UNSYMMETRICAL BENDING OF 
BEAMS 
Under the guidance 
of 
Dr. M. V. RENUKA DEVI 
Associate Professor 
Department of Civil Engineering, 
RVCE, Bangalore 
By 
VENKATESHA A 
(1RV13CSE15)
PURE BENDING 
 Bending is a very severe form of stressing a structure 
 The simple bending theory applies when bending takes place about an 
axis which is perpendicular to a plane of symmetry. 
 Bending moments acts along the axis of the member. 
Assumptions made in pure bending 
1. The normal planes remain normal even after bending. 
2. There is no net internal axial force. 
3. Stress varies linearly over cross section. 
4. Zero stress exists at the centroid and the line of centroid is the 
Neutral Axis (N.A)
•Bending stress and strain at any point may be computed as
 Symmetrical bending : The plane of loading or the plane of 
bending is co-incident with or parallel to, a plane containing 
principal centroidal axes of inertia of the cross-section of the 
beam. 
 Bending stress is given by 
σz = 
Mx 
Ix 
y + 
My 
Iy 
x 
 Bending stress along N.A is σz= 0
UNSYMMETRICAL BENDING 
Assumptions 
1. The plane sections of the beam remain plane after bending 
2. The material of the beam is homogeneous and linearly elastic. 
3. There is no net internal axial force. 
Sign conventions and notation  u, v and w are the 
displacement components of 
any point within beam parallel to 
x, y, z axes. 
 P = axial load and T = torque 
 푤푥 (z) and 푤푦 (z)are 
distributed loads 
푀푥and 푀푦are applied bending 
moments
Fig. Representation of positive internal and external force systems 
•We assume 푀푥and 푀푦 as positive when they each induce tensile stresses in the 
positive xy quadrant of the beam section.
PRODUCT SECOND MOMENT OF AREA 
 The second moments of area of the surface about the X and Y axes are defined 
as Ixx = x2dA and Iyy = x2dA 
 Similarly, the product second moment of area of the section is defined as 
follows 
Ixy = xy dA
 Since the cross-section of most structural members used in bending applications 
consists of a combination of rectangles the value of the product second moment 
of area for such sections is determined by the addition of the Ixx value for each 
rectangle. 
Ixx = Ahk 
 Where h and k are the distances of the centroid of each rectangle from the X and 
Y axes respectively (taking account of the normal sign convention for x and y) 
and A is the area of the rectangle.
DETERMINATION OF PRINCIPAL AXIS OF SECTION 
Let, 
 U-U, V-V be the Principal Centroidal Axes, 
 X-X, Y-Y be the pair of orthogonal axes, 
 α be the angle between both the axes system, 
 휕푎 Be the elementary area with co-ordinates (u, v) referred to the principal 
axes i.e., U-V axes and (x, y) referred to the X-Y axes, Since, U-V axes are 
principal axes the product of inertia = 0
Iuv = uv 휕A = 0 
By definition 
Ixx = y2. 휕A ; Iyy = x2. 휕A ; Ixy = xy. 휕A ; 
Iuu = v2. 휕A ; Ivv = u2. 휕A ; Iuv = uv. 휕A ; 
 The relationship between (x, y) and (u, v) co-ordinates are given by 
u = AB+DP = 푥 cos ∝ + 푦 sin ∝ 
v = GP-HG =GP-EF = 푦 cos ∝ − 푥 sin ∝ 
 Now substituting for u and v in the above equations we get, 
Iuu = {y cos ∝ − x sin ∝}2. 휕A 
Iuu = cos2 ∝ y2. 휕A + sin2 ∝ x2. 휕A - 2 sin ∝ cos ∝ xy. 휕A 
Iuu = cos2 ∝ Ixx + sin2 ∝ Iyy - sin 2 ∝ Ixy
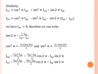
Similarly, 
Ivv = cos2 ∝ Iyy + sin2 ∝ Ixx + sin 2 ∝ Ixy 
Iuv = cos2 ∝ Ixy - sin2 ∝ Ixy - sin 2 ∝ (Ixx - Iyy) 
we have Iuv = 0, therefore we can write 
tan 2 ∝ = 
2 Ixy 
Ixx− Iyy 
cos2 ∝ = 
(1+cos 2∝) 
2 
and sin2 ∝ = 
(1−cos 2∝) 
2 
Iuu = 
Ixx+ Iyy 
2 
+ 
Ixx− Iyy 
2 
cos 2 ∝ - Ixy sin 2 ∝ 
Ivv = 
Ixx+ Iyy 
2 
- 
Ixx− Iyy 
2 
cos 2 ∝ + Ixy sin 2 ∝
we can write for sin 2 ∝ and cos 2 ∝ as follows 
sin 2 ∝ = 
−Ixy 
( 
Ixx− Iyy 
2 
)2+Ixy 
2 
cos 2 ∝ = 
Ixx−Ixy 
( 
Ixx− Iyy 
2 
)2+Ixy 
2 
Substituting the values of sin 2 ∝ and cos 2 ∝ 
Iuu = 
Ixx+ Iyy 
2 
+ ( 
Ixx− Iyy 
2 
)2+Ixy 
2 
Ivv = 
Ixx+ Iyy 
2 
- ( 
Ixx− Iyy 
2 
)2+Ixy 
2 
Thus knowing the values of Ixx, Iyy and Ixy , the principal moments of inertia 
Iuuand Ivv can be calculated from the above analytical expression. 
Note: moment of inertia of a section about its principal axes have maximum and 
minimum values.
DIRECT STRESS DISTRIBUTION 
Fig. bending of an unsymmetrical beam section 
 We know that a beam bends about the neutral axis of its cross section so 
that the radius of curvature, R, of the beam is perpendicular to the neutral 
axis. 
σZ = E 
p 
R
 The beam section is subjected to a pure bending moment so that the resultant direct 
load on the section is zero. Hence 
퐴 휎푧 푑퐴 = 0 
퐴 
퐸 
푃 
푅 
푑퐴 = 0 
 For a beam of a given material subjected to a given bending moment 
A 
P dA = 0 
 Above equation states that the first moment of area of the beam section about the 
neutral axis is zero. It follows pure bending of beams in which the neutral axis 
always passes through the centroid of the beam section. 
p = x sin ∝ + y cos ∝ 
σz = 
E 
R 
(x sin ∝ + y cos ∝) 
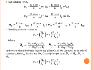
 The moment resultants of the direct stress distribution are 
Mx = A σz y dA , My = A σz x dA
 Substituting for σz 
Mx = 
E sin∝ 
R 
A xy dA + 
E cos∝ 
R 
A y2dA 
My = 
E sin∝ 
R 
A x2 dA + 
E cos∝ 
R 
A xy dA 
Mx = 
E sin∝ 
R 
Ixy + 
E cos∝ 
R 
Ix ; My = 
E sin∝ 
R 
Iy + 
E cos∝ 
R 
Ixy 
 Bending stress is written as 
σz = 
Mx 
Ix 
y + 
My 
Iy 
x 
Where, 
Mx = 
My −Mx Ixy/Iy 
1− (Ixy)2/Ix Iy 
; My = 
My −Mx Ixy/Ix 
1− (Ixy)2/Ix Iy 
In the case where the beam section has either Ox or Oy (or both) as an axis of 
symmetry, then Ixy is zero and Ox, Oy are principal axes, Mx = Mx , My = 
My 
σz = 
Mx 
Ix 
y + 
My 
Iy 
x
 Position of the neutral axis 
The direct stress at all points on the neutral axis of the beam section is zero. 
Thus, 
O = 
M x 
Ix 
yN.A + 
M y 
Iy 
xN.A 
WherexN.A and yN.A are the coordinates of any point on the neutral 
axis. Thus 
yN.A 
xN.A 
= − 
My Ix 
Mx Iy 
tan ∝ = 
M y Ix 
M x Iy 
Since ∝ is positive when yN.Ais negative and xN.A is positive
DEFLECTION OF BEAM UNDER UNSYMMETRICAL BENDING 
Let the bending moment “M” inclined at an angle “θ” with one of principal 
planes (Say VV-axis) 
Along UU-axis M component will be Mvv= M cos θ 
Along VV-axis M component will be Muu= M sin θ
 From the application of principal of virtual work (unit load method) the 
deflection (δ) of the beam in any direction, due to a bending moment M is 
given by 
l M m 
δ = 0 
EI 
dx 
Where, 
M = moment due to applied moment (say M) 
m = moment due to unit load applied at the point in the direction of the desired 
deflections, 
dx = elementary length of beam, measured along the span of the beam 
Hence the deflection of the beam in the direction of VV- axis is given by 
l M cos θ 
δv = 0 
E Iuu 
mv dx 
Hence the deflection of the beam in direction of UU-axis is given by 
l M sin θ 
δu = 0 
E Ivv 
mu dx 
The resultant deflection δ is given by 
δ = δu 2 
2 
+ δv
 Since mv,mu are the moments developed due to unit load applied, it can be 
taken both equal to m i.e. ( mv= mu= m) 
 If β is the inclination of neutral axis (NN-axis) with respect to UU-axis we 
can write as 
tan β = 
Iuu 
Ivv 
tan θ 
Let γ be the inclination of resultant deflection in the direction N!N!-axis 
makes with UU-axis 
tan γ = - 
δu 
δv 
tan γ = - 
lM sin θ 
0 
E Ivv 
mu dx 
lM cos θ 
0 
E Iuu 
mv dx 
tan γ = - 
Iuu 
Ivv 
tan θ 
tan γ = - tan β = tan(90 + β) 
Therefore we can write as 
γ = 90 + β
Hence the resultant deflection occurs in the direction exactly perpendicular 
to the neutral axis (N!N!- axis perpendicular to NN-axis) 
Let us consider the case of simply supported beam (SSB) subjected to 
UDL, then, 
δv = 
5 
384 
w cos θ l4 
E Iuu 
; δu = 
5 
384 
w sin θ l4 
E Ivv 
δ = δu 2 
2 
+ δv 
δ = 
5 
384 
wl4 cos θ sec β 
EIuu 
Multiplying and dividing by cos(β − θ) 
δ = 
5 
384 
l4 
E 
w cos(β−θ) 
Inn 
 Thus from the above expression for a simply supported beam (SSB) we 
can conclude that the term w cos(β−θ) is the resultant udl acting along 
N!N!- axis which is perpendicular to neutral axis.
PROBLEMS ON UNSYMMETRICAL BENDING 
 A Cantilever Problem 
1.A horizontal cantilever 2 m long is constructed from the Z-section shown 
below. A load of 10 KN is applied to the end of the cantilever at an angle 
of 60°to the horizontal as shown. Assuming that no twisting moment is 
applied to the section, determine the stresses at pointsA and B. 
(Ixx = 48.3 x 10−6m4, Iyy = 4.4 x 10−6m4) 
2.Determine the principal second moments of area of the section and hence, 
by applying the simple bending theory about each principal axis, check 
the answers obtained in part1. 
3. What will be the deflection of the end of the cantilever? E = 200 GPa.
In the given section Ixy for the web is zero since its centroid lies on both axes 
and hence h and k are both zero. The contributions to Ixy of the other two 
portions will be negative since in both cases either h or k is negative. 
Therefore, Ixy = -2(80 x 18) (40 - 9) (120 - 9) 10−12 
= -9.91 x 10−6m4 
Mx = +10000 sin60° x 2 = +17320 Nm 
My= -10000 cos60° x 2 = -10000 Nm 
But we have, 
σz = 
Mx 
Ix 
y + 
My 
Iy 
x 
Let 
M y 
Iy 
= P, 
M x 
Ix 
= Q 
Mx = P Ixy + Q Ix ; My = -P Iy - Q Ixy 
17320 = P (-9.91) x10−6 + Q 48.3x10−6 
-10000 = P (-4.4x10−6) + Q 9.91x10−6 
Solving the above two equations for P and Q, 
P = 5725x106; Q = 1533x106
The inclination of the N.A relative to the X axis is then given by 
M y Ix 
M x Iy 
= - 
tan ∝ = 
P 
Q 
= - 
5725 x 106 
1533 x 106 = - 3.735 
∝ = −75°1′ 
Now 
σz = 
M x 
Ix 
y + 
M y 
Iy 
x = P x + Q y 
Stress at A = 5725x106x 9x10−3+ 1533x106x 120x10−3 
= 235 N/mm2 
Similarly stress at B = 235 MN/mm2 
The points A and B are on both side of neutral axis and equidistant from it. 
Stresses at A and B are therefore of equal magnitude but with opposite sign.
2. The principal second moments of area may be found from the following 
equations 
Iuu = 
Ixx+ Iyy 
2 
Ixx− Iyy 
+ ( 
2 
)2+Ixy 
2 
= 
48.3x10−6+4.4x10−6 
2 
48.3x10−6− 4.4x10−6 
+ ( 
2 
)2+(−9.91 x 10−6)2 
= 50.43x10−6 
Ivv = 
Ixx+ Iyy 
2 
Ixx− Iyy 
- ( 
2 
)2+Ixy 
2 
= 
48.3x10−6+4.4x10−6 
2 
48.3x10−6− 4.4x10−6 
- ( 
2 
)2+(−9.91 x 10−6)2 
= 2.27x10−6 
tan 2 ∝ = 
2 Ixy 
Iyy− Ixx 
= 
−2 x 9.91 x 10−6 
(4.4− 48.3)x 10−6 = 0.451 
2 ∝ = 24°18′ , ∝ = 12°9′
The required stresses can now obtained from the above equation 
σ = 
Mv 
Iv 
u + 
Mu 
Iu 
v 
Mu= 10000 sin(60°-12°9′) x 2 
= 10000sin(47° 51′) 
= 14828 Nm and 
Mv = 10000cos(47° 51′) x 2 
= 13422 Nm 
And, for A, 
u = xcos ∝ + ysin ∝ 
u = (9 x 0.9776) + (120 x 0.2105) = 34.05 mm 
v = ycos ∝ - xsin ∝ 
v = (120 x 0.9776) - (9 x 0.2105) = 115.5 mm 
σ = 
14828 x 115.5 x 10−3 
50.43x10−6 + 
13422 x 34.05 x 10−3 
2.27x10−6 
= 235 MN/m2 as obtained before
3. The deflection at free end of a cantilever is given by 
δ = 
WL3 
3EI 
Therefore the component of deflection perpendicular to the V axis 
δv = 
WvL3 
3EIv 
= 
10000 cos(47°51′) x 23 
3 x 200 x 109 x 2.27 x 10−6 = 39.4 mm 
And component of deflection perpendicular to the U axis 
δu = 
WuL3 
3EIu 
= 
10000 sin(47°51′) x 23 
3 x 200 x 109 x 50.43 x 10−6 = 1.96 mm 
The total deflection is then given by 
δ = δu 2 
2 = 39.42 + 1.962 = 39.45 mm 
+ δv 
 Its direction is normal to the N.A.
UNSYMMETRICAL CANTILEVER UNIT [11] 
 To demonstrate unsymmetrical bending of 
beams 
 Determines deflections along u and v 
directions 
 Consist of 
1. Main column (cantilever specimen 
clamped at its bottom) 
2. Loading head at upper end – can rotate 
180° with 15° intervals about vertical 
axis 
3. Set of pulley, located at the loading head, 
to apply a horizontal load. 
4. 2 Dial gauges of 0-25 mm and 0.01 
mm accuracy, to measure and deflections. 
 Poligona industrial san jose de valderas, 
spain demonstrated this model. 
 Limitations 
-Dimensions: 400 x 300 x 400 mm approx. 
-Weight: 14 Kg. approx.
IMPORTANCE OF UNSYMMETRICAL BENDING 
 If the plane of bending or plane of loading does not lie in or parallel to the 
plane that contains the principal centroidal axes of cross-section, the 
bending is called as unsymmetrical bending. 
 Members that are not symmetrical about the vertical axes and which are 
typically composed of thin unsymmetrical sections (e.g. ISA, Channel) 
undergo phenomenon of twisting under the transverse loads. 
 A channel section carrying the transverse load would twist because the line 
of action of the load does not pass through shear centre of the member. 
 whereas rectangular beam would not twist because the loading would pass 
through the centre of gravity of the section and for such two axis 
symmetrical section the shear centre would coincide with the cg of the 
section. 
 If one is desired to use unsymmetrical sections to carry transverse loads 
without twisting, it is possible to do so by locating the load so that it passes 
through the shear centre of the beam.
CONCLUSION 
 The axis of about which the product moment of inertia is zero is called as 
principal axis. Hence we can conclude by saying that the simple bending 
theory is applicable for bending about principal axes only. 
 It should be noted that moment of inertia of a section about its principal axes 
have maximum and minimum values respectively. 
 The resultant deflection for simply supported beam subjected unsymmetrical 
bending is 
δ = 
5 
384 
l4 
E 
w cos(β−∝) 
Inn 
The resultant deflection for cantilever beam is 
δ = 
L3 
3E 
w cos(β−∝) 
Inn 
Taking Inn = Iuu cos2 β + Ivv sin2 β 
 In order to overcome the effect of twisting when the beam subjected to 
unsymmetrical loading, the study of unsymmetrical bending is useful.
REFERENCES 
1. Arthur P. Boresi, Richard J.Schindt, “Advanced Mechanics of materials”, Sixth edition 
JohnWiley &Sons. Inc., New Delhi, 2005 
2. Thimoshenko & J N Goodier, “Mechanics Of Solids”, Tata McGraw-Hill publishing 
Co.Ltd, New Delhi, 1997 
3. Seely Fred B. and Smith James O., “ Advanced Mechanics of Materials”, 2nd edition, 
JohnWiley & Sons Inc, New York, 1952 
4. Srinath L.S., “Advanced Mechanics of Solids”, Tata McGraw-Hill publishing Co.Ltd, 
New Delhi, 1980 
5. Thimoshenko S., “Strength of Materials”, Part-1, Elementary Theory and Problems, 3rd 
Edition, D. Van Nostrand company Inc., New York, 1955 
6. Boresi A.P and Chong K.P(2000), “Elasticity In Engineering Mechanics” 2nd edition 
New York ;Wiley – Interscience. 
7. N Krishna Raju & D R Gururaja, “Advance Mechanics Of Solids & Structures”, 1997 
8. B C Punmia & A K Jain. “Strength of Materials and Theory of Structures”, Vol.2 
Lakshmi publications (P) Ltd.2002 
9. Jiang Furu, “Unsymmetrical Bending Of Cantilever Beams”, Appl. Math. & Mech. 
(English Ed.), 1982 
10. G. D. Williams, D. R. Bohnhoff, R. C. Moody, “Bending Properties of Four-Layer Nail- 
Laminated Posts”, United States Department of Agriculture, Forest Service (Forest 
Products Laboratory), Research Paper FPL–RP–528, 1994 
11. Poligona industrial san jose de valderas, spain, “Unsymmetrical Cantilever Unit”, 
ED01/12, 2012

Unsymmetrical bending.ppt

  • 1.
    UNSYMMETRICAL BENDING OF BEAMS Under the guidance of Dr. M. V. RENUKA DEVI Associate Professor Department of Civil Engineering, RVCE, Bangalore By VENKATESHA A (1RV13CSE15)
  • 2.
    PURE BENDING Bending is a very severe form of stressing a structure  The simple bending theory applies when bending takes place about an axis which is perpendicular to a plane of symmetry.  Bending moments acts along the axis of the member. Assumptions made in pure bending 1. The normal planes remain normal even after bending. 2. There is no net internal axial force. 3. Stress varies linearly over cross section. 4. Zero stress exists at the centroid and the line of centroid is the Neutral Axis (N.A)
  • 3.
    •Bending stress andstrain at any point may be computed as
  • 4.
     Symmetrical bending: The plane of loading or the plane of bending is co-incident with or parallel to, a plane containing principal centroidal axes of inertia of the cross-section of the beam.  Bending stress is given by σz = Mx Ix y + My Iy x  Bending stress along N.A is σz= 0
  • 5.
    UNSYMMETRICAL BENDING Assumptions 1. The plane sections of the beam remain plane after bending 2. The material of the beam is homogeneous and linearly elastic. 3. There is no net internal axial force. Sign conventions and notation  u, v and w are the displacement components of any point within beam parallel to x, y, z axes.  P = axial load and T = torque  푤푥 (z) and 푤푦 (z)are distributed loads 푀푥and 푀푦are applied bending moments
  • 6.
    Fig. Representation ofpositive internal and external force systems •We assume 푀푥and 푀푦 as positive when they each induce tensile stresses in the positive xy quadrant of the beam section.
  • 7.
    PRODUCT SECOND MOMENTOF AREA  The second moments of area of the surface about the X and Y axes are defined as Ixx = x2dA and Iyy = x2dA  Similarly, the product second moment of area of the section is defined as follows Ixy = xy dA
  • 8.
     Since thecross-section of most structural members used in bending applications consists of a combination of rectangles the value of the product second moment of area for such sections is determined by the addition of the Ixx value for each rectangle. Ixx = Ahk  Where h and k are the distances of the centroid of each rectangle from the X and Y axes respectively (taking account of the normal sign convention for x and y) and A is the area of the rectangle.
  • 9.
    DETERMINATION OF PRINCIPALAXIS OF SECTION Let,  U-U, V-V be the Principal Centroidal Axes,  X-X, Y-Y be the pair of orthogonal axes,  α be the angle between both the axes system,  휕푎 Be the elementary area with co-ordinates (u, v) referred to the principal axes i.e., U-V axes and (x, y) referred to the X-Y axes, Since, U-V axes are principal axes the product of inertia = 0
  • 10.
    Iuv = uv휕A = 0 By definition Ixx = y2. 휕A ; Iyy = x2. 휕A ; Ixy = xy. 휕A ; Iuu = v2. 휕A ; Ivv = u2. 휕A ; Iuv = uv. 휕A ;  The relationship between (x, y) and (u, v) co-ordinates are given by u = AB+DP = 푥 cos ∝ + 푦 sin ∝ v = GP-HG =GP-EF = 푦 cos ∝ − 푥 sin ∝  Now substituting for u and v in the above equations we get, Iuu = {y cos ∝ − x sin ∝}2. 휕A Iuu = cos2 ∝ y2. 휕A + sin2 ∝ x2. 휕A - 2 sin ∝ cos ∝ xy. 휕A Iuu = cos2 ∝ Ixx + sin2 ∝ Iyy - sin 2 ∝ Ixy
  • 11.
    Similarly, Ivv =cos2 ∝ Iyy + sin2 ∝ Ixx + sin 2 ∝ Ixy Iuv = cos2 ∝ Ixy - sin2 ∝ Ixy - sin 2 ∝ (Ixx - Iyy) we have Iuv = 0, therefore we can write tan 2 ∝ = 2 Ixy Ixx− Iyy cos2 ∝ = (1+cos 2∝) 2 and sin2 ∝ = (1−cos 2∝) 2 Iuu = Ixx+ Iyy 2 + Ixx− Iyy 2 cos 2 ∝ - Ixy sin 2 ∝ Ivv = Ixx+ Iyy 2 - Ixx− Iyy 2 cos 2 ∝ + Ixy sin 2 ∝
  • 12.
    we can writefor sin 2 ∝ and cos 2 ∝ as follows sin 2 ∝ = −Ixy ( Ixx− Iyy 2 )2+Ixy 2 cos 2 ∝ = Ixx−Ixy ( Ixx− Iyy 2 )2+Ixy 2 Substituting the values of sin 2 ∝ and cos 2 ∝ Iuu = Ixx+ Iyy 2 + ( Ixx− Iyy 2 )2+Ixy 2 Ivv = Ixx+ Iyy 2 - ( Ixx− Iyy 2 )2+Ixy 2 Thus knowing the values of Ixx, Iyy and Ixy , the principal moments of inertia Iuuand Ivv can be calculated from the above analytical expression. Note: moment of inertia of a section about its principal axes have maximum and minimum values.
  • 13.
    DIRECT STRESS DISTRIBUTION Fig. bending of an unsymmetrical beam section  We know that a beam bends about the neutral axis of its cross section so that the radius of curvature, R, of the beam is perpendicular to the neutral axis. σZ = E p R
  • 14.
     The beamsection is subjected to a pure bending moment so that the resultant direct load on the section is zero. Hence 퐴 휎푧 푑퐴 = 0 퐴 퐸 푃 푅 푑퐴 = 0  For a beam of a given material subjected to a given bending moment A P dA = 0  Above equation states that the first moment of area of the beam section about the neutral axis is zero. It follows pure bending of beams in which the neutral axis always passes through the centroid of the beam section. p = x sin ∝ + y cos ∝ σz = E R (x sin ∝ + y cos ∝)  The moment resultants of the direct stress distribution are Mx = A σz y dA , My = A σz x dA
  • 15.
     Substituting forσz Mx = E sin∝ R A xy dA + E cos∝ R A y2dA My = E sin∝ R A x2 dA + E cos∝ R A xy dA Mx = E sin∝ R Ixy + E cos∝ R Ix ; My = E sin∝ R Iy + E cos∝ R Ixy  Bending stress is written as σz = Mx Ix y + My Iy x Where, Mx = My −Mx Ixy/Iy 1− (Ixy)2/Ix Iy ; My = My −Mx Ixy/Ix 1− (Ixy)2/Ix Iy In the case where the beam section has either Ox or Oy (or both) as an axis of symmetry, then Ixy is zero and Ox, Oy are principal axes, Mx = Mx , My = My σz = Mx Ix y + My Iy x
  • 16.
     Position ofthe neutral axis The direct stress at all points on the neutral axis of the beam section is zero. Thus, O = M x Ix yN.A + M y Iy xN.A WherexN.A and yN.A are the coordinates of any point on the neutral axis. Thus yN.A xN.A = − My Ix Mx Iy tan ∝ = M y Ix M x Iy Since ∝ is positive when yN.Ais negative and xN.A is positive
  • 17.
    DEFLECTION OF BEAMUNDER UNSYMMETRICAL BENDING Let the bending moment “M” inclined at an angle “θ” with one of principal planes (Say VV-axis) Along UU-axis M component will be Mvv= M cos θ Along VV-axis M component will be Muu= M sin θ
  • 18.
     From theapplication of principal of virtual work (unit load method) the deflection (δ) of the beam in any direction, due to a bending moment M is given by l M m δ = 0 EI dx Where, M = moment due to applied moment (say M) m = moment due to unit load applied at the point in the direction of the desired deflections, dx = elementary length of beam, measured along the span of the beam Hence the deflection of the beam in the direction of VV- axis is given by l M cos θ δv = 0 E Iuu mv dx Hence the deflection of the beam in direction of UU-axis is given by l M sin θ δu = 0 E Ivv mu dx The resultant deflection δ is given by δ = δu 2 2 + δv
  • 19.
     Since mv,muare the moments developed due to unit load applied, it can be taken both equal to m i.e. ( mv= mu= m)  If β is the inclination of neutral axis (NN-axis) with respect to UU-axis we can write as tan β = Iuu Ivv tan θ Let γ be the inclination of resultant deflection in the direction N!N!-axis makes with UU-axis tan γ = - δu δv tan γ = - lM sin θ 0 E Ivv mu dx lM cos θ 0 E Iuu mv dx tan γ = - Iuu Ivv tan θ tan γ = - tan β = tan(90 + β) Therefore we can write as γ = 90 + β
  • 20.
    Hence the resultantdeflection occurs in the direction exactly perpendicular to the neutral axis (N!N!- axis perpendicular to NN-axis) Let us consider the case of simply supported beam (SSB) subjected to UDL, then, δv = 5 384 w cos θ l4 E Iuu ; δu = 5 384 w sin θ l4 E Ivv δ = δu 2 2 + δv δ = 5 384 wl4 cos θ sec β EIuu Multiplying and dividing by cos(β − θ) δ = 5 384 l4 E w cos(β−θ) Inn  Thus from the above expression for a simply supported beam (SSB) we can conclude that the term w cos(β−θ) is the resultant udl acting along N!N!- axis which is perpendicular to neutral axis.
  • 21.
    PROBLEMS ON UNSYMMETRICALBENDING  A Cantilever Problem 1.A horizontal cantilever 2 m long is constructed from the Z-section shown below. A load of 10 KN is applied to the end of the cantilever at an angle of 60°to the horizontal as shown. Assuming that no twisting moment is applied to the section, determine the stresses at pointsA and B. (Ixx = 48.3 x 10−6m4, Iyy = 4.4 x 10−6m4) 2.Determine the principal second moments of area of the section and hence, by applying the simple bending theory about each principal axis, check the answers obtained in part1. 3. What will be the deflection of the end of the cantilever? E = 200 GPa.
  • 22.
    In the givensection Ixy for the web is zero since its centroid lies on both axes and hence h and k are both zero. The contributions to Ixy of the other two portions will be negative since in both cases either h or k is negative. Therefore, Ixy = -2(80 x 18) (40 - 9) (120 - 9) 10−12 = -9.91 x 10−6m4 Mx = +10000 sin60° x 2 = +17320 Nm My= -10000 cos60° x 2 = -10000 Nm But we have, σz = Mx Ix y + My Iy x Let M y Iy = P, M x Ix = Q Mx = P Ixy + Q Ix ; My = -P Iy - Q Ixy 17320 = P (-9.91) x10−6 + Q 48.3x10−6 -10000 = P (-4.4x10−6) + Q 9.91x10−6 Solving the above two equations for P and Q, P = 5725x106; Q = 1533x106
  • 23.
    The inclination ofthe N.A relative to the X axis is then given by M y Ix M x Iy = - tan ∝ = P Q = - 5725 x 106 1533 x 106 = - 3.735 ∝ = −75°1′ Now σz = M x Ix y + M y Iy x = P x + Q y Stress at A = 5725x106x 9x10−3+ 1533x106x 120x10−3 = 235 N/mm2 Similarly stress at B = 235 MN/mm2 The points A and B are on both side of neutral axis and equidistant from it. Stresses at A and B are therefore of equal magnitude but with opposite sign.
  • 24.
    2. The principalsecond moments of area may be found from the following equations Iuu = Ixx+ Iyy 2 Ixx− Iyy + ( 2 )2+Ixy 2 = 48.3x10−6+4.4x10−6 2 48.3x10−6− 4.4x10−6 + ( 2 )2+(−9.91 x 10−6)2 = 50.43x10−6 Ivv = Ixx+ Iyy 2 Ixx− Iyy - ( 2 )2+Ixy 2 = 48.3x10−6+4.4x10−6 2 48.3x10−6− 4.4x10−6 - ( 2 )2+(−9.91 x 10−6)2 = 2.27x10−6 tan 2 ∝ = 2 Ixy Iyy− Ixx = −2 x 9.91 x 10−6 (4.4− 48.3)x 10−6 = 0.451 2 ∝ = 24°18′ , ∝ = 12°9′
  • 25.
    The required stressescan now obtained from the above equation σ = Mv Iv u + Mu Iu v Mu= 10000 sin(60°-12°9′) x 2 = 10000sin(47° 51′) = 14828 Nm and Mv = 10000cos(47° 51′) x 2 = 13422 Nm And, for A, u = xcos ∝ + ysin ∝ u = (9 x 0.9776) + (120 x 0.2105) = 34.05 mm v = ycos ∝ - xsin ∝ v = (120 x 0.9776) - (9 x 0.2105) = 115.5 mm σ = 14828 x 115.5 x 10−3 50.43x10−6 + 13422 x 34.05 x 10−3 2.27x10−6 = 235 MN/m2 as obtained before
  • 26.
    3. The deflectionat free end of a cantilever is given by δ = WL3 3EI Therefore the component of deflection perpendicular to the V axis δv = WvL3 3EIv = 10000 cos(47°51′) x 23 3 x 200 x 109 x 2.27 x 10−6 = 39.4 mm And component of deflection perpendicular to the U axis δu = WuL3 3EIu = 10000 sin(47°51′) x 23 3 x 200 x 109 x 50.43 x 10−6 = 1.96 mm The total deflection is then given by δ = δu 2 2 = 39.42 + 1.962 = 39.45 mm + δv  Its direction is normal to the N.A.
  • 27.
    UNSYMMETRICAL CANTILEVER UNIT[11]  To demonstrate unsymmetrical bending of beams  Determines deflections along u and v directions  Consist of 1. Main column (cantilever specimen clamped at its bottom) 2. Loading head at upper end – can rotate 180° with 15° intervals about vertical axis 3. Set of pulley, located at the loading head, to apply a horizontal load. 4. 2 Dial gauges of 0-25 mm and 0.01 mm accuracy, to measure and deflections.  Poligona industrial san jose de valderas, spain demonstrated this model.  Limitations -Dimensions: 400 x 300 x 400 mm approx. -Weight: 14 Kg. approx.
  • 28.
    IMPORTANCE OF UNSYMMETRICALBENDING  If the plane of bending or plane of loading does not lie in or parallel to the plane that contains the principal centroidal axes of cross-section, the bending is called as unsymmetrical bending.  Members that are not symmetrical about the vertical axes and which are typically composed of thin unsymmetrical sections (e.g. ISA, Channel) undergo phenomenon of twisting under the transverse loads.  A channel section carrying the transverse load would twist because the line of action of the load does not pass through shear centre of the member.  whereas rectangular beam would not twist because the loading would pass through the centre of gravity of the section and for such two axis symmetrical section the shear centre would coincide with the cg of the section.  If one is desired to use unsymmetrical sections to carry transverse loads without twisting, it is possible to do so by locating the load so that it passes through the shear centre of the beam.
  • 29.
    CONCLUSION  Theaxis of about which the product moment of inertia is zero is called as principal axis. Hence we can conclude by saying that the simple bending theory is applicable for bending about principal axes only.  It should be noted that moment of inertia of a section about its principal axes have maximum and minimum values respectively.  The resultant deflection for simply supported beam subjected unsymmetrical bending is δ = 5 384 l4 E w cos(β−∝) Inn The resultant deflection for cantilever beam is δ = L3 3E w cos(β−∝) Inn Taking Inn = Iuu cos2 β + Ivv sin2 β  In order to overcome the effect of twisting when the beam subjected to unsymmetrical loading, the study of unsymmetrical bending is useful.
  • 30.
    REFERENCES 1. ArthurP. Boresi, Richard J.Schindt, “Advanced Mechanics of materials”, Sixth edition JohnWiley &Sons. Inc., New Delhi, 2005 2. Thimoshenko & J N Goodier, “Mechanics Of Solids”, Tata McGraw-Hill publishing Co.Ltd, New Delhi, 1997 3. Seely Fred B. and Smith James O., “ Advanced Mechanics of Materials”, 2nd edition, JohnWiley & Sons Inc, New York, 1952 4. Srinath L.S., “Advanced Mechanics of Solids”, Tata McGraw-Hill publishing Co.Ltd, New Delhi, 1980 5. Thimoshenko S., “Strength of Materials”, Part-1, Elementary Theory and Problems, 3rd Edition, D. Van Nostrand company Inc., New York, 1955 6. Boresi A.P and Chong K.P(2000), “Elasticity In Engineering Mechanics” 2nd edition New York ;Wiley – Interscience. 7. N Krishna Raju & D R Gururaja, “Advance Mechanics Of Solids & Structures”, 1997 8. B C Punmia & A K Jain. “Strength of Materials and Theory of Structures”, Vol.2 Lakshmi publications (P) Ltd.2002 9. Jiang Furu, “Unsymmetrical Bending Of Cantilever Beams”, Appl. Math. & Mech. (English Ed.), 1982 10. G. D. Williams, D. R. Bohnhoff, R. C. Moody, “Bending Properties of Four-Layer Nail- Laminated Posts”, United States Department of Agriculture, Forest Service (Forest Products Laboratory), Research Paper FPL–RP–528, 1994 11. Poligona industrial san jose de valderas, spain, “Unsymmetrical Cantilever Unit”, ED01/12, 2012