Name Roll No.
Muhammad Usama Nawab BT-14202
Zahid Iqbal BT-14204
Badar-Ul-Mustafa BT-14206
Ali Hussnain BT-14208
Muhammad Asad BT-14210
Muhammad Azam BT-14212
There are situations in which force acting on an
object is not constant, but varies with time.
Two new ideas: Impulse of the
force and Linear momentum of
an object
Impulse-Momentum Theorem
Impulse = Momentum
Consider Newton’s 2nd Law
and the definition of
acceleration
Units of Impulse:
Units of Momentum:
Ns
Kg x m/s
Momentum is defined as “Inertia in Motion”
Impulse – Momentum Relationships
Definition of Impulse
The impulse J of a force is the product of the
average force and the time interval during which
the force acts:
tFJ =
Impulse is a vector quantity and has the same direction as
the average force.
SI Unit of Impulse: newton.second (N.s)
Impulse Units
J = F t shows why the SI unit for impulse is the Newton ·
second. There is no special name for this unit, but it is
equivalent to a kg · m /s.
proof: 1 N·s = 1 (kg·m/s2) (s) = 1 kg·m/s
Fnet = m a shows this is
equivalent to a newton.
Therefore, impulse and momentum have the same units, which
leads to a useful theorem.
Definition of Linear Momentum:
The linear momentum p of an object is the product of the object’s
mass m and velocity v:
p=mv
Linear momentum is a vector quantity that points in the same
direction as the velocity.
SI Unit of Linear Momentum: kilogram. Meter/second(kg.m/s)
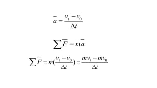
t
vv
a t


 0
  amF
 





t
mvmv
t
vv
mF tt 00
)(
Impulse-Momentum Theorem
When a net force acts on an object, the
impulse of this force is equal to the change
in momentum of the object:
  0)( mvmvtF f
Impulse Final
momentum
Initial
momentum
Impulse=Change in momentum
Impulse-Momentum Equation for Particles
Linear, not Angular, Momentum: In this section, we deal with linear
momentum (mv) of particles only. Another section of your book talks about
linear(mvG) and angular(IGω) momentum of rigid bodies.
An Integrated Form of F=ma : The impulse-momentum (I-M) equation is a
reformulation—an integrated form, like the work energy equation—of the
equation of motion, F=ma.
Particle Impulse-Momentum Equation
Important! This is a Vector Equation!
Initial Linear
Momentum =mv1
Final Linear
Momentum= mv2
Impulse
= ∫Fdt
Derivation of the Impulse-Momentum Equation
Typical Eqn of Motion: 𝐹 = m 𝑎
Sub in 𝑎 =
𝑑𝑣
𝑑𝑡
: 𝐹 = m
𝑑𝑣
𝑑𝑡
If mass is changing: (e.g. for a rocket...)
(Newton wrote it this way...)
Net Force =
time rate of
change of
momentum
𝐹 =
𝑑
𝑑𝑡
(m 𝑣)
Separate variables: 𝐹dt =md 𝑣
𝑡1
𝑡2
𝐹dt = 𝑣1
𝑣2
𝑚d 𝑣Set up integrals:
Integrate: 𝑡1
𝑡2
𝐹dt =m 𝑣2 - m 𝑣1
Usual form: m 𝑣1 + 𝐹dt = m 𝑣2
“Impulse” vs.
“Impulsive Force”
Particle Impulse-Momentum Equation
Impulse
= Area under Force-time curve
= Any force acting over any
time....
e.g. 100 lb. for two weeks....
Impulsive Force: A relatively
large force which acts over a
very short period of time, like
in an impact, e.g. bat-on-ball,
soccer kick, hammer-on-nail,
etc.
Initial Linear
Momentum =mv1
Impulse
= ∫Fdt
Final Linear
Momentum= mv2
e.g. 1000 lb. acting
in a 0.01 sec impact
Impulsive
Force
Impulse= ∫Fdt
or 10 N acting
for 1 second...
Non-Impulsive Force
F
t
Area under
F-t curve
= 10 lb-sec
= Impulse
F
tArea under
F-t curve
= 10 N-sec
= Impulse
Applications of the Impulse-Momentum Equation
 For any problems involving F, v, t: The impulse momentum equation
may be used for any problems involving the variables force F, velocity
v, and time t. The IM equation is not directly helpful for determining
acceleration, a, or displacement, s.
 Helpful for impulsive forces : The IM equation is most helpful for
problems involving impulsive forces. Impulsive forces are relatively
large forces that act over relatively short periods of time, for example
during impact. If one knows the velocities, and hence momenta, of a
particle before and after the action of an impulse, then one can easily
determine the impulse. If the time of impulse is known, then one can
calculate the average force Favgthat acts during the impulse.
 For problems involving graph of F vs. t: Some problems give a graph of
Force vs. time. The area under this curve is impulse. Important: You
may need to find t start for motion!
Various Forms of the Impulse-Momentum Equation
Various Forms of the I-M Equation
Force During Impact:
t
F
0
Actual Force
FAVG
∆t
Often Modeled as
Impulse = Area under curve...
= 𝐹dt =FAVG ∆t
General Form: m 𝑣1 + 𝐹dt = m 𝑣2
If force F is constant:
m 𝑣1 + 𝐹AVG ∆t = m 𝑣2
Know vectors v2 and v1:
𝐹dt= m 𝑣2 - m 𝑣1
= m( 𝑣2 - 𝑣1)
If force F is constant:
𝐹AVG∆t= m 𝑣2 - m 𝑣1
= m( 𝑣2 - 𝑣1)
Impulse
produces
change in
momentum
Application Of Impulse Momentum Equation

Application Of Impulse Momentum Equation

  • 4.
    Name Roll No. MuhammadUsama Nawab BT-14202 Zahid Iqbal BT-14204 Badar-Ul-Mustafa BT-14206 Ali Hussnain BT-14208 Muhammad Asad BT-14210 Muhammad Azam BT-14212
  • 7.
    There are situationsin which force acting on an object is not constant, but varies with time. Two new ideas: Impulse of the force and Linear momentum of an object
  • 8.
  • 9.
    Impulse = Momentum ConsiderNewton’s 2nd Law and the definition of acceleration Units of Impulse: Units of Momentum: Ns Kg x m/s Momentum is defined as “Inertia in Motion”
  • 10.
    Impulse – MomentumRelationships
  • 11.
    Definition of Impulse Theimpulse J of a force is the product of the average force and the time interval during which the force acts: tFJ = Impulse is a vector quantity and has the same direction as the average force. SI Unit of Impulse: newton.second (N.s)
  • 12.
    Impulse Units J =F t shows why the SI unit for impulse is the Newton · second. There is no special name for this unit, but it is equivalent to a kg · m /s. proof: 1 N·s = 1 (kg·m/s2) (s) = 1 kg·m/s Fnet = m a shows this is equivalent to a newton. Therefore, impulse and momentum have the same units, which leads to a useful theorem.
  • 13.
    Definition of LinearMomentum: The linear momentum p of an object is the product of the object’s mass m and velocity v: p=mv Linear momentum is a vector quantity that points in the same direction as the velocity. SI Unit of Linear Momentum: kilogram. Meter/second(kg.m/s)
  • 14.
    t vv a t    0  amF        t mvmv t vv mF tt 00 )(
  • 15.
    Impulse-Momentum Theorem When anet force acts on an object, the impulse of this force is equal to the change in momentum of the object:   0)( mvmvtF f Impulse Final momentum Initial momentum Impulse=Change in momentum
  • 16.
    Impulse-Momentum Equation forParticles Linear, not Angular, Momentum: In this section, we deal with linear momentum (mv) of particles only. Another section of your book talks about linear(mvG) and angular(IGω) momentum of rigid bodies. An Integrated Form of F=ma : The impulse-momentum (I-M) equation is a reformulation—an integrated form, like the work energy equation—of the equation of motion, F=ma. Particle Impulse-Momentum Equation Important! This is a Vector Equation! Initial Linear Momentum =mv1 Final Linear Momentum= mv2 Impulse = ∫Fdt
  • 17.
    Derivation of theImpulse-Momentum Equation Typical Eqn of Motion: 𝐹 = m 𝑎 Sub in 𝑎 = 𝑑𝑣 𝑑𝑡 : 𝐹 = m 𝑑𝑣 𝑑𝑡 If mass is changing: (e.g. for a rocket...) (Newton wrote it this way...) Net Force = time rate of change of momentum 𝐹 = 𝑑 𝑑𝑡 (m 𝑣) Separate variables: 𝐹dt =md 𝑣 𝑡1 𝑡2 𝐹dt = 𝑣1 𝑣2 𝑚d 𝑣Set up integrals: Integrate: 𝑡1 𝑡2 𝐹dt =m 𝑣2 - m 𝑣1 Usual form: m 𝑣1 + 𝐹dt = m 𝑣2
  • 18.
    “Impulse” vs. “Impulsive Force” ParticleImpulse-Momentum Equation Impulse = Area under Force-time curve = Any force acting over any time.... e.g. 100 lb. for two weeks.... Impulsive Force: A relatively large force which acts over a very short period of time, like in an impact, e.g. bat-on-ball, soccer kick, hammer-on-nail, etc. Initial Linear Momentum =mv1 Impulse = ∫Fdt Final Linear Momentum= mv2 e.g. 1000 lb. acting in a 0.01 sec impact Impulsive Force Impulse= ∫Fdt or 10 N acting for 1 second... Non-Impulsive Force F t Area under F-t curve = 10 lb-sec = Impulse F tArea under F-t curve = 10 N-sec = Impulse
  • 19.
    Applications of theImpulse-Momentum Equation  For any problems involving F, v, t: The impulse momentum equation may be used for any problems involving the variables force F, velocity v, and time t. The IM equation is not directly helpful for determining acceleration, a, or displacement, s.  Helpful for impulsive forces : The IM equation is most helpful for problems involving impulsive forces. Impulsive forces are relatively large forces that act over relatively short periods of time, for example during impact. If one knows the velocities, and hence momenta, of a particle before and after the action of an impulse, then one can easily determine the impulse. If the time of impulse is known, then one can calculate the average force Favgthat acts during the impulse.
  • 20.
     For problemsinvolving graph of F vs. t: Some problems give a graph of Force vs. time. The area under this curve is impulse. Important: You may need to find t start for motion!
  • 21.
    Various Forms ofthe Impulse-Momentum Equation Various Forms of the I-M Equation Force During Impact: t F 0 Actual Force FAVG ∆t Often Modeled as Impulse = Area under curve... = 𝐹dt =FAVG ∆t General Form: m 𝑣1 + 𝐹dt = m 𝑣2 If force F is constant: m 𝑣1 + 𝐹AVG ∆t = m 𝑣2 Know vectors v2 and v1: 𝐹dt= m 𝑣2 - m 𝑣1 = m( 𝑣2 - 𝑣1) If force F is constant: 𝐹AVG∆t= m 𝑣2 - m 𝑣1 = m( 𝑣2 - 𝑣1) Impulse produces change in momentum