Chapter 1: Introduction
Lecture Page 1
Lecture Page 2
Lecture Page 3
Lecture Page 4
Lecture Page 5
Lecture Page 6
Lecture Page 7
Lecture Page 8
Chapter 2: Free Vibration
Lecture Page 9
24-07-2018 11:28
Lecture Page 10
Lecture Page 11
The vertical suspension system of an automobile is idealized as a viscously damped SDF system.
Under the 3000-lb weight of the car the suspension system deflects 2 in. The suspension
is designed to be critically damped.
(a) Calculate the damping and stiffness coefficients of the suspension.
(b) With four 160-lb passengers in the car, what is the effective damping ratio?
(c) Calculate the natural vibration frequency for case (b).
Lecture Page 12
The packaging for an instrument can be modeled as shown in Fig. P2.6, in which the instrument
of mass m is restrained by springs of total stiffness k inside a container; m = 10 lb/g and
k = 50 lb/in. The container is accidentally dropped from a height of 3 ft above the ground.
Assuming that it does not bounce on contact, determine the maximum deformation of the
packaging within the box and the maximum acceleration of the instrument.
Lecture Page 13
Chapter 3: Forced Vibrations
Lecture Page 14
Lecture Page 15
Lecture Page 16
Lecture Page 17
Lecture Page 18
Lecture Page 19
Lecture Page 20
Lecture Page 21
Lecture Page 22
Lecture Page 23
Lecture Page 24
Lecture Page 25
Lecture Page 26
20-08-2018
Lecture Page 27
Lecture Page 28
In a forced vibration test under harmonic excitation it was noted that the amplitude of
motion at resonance was exactly four times the amplitude at an excitation frequency 20%
higher than the resonant frequency. Determine the damping ratio of the system.
1.
A machine is supported on four steel springs for which damping can be neglected. The
natural frequency of vertical vibration of the machine–spring system is 200 cycles per
minute. The machine generates a vertical force p(t) = p0 sin ωt. The amplitude of the
resulting steady state vertical displacement of the machine is uo = 0.2 in. when the
machine is running at 20 revolutions per minute (rpm), 1.042 in. at 180 rpm, and
0.0248 in. at 600 rpm. Calculate the amplitude of vertical motion of the machine if the
steel springs are replaced by four rubber isolators that provide the same stiffness but
introduce damping equivalent to ζ = 25% for the system. Comment on the effectiveness
of the isolators at various machine speeds.
2.
Lecture Page 29
A one-story reinforced concrete building has a roof mass of 500 kips/g, and its natural
frequency is 4 Hz. This building is excited by a vibration generator with two weights,
each 50 lb, rotating about a vertical axis at an eccentricity of 12 in. When the
vibration generator runs at the natural frequency of the building, the amplitude of
roof acceleration is measured to be 0.02g. Determine the damping of the structure.
3.
Consider an industrial machine of mass m supported on spring-type isolators of total
stiffness k. The machine operates at a frequency of f hertz with a force unbalance po.
4.
(a) Determine an expression giving the fraction of force transmitted to the foundation as a
function of the forcing frequency f and the static deflection δst = mg/k. Consider only the
steady-state response.
(b) Determine the static deflection δst for the force transmitted to be 10% of po if f = 20 Hz.
An automobile is traveling along a multispan elevated roadway supported every 100 ft. Long
term creep has resulted in a 6-in. deflection at the middle of each span (Fig. E3.4a). The
roadway profile can be approximated as sinusoidal with an amplitude of 3 in. and a period
of 100 ft. The SDF system shown is a simple idealization of an automobile, appropriate for a
“first approximation” study of the ride quality of the vehicle. When fully loaded, the weight
of the automobile is 4 kips. The stiffness of the automobile suspension system is 800 lb/in.,
and its viscous damping coefficient is such that the damping ratio of the system is 40%.
Determine:
5.
(a) the amplitude uo
t of vertical motion ut(t) when the automobile is traveling at 40 mph
(b) the speed of the vehicle that would produce a resonant condition for uo
t.
(c) the amplitude of the force developed in the spring of the suspension system.
Lecture Page 30
Lecture Page 31
Chapter 4: Arbitrary
Excitations
23 August 2018 08:23
Lecture Page 32
Lecture Page 33
27-08-2018
28-08-2018
Lecture Page 34
Lecture Page 35
Lecture Page 36
Lecture Page 37
eq-india
Earthquake excitation
Equation of motion
Response Quantities
Response history and internal forces
Response spectrum concept
Deformation, pseudo velocity and pseudo acceleration response spectra
Peak structural response from the response spectrum
Chapter 5: Earthquake Response of Linear Systems
Lecture Page 38
Lecture Page 39
04-09-2018
Lecture Page 40
Lecture Page 41
Lecture Page 42
Lecture Page 43
Lecture Page 44
06-09-2018
Lecture Page 45
Lecture Page 46
Lecture Page 47
Lecture Page 48
Chapter 6: Numerical Response
Lecture Page 49
Lecture Page 50
Lecture Page 51
Lecture Page 52
Lecture Page 53
Lecture Page 54
Lecture Page 55
Chapter 7: Generalized SDOF Systems
Lecture Page 56
Lecture Page 57
Lecture Page 58
27-09-2018 08:23
Lecture Page 59
Lecture Page 60
01-10-2018
Lecture Page 61
Lecture Page 62
Lecture Page 63
08-10-2018
Lecture Page 64
Lecture Page 65
Lecture Page 66
Chapter 8: MDOF Systems Intro
Lecture Page 67
11-10-2018
Lecture Page 68
Lecture Page 69
Lecture Page 70
Lecture Page 71
13-10-2018
Lecture Page 72
Lecture Page 73
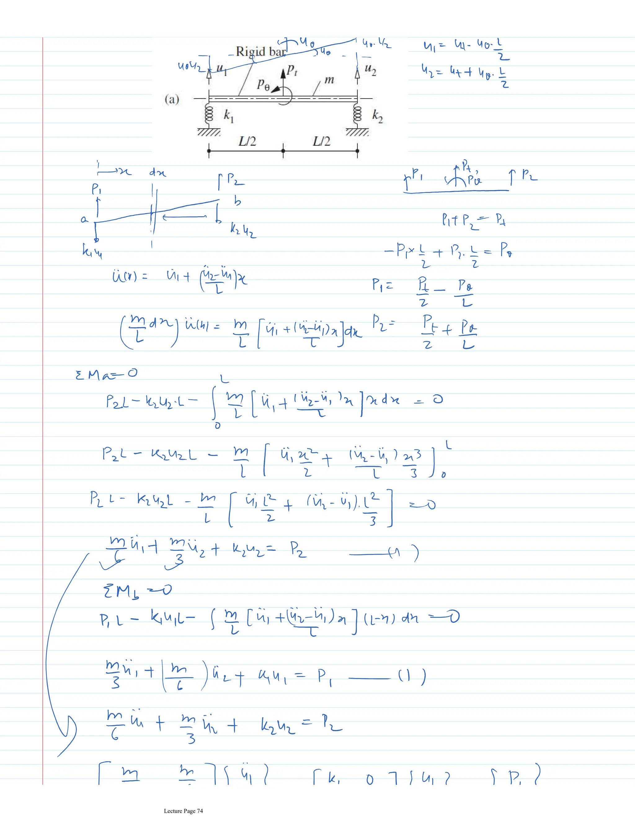
Lecture Page 74
Lecture Page 75
Lecture Page 76
Lecture Page 77
Lecture Page 78
Lecture Page 79
Chapter 9 Free Vibration
Lecture Page 80
Lecture Page 81
Lecture Page 82
Lecture Page 83
16-10-2018
Lecture Page 84
Lecture Page 85
Lecture Page 86
18-10-2018
Lecture Page 87
Lecture Page 88
Lecture Page 89
Lecture Page 90
22-10-2018
Lecture Page 91
Lecture Page 92
Lecture Page 93
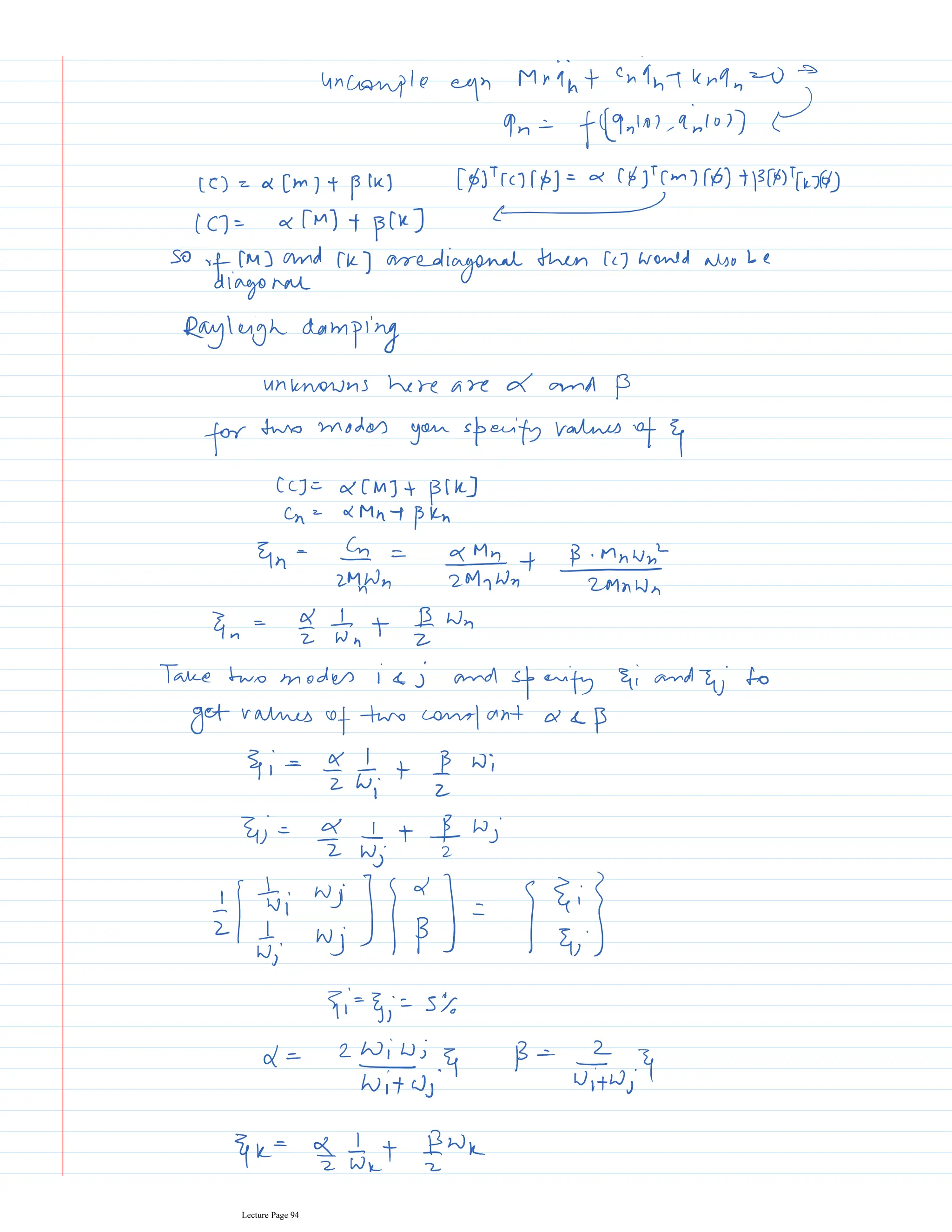
Lecture Page 94
23-10-2018
Lecture Page 95
Lecture Page 96
Lecture Page 97
Lecture Page 98
Lecture Page 99
Chapter 10 Forced Vibration
Lecture Page 100
Lecture Page 101
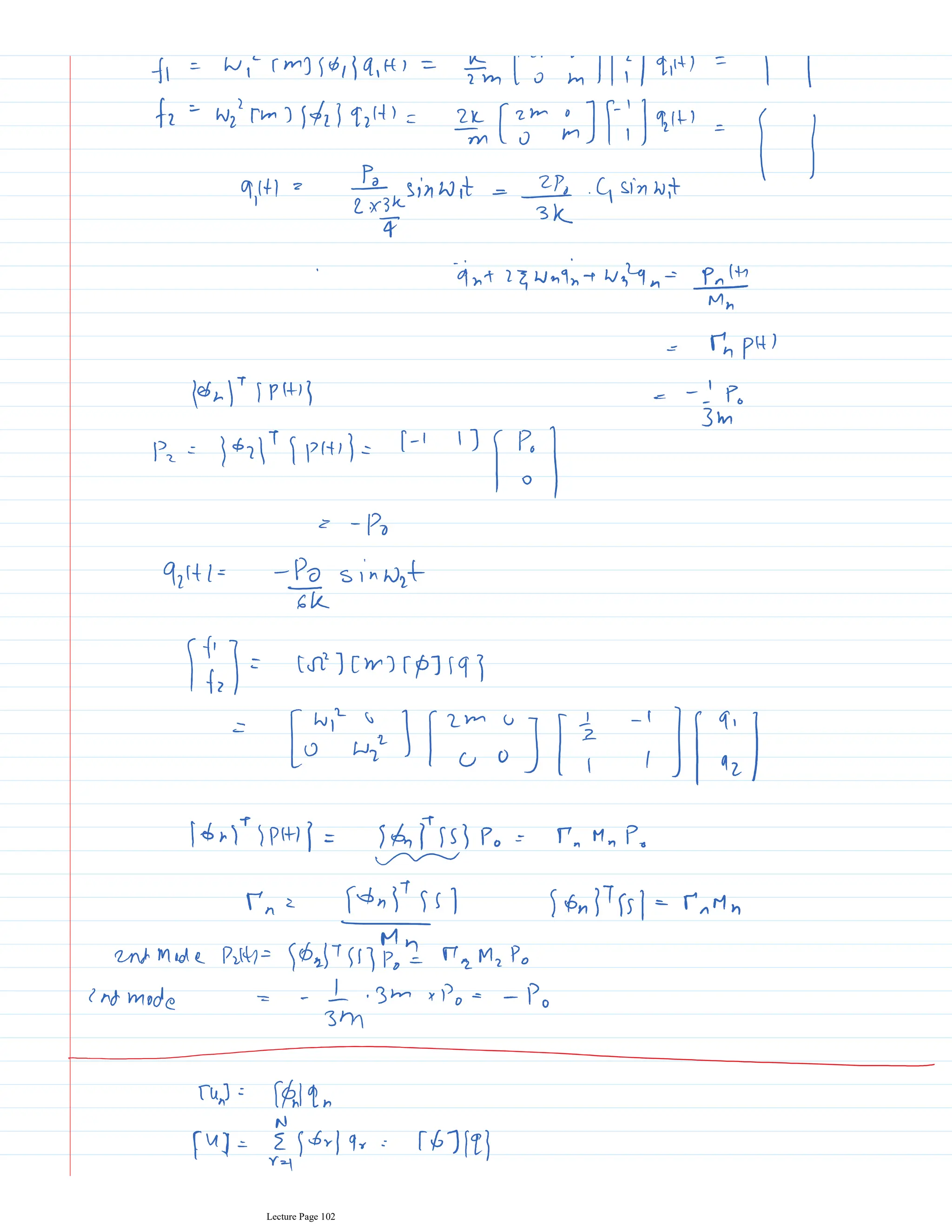
Lecture Page 102
Lecture Page 103
Lecture Page 104
Lecture Page 105
Lecture Page 106
03-11-2018
Lecture Page 107
Lecture Page 108
Lecture Page 109
Lecture Page 110
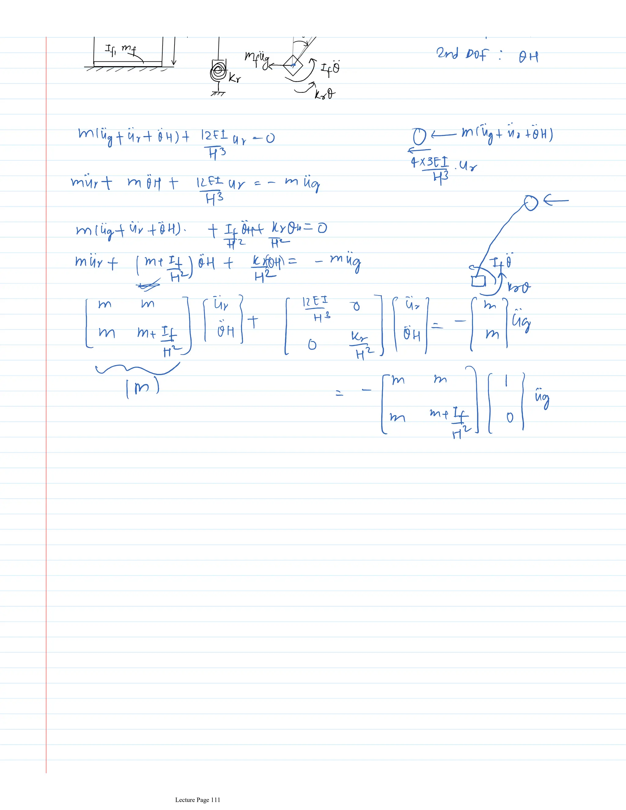
Lecture Page 111
Lecture Page 112
Lecture Page 113
Chapter 11 Base-Isolated Structures
Lecture Page 114
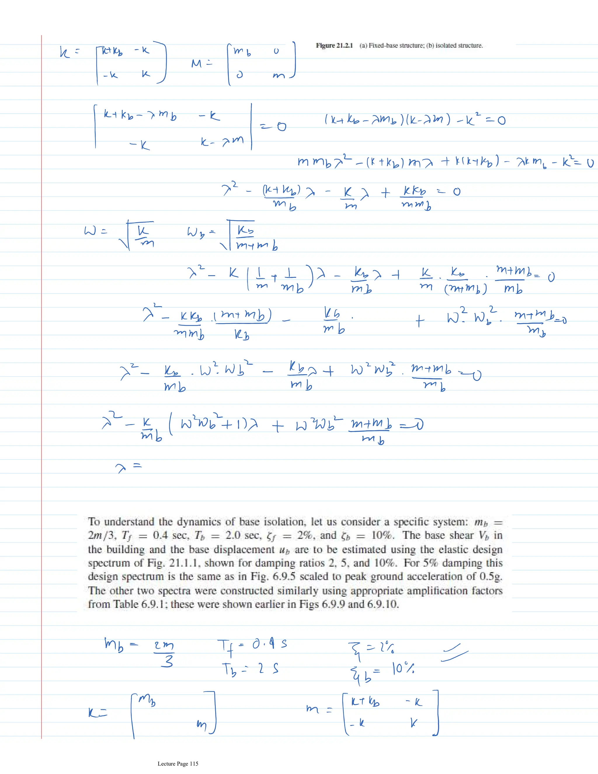
Lecture Page 115
Lecture Page 116

Structural Dynamics Notes.pdf