдаг гэдэг улс МЭӨ II зууны үед тэмдэглэгдсэн байдаг нь угтаа монголын нутагт ган, зуд тохиолдож, олон жил үргэлжилсэнтэй холбоотойгоор бидний өвөг болох Хүннү аймгийн нэг хэсэг мөн гэж судлаачид үздэг.
  • 2.
    Туршлагатай малчид “тэнгэр уншдаг“ хэмээн түүх шастирт тэмдэглэгдсэн байна. Мал аж ахуйн үүсэл: Монгол нутагт мал аж ахуйн үүсэл неолитийн үед МЭӨ 7000- 4000 жилийн тавигдсан гэж үздэг. “Неолитийн хувьсгал “ хэмээсний учрыг тайлбарлах Эртний хүмүүс зэрлэг амьтдыг хашаа, хороо, сааданд хорьж, аажмаар хүнд дасгасан байна. Үүний зэрэгцээ ан ав хийдэг байжээ. Энэ нь эхэн үедээ хувийн чанартай ажил байсан бол алсдаа улсын чанартай ажил болж хувирсан байна. Эртний хүмүүс зэрлэг адууг барьж дасган гэрийн болгосон нь адууны олон талын ач холбогдлыг ухаарч байсантай холбоотой юм. Сонгодог мал аж ахуй нь Хүннү улсын үед бүрэлдэн тогтож, цааш боловсорсоор эдүгээг хүрчээ. Сонгодог гэсний учир нь таван төрлийн мал маллагааны нарийн арга технологийн үндсэн дээр цогцолбороор үржүүлж ирсэн гэсэн утга юм. Эмээл, дөрөө хэрэглэх болсон нь нүүэлчин хүннүчүүдээс үүдэлтэй бөгөөд энэ нь хүн төрөлхтөний аж ахуйн хөгжилд оруулсан шинэ зүйл гэж үздэг. Сүмбэ нар дөрвөн улиралын нутаг сэлгэн нүүдэллэдэг байжээ. “Монголын нууц товчоон”-д “ Манай хонгирад нар хацар сайт охидоо хасаг тэргэнд суулгаж, хар буур хөллөж” хэмээн бичсэн байдаг, үүнчлэн “ Ууланд шахаж бууя адуучинд гэр болтугай, голд шахаж бууя хоньчин, хургачин нарт хоол болтугай” 12:118 гэж тэмдэглэсэн байдаг нь дээрхийн жишээ мөн. тайлбарлах Манжийн дарлалд байх үед Дарьгангад манжийн хааны “Төмөр сүрэг“- ийг үржүүлж байсан тухай түүх шастирт дурдсан. Манай улс 1941 онд 27,2 сая малтай байсан бол энэ тоо ахихгүй байсаар, ардчилсан хувьсгал ялж, хувийн өмч хөгжсөний үр дүнд 2009 оны байдлаар 43,0 сая малтай болсон. дэлгэрүүлж тайлбарлах Билчээрийн мал аж ахуйг хөтлөх үндсэн хэлбэр нь нүүдэл юм. Монгол орны нутаг дэвсгэрийн 88,2 хувь нь 137,3 сая га билчээр юм. Энд 580 төрлийн 2300 орчим зүйл ургамал ургадаг бөгөөд 600 гаруй нь малын тэжээл болдог байна. Бүдүүвч № 3 Нүүдэллэн аж төрөх технологи Хаваржаа Зуслан Намаржаа Өвөлжөө
  • 3.
    Монголчууд мал ажахуйн хөдөлмөр зохион байгуулалтын өвөрмөц хэлбэрүүдийг ашиглаж ирсэн. Бүдүүвч № 4 Мал аж ахуйг эрхлэх технологид гарсан өөрчлөлт : 1. Билчээр сонгох “Хаяа багтвал бууж, хамар багтвал идэх“ гэдэг зарчмаар ... байгаль, цаг уур, газар оронд захирагдмал. Малын билчээрийг сонгож чадахгүй бол зээрийн нутгийг дага гэсэн үг бий. 2. Хороо, халх барьж ашиглаж эхэлсэн 17-18-р зууны үед, 13-р зуунаас эхлэлтэй хөрзөн Дагширсан өтгийг ховхлох 19-р зууны эцсээс саравч, хашаа барьсан. 3. Худаг малтаж гаргах. 13-р зуунаас эхлэлтэй. 1960-аад оноос худаг ус гаргаж, малын билчээрийг усжуулах ажил хийж эхэлсэн. 4. Отор нүүдэл хийх. 5. Тэжээл бэлтгэх ургамалын болон амьтны гаралтай хадлан хадах, хужир шүү бэлтгэх. МААн хөд, зб – ын хэлбэрүүд Хүрээ Айл Хот айл Суурь хэсэг Ахлагчийнхаа гэрийг хүрээлэн буудаг байсан Гол төлөв худ ургийн ба садан төрлийн барилдлагатай, өмчийн нэг эх үүсвэртэй байдаг. Одоо ч бий. Үйлдвэрлэлийн хэрэгслээ тус тусдаа өмчилж, хүч хөдөлмөрөө хамтатгадаг ардын аж ахуйтны бүлэг юм. 7-12 айл хамаарч байжээ. Нэгдлийн нэг төрлийн олон мал малладаг нэг ба хэд хэдэн өрхөөс бүрдэнэ. Хэд хэдэн суурийг хамруулан нэг хэсэг болгоно. Нийгмийн төлөө ажиллуулж байв. Дэвшилттэй бас дутагдалтай талуудтай.
  • 4.
    6. Малаа өөрсдөөэмчилдэг байжээ. ханах, хатгах, төөнөх, шивэх аргуудыг өргөн хэрэглэж байсан. Адуунд ханаж болох 50 гаруй судас байдаг бол 30-аадыг нь малчид ханаж чаддаг байна. Хоёр.Газар тариалан, гар урлалын үүсэл, хөгжил. Монгол нутагт яв уулсан археологийн судалгааны үр дүнд наад зах нь 2000 жилийн тэртээ мал аж ахуйд туслах зорилгоор усалгаат анжист тариалан үүссэн гэсэн дүгнэлтэнд хүрчээ. Баян хонгор аймгийн Баянбулаг сумын бичигтийн амны хадны зурагт үхэрт хөллөсөн анжисыг дүрсэлсэн байгаа нь дээрхийн нэг нотолгоо юм. Хэрэйд аймгууд тариа будаа тарьж байсан талаар эх сурвалжид дурдсан. Үүнчлэн эх сурвалжид Чингис хаан Өүлэн эх, Отчигин ноён хоёрт “түмэн зүрчидэд тариа тарьж өгтүгэй “ гэж өмч болгосон тухай өгүүлдэг. Шинэ үе дахь тариалангийн хөгжилт нь 1914 оноос эхлэлтэй. Энэ үед засгийн газраас тариалангийн аж ахуй хөгжүүлэх шийдвэр гаргаж, 4 аймгийн чуулган даргад хүргүүлж байсан баримт олдсон. 1920-иод оны үед Хараа, Ховд, Борнуур, Жаргалантын САА-нууд байгуулагдсан. Атарын анхны аян 1959 онд эхэлсэн 2-р аяныг С.Баяр дарга 2008 оноос эхлүүлсэн. Монголд гар урлал нь хөдөлмөрийн багаж зэвсэг хийснээр эхэлсэн. Хүннүгийн үеэс эхлэн минж, булга, хали у зэрэг амьтдын арьсаар эмжиж чимэглэсэн хувцас хунар, ноосон нэхмэл, эд, тэмээ, хонины ноосоор утас хийж байжээ. Их монгол улсаас өмнө 3 хөлт ширмэн тогоо, төмөр дөрөө, сүх бусад зүйлийг хийдэг байсан. 16-17-р зууны үед цутгамал, мөргөл тахилын хэрэгсэл, бурхны хүрэл, зэс дүр бүтээж байсан. 19-20-р зууны эхээр богдын дэргэд олон чадварыг урчууд ажиллаж байжээ. Монгол гэр бүтээх нь өөрөө том урлаг юм. Улам боловсронгуй болсоор ирсэн. Артелиудын талаар ярих Ардчилсан тогтолцоо нь хүмүүсийг ур чадвараа гаргах өргөн боломжийг бий болгосон. Эдүгээ хүмүүсийн ур чадвар хурдан өсөж, зах зээлд өрсөлдөх болсон байна.