MA 3151 - Matrices and Calculus
UNIT I
MATRICES
CAYLEY HAMILTON THEOREM
Every square matrix satisfies its own characteristic
equation
William Rowan Hamilton
Arthur Cayley
Application of Cayley Hamilton
Theorem
i) To find the inverse of a matrix A
ii)To find higher power of a matrix A
Verify Cayley Hamilton theorem for 𝐴 =
1 2 −2
−1 3 0
0 −2 1
and hence find 𝐴−1.
Solution:
The characteristic equation is 𝜆3
− 𝑆1𝜆2
+ 𝑆2𝜆 − 𝑆3 = 0.
𝑺𝟏 = Trace of A= 𝟓
𝑆2 = Sum of minors of leading diagonal elements
=
3 0
−2 1
+
1 −2
0 1
+
1 2
−1 3
= 3 + 1 + 5 = 9
𝑆3 =
1 2 −2
−1 3 0
0 −2 1
= 1
The characteristic equation is 𝜆3 − 5𝜆2 + 9𝜆 − 1 = 0.
Solving Non Linear Equations
To verify Cayley Hamilton theorem:
To prove 𝐴3 − 5𝐴2 + 9𝐴 − 𝐼 = 0.
𝐴2
=
−1 12 −4
−4 7 2
2 −8 1
𝐴3
=
−13 42 −2
−11 9 10
10 −22 −3
𝐴3
− 5𝐴2
+ 9𝐴 − 𝐼 =
−13 42 −2
−11 9 10
10 −22 −3
− 5
−1 12 −4
−4 7 2
2 −8 1
+ 9
1 2 −2
−1 3 0
0 −2 1
−
1 0 0
0 1 0
0 0 1
=
0 0 0
0 0 0
0 0 0
To find 𝑨−𝟏
:
𝐴−1
= 𝐴2
− 5𝐴 + 9𝐼
=
−1 12 −4
−4 7 2
2 −8 1
− 5
1 2 −2
−1 3 0
0 −2 1
+ 9
1 0 0
0 1 0
0 0 1
𝐴−1 =
3 2 6
1 1 2
2 2 5
Example:2
Reduce the quadratic form 2𝑥1
2
+ 6𝑥2
2
+ 2𝑥3
2
+ 8𝑥1𝑥3 to a canonical form by
orthogonal transformation. Also find its rank, signature, index and signature.
Solution:
The matrix of the given quadratic form is
𝐴 =
2 0 4
0 6 0
4 0 2
The characteristic equation is 𝜆3
− 𝑆1𝜆2
+ 𝑆2𝜆 − 𝑆3 = 0.
𝑆1 = 10, 𝑆2 = 12, 𝑆3 = −72.
The characteristic equation is 𝜆3
− 10𝜆2
+ 12𝜆 + 72 = 0.
Eigen values are 𝜆 = −2,6,6.
To find Eigen vectors:
Eigen vector corresponding to 𝜆 = −2 is 𝑋1 =
−1
0
1
Eigen vector corresponding to 𝜆 = 6 is 𝑋2 =
0
1
0
Eigen vector corresponding to 𝜆 = 6 is 𝑋3 =
1
0
1
Normalized Matrix N=
−
1
2
0
1
2
0 1 0
1
2
0
1
2
; NT =
−
1
2
0
1
2
0 1 0
1
2
0
1
2
Clearly N is orthogonal.
𝑁𝑇𝐴𝑁 = 𝐷 =
−2 0 0
0 6 0
0 0 6
To reduce to canonical form:
Let 𝑋 = 𝑁𝑌 be an orthogonal transformation where 𝑌 =
𝑦1
𝑦2
𝑦3
This will make the Quadratic form to Canonical form
−2𝑦1
2
+ 6𝑦2
2
+ 6𝑦3
2
.
Rank 𝑟 = 3.
Index= Number of Positive eigen values 𝑝 = 2.
Signature = 2𝑝 − 𝑟 = 1.
Since the eigen values are both positive and negative.
Nature = Indefinite
UNIT-II
DIFFERENTIAL CALCULUS
Maxima and Minima
Photography memory
𝑓 𝑥 = 2𝑥3
+ 5𝑥2
− 4𝑥
Can you find the maxima and minima with in 2 minutes?
Can you find the intervals on which increasing/decreasing?
Can you find the intervals of concavity?
Find the maximum and minimum values of 2𝑥3 + 5𝑥2 − 4𝑥.
Solution:
Given: 𝑓 𝑥 = 2𝑥3
+ 5𝑥2
− 4𝑥
𝑓′
𝑥 = 6𝑥2
+ 10𝑥 − 4
To find critical point:
𝑓′
𝑥 = 0
6𝑥2
+ 10𝑥 − 4 = 0
3𝑥2
+ 5𝑥 − 2 = 0
⇒ 𝑥 = −2,
1
3
are critical points.
To find local maxima and minima:
𝑓 −2 = 2 −2 3
+ 5 −2 2
− 4 −2 = −16 + 20 + 8 = 12
𝑓
1
3
= 2
1
3
3
+ 5
1
3
2
− 4
1
3
=
2
27
+
5
9
−
4
3
=
2 + 15 − 36
27
= −
19
27
⇒ 𝒇 𝒙 has maximum value 𝟏𝟐 at 𝒙 = −𝟐.
⇒ 𝒇 𝒙 has minimum value −
𝟏𝟗
𝟐𝟕
at 𝒙 =
𝟏
𝟑
.
Continuous functions
For what values of constant 𝒂 and 𝒃 is
𝒇 𝒙 =
−𝟐
𝒂𝒙 − 𝒃
𝟑
𝒙 ≤ −𝟏
−𝟏 < 𝒙 < 𝟏
𝒙 ≥ 𝟏
is continuous at every 𝒙? .
Solution:
Since 𝑓(𝑥) is continuous at 𝑥 = −1.
⇒ 𝑎 + 𝑏 = 2…(1)
Since 𝑓(𝑥) is continuous at 𝑥 = 1.
⇒ 𝑎 − 𝑏 = 3
⇒ 𝑎 =
5
2
; 𝑏 = −
1
2
Solving Linear equations
Differentiation rules (sum, product, quotient, chain
rules) - Implicit differentiation - Logarithmic
differentiation
Other topics
UNIT III
FUNCTIONS OF SEVERAL
VARIABLES
Euler’s theorem on Homogeneous function
If 𝑢 is a homogeneous function of degree 𝑛 in 𝑥 and 𝑦, then 𝑥
𝜕𝑢
𝜕𝑥
+ 𝑦
𝜕𝑢
𝜕𝑦
= 𝑛𝑢.
1. If 𝑢 = sin−1 𝑥3−𝑦3
𝑥+𝑦
prove that 𝑥
𝜕𝑢
𝜕𝑥
+ 𝑦
𝜕𝑢
𝜕𝑦
= 2 tan 𝑢
2. If 𝑢 = log
𝑥4+𝑦4
𝑥+𝑦
, show that 𝑥
𝜕𝑢
𝜕𝑥
+ 𝑦
𝜕𝑢
𝜕𝑦
= 3.
Total derivatives
1. If 𝑔 𝑥, 𝑦 = 𝛹(𝑢, 𝑣) where 𝑢 = 𝑥2
− 𝑦2
and 𝑣 = 2𝑥𝑦, Prove that
𝜕2𝑔
𝜕𝑥2 +
𝜕2𝑔
𝜕𝑦2 = 4 𝑥2 + 𝑦2 [
𝜕2𝛹
𝜕𝑢2 +
𝜕2𝛹
𝜕𝑣2 ].
2. Given the transformations 𝑢 = 𝑒𝑥
cos 𝑦 and 𝑣 = 𝑒𝑥
sin 𝑦 and that ∅ is a
function of 𝑢 and 𝑣 and also of 𝑥 and 𝑦, prove that
𝜕2∅
𝜕𝑥2 +
𝜕2∅
𝜕𝑦2 = 𝑢2 + 𝑣2 [
𝜕2∅
𝜕𝑢2 +
𝜕2∅
𝜕𝑣2].
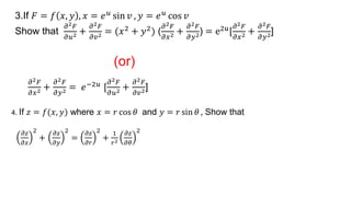
3.If 𝐹 = 𝑓 𝑥, 𝑦 , 𝑥 = 𝑒𝑢 sin 𝑣 , 𝑦 = 𝑒𝑢 cos 𝑣
Show that
𝜕2𝐹
𝜕𝑢2 +
𝜕2𝐹
𝜕𝑣2 = (𝑥2 + 𝑦2) (
𝜕2𝐹
𝜕𝑥2 +
𝜕2𝐹
𝜕𝑦2) = e2u[
𝜕2𝐹
𝜕𝑥2 +
𝜕2𝐹
𝜕𝑦2]
(or)
𝜕2𝐹
𝜕𝑥2 +
𝜕2𝐹
𝜕𝑦2 = 𝑒−2𝑢 [
𝜕2𝐹
𝜕𝑢2 +
𝜕2𝐹
𝜕𝑣2]
4. If 𝑧 = 𝑓(𝑥, 𝑦) where 𝑥 = 𝑟 cos 𝜃 and 𝑦 = 𝑟 sin 𝜃 , Show that
𝜕𝑧
𝜕𝑥
2
+
𝜕𝑧
𝜕𝑦
2
=
𝜕𝑧
𝜕𝑟
2
+
1
𝑟2
𝜕𝑧
𝜕𝜃
2
Jacobian Matrix
If 𝑢 =
𝑦2
2𝑥
, 𝑣 =
𝑥2+𝑦2
2𝑥
, find
𝜕 𝑢,𝑣
𝜕 𝑥,𝑦
.
Solution:
𝑢 =
𝑦2
2𝑥
𝑣 =
𝑥2+𝑦2
2𝑥
𝜕𝑢
𝜕𝑥
= −
𝑦2
2𝑥2
𝜕𝑣
𝜕𝑥
=
𝑥2−𝑦2
2𝑥2
𝜕𝑢
𝜕𝑦
=
𝑦
𝑥
𝜕𝑣
𝜕𝑦
=
𝑦
𝑥
𝜕 𝑢,𝑣
𝜕 𝑥,𝑦
=
𝜕𝑢
𝜕𝑥
𝜕𝑢
𝜕𝑦
𝜕𝑣
𝜕𝑥
𝜕𝑣
𝜕𝑦
=
−
𝑦2
2𝑥2
𝑦
𝑥
𝑥2−𝑦2
2𝑥2
𝑦
𝑥
= −
𝑦
2𝑥
Example 1
Example 2
If 𝑢 =
𝑦𝑧
𝑥
, 𝑣 =
𝑧𝑥
𝑦
, 𝑤 =
𝑥𝑦
𝑧
, show that
𝜕(𝑢,𝑣,𝑤)
𝜕(𝑥,𝑦,𝑧)
= 4.
Taylor’s series
𝑓 𝑥, 𝑦
= 𝑓 𝑎, 𝑏 +
1
1!
ℎ + 𝑘𝑓𝑦 𝑎, 𝑏 +
1
1!
ℎ𝑓𝑥 𝑎, 𝑏 + 𝑘𝑓𝑦 𝑎, 𝑏
+
1
2!
ℎ2
𝑓𝑥𝑥 𝑎, 𝑏 + 2ℎ𝑘𝑓𝑥𝑦 𝑎, 𝑏 + 𝑘2
𝑓𝑦𝑦 𝑎, 𝑏
+
1
3!
ℎ3
𝑓𝑥𝑥𝑥 𝑎, 𝑏 + 3ℎ2
𝑘𝑓𝑥𝑥𝑦 𝑎, 𝑏 𝑓𝑥 𝑎, 𝑏 + 3ℎ𝑘2
𝑓𝑥𝑦𝑦 𝑎, 𝑏 + 𝑘3
𝑓𝑦𝑦𝑦 𝑎, 𝑏
Use Taylor’s series formula to expand the function defined by
𝑓 𝑥, 𝑦 = 𝑥3 + 𝑦3 + 𝑥𝑦2 in powers of 𝑥 − 1 and 𝑦 − 2 .
Example
Lagrange Multipliers
Suppose, we require to find the maximum and minimum values of 𝑓(𝑥, 𝑦, 𝑧) where
𝑥, 𝑦, 𝑧 are subject to the constraint equation
𝑔 𝑥, 𝑦, 𝑧 = 0.
We define a function
𝐹 𝑥, 𝑦, 𝑧 = 𝑓 𝑥, 𝑦, 𝑧 + 𝜆 𝑔 𝑥, 𝑦, 𝑧 …(1)
Where 𝜆 is called Lagrange Multiplier
The necessary condition for a maximum or minimum are
𝜕𝐹
𝜕𝑥
= 0 … 2
𝜕𝐹
𝜕𝑦
= 0 … (3) and
𝜕𝐹
𝜕𝑧
= 0 … (4)
Example:
2. Find the dimension of a rectangular box, without top of maximum capacity and
surface area 432 square meters.
3. Find the volume of the greatest rectangular parallelopiped
inscribed in the ellipsoid whose equation is
𝑥2
𝑎2 +
𝑦2
𝑏2 +
𝑧2
𝑐2 = 1 .
4. Find the shortest and the longest distances from the point (1,2, −1) to
the sphere 𝑥2
+ 𝑦2
+ 𝑧2
= 24, using method of Lagrange multipliers.
1. A rectangular box open at the top, is to have a volume of 32𝑐𝑐. Find the
dimensions of the box, that requires the least material for its construction.
UNIT IV
Integral Calculus
1. Substitution rule
2. Integration by parts
3. Integration of rational functions
4. Improper integrals
Important topics
UNIT V
Multiple integrals
Double Integral
Change of cartesian co-ordinates to polar co
ordinates
1. By changing to polar co ordinates, find the value of the integral 0
2𝑎
0
2𝑎𝑥−𝑥2
𝑥2
+ 𝑦2
𝑑𝑦𝑑𝑥.
Solution:
Given: I= 𝑥=0
𝑥=2𝑎
𝑦=0
𝑦= 2𝑎𝑥−𝑥2
𝑥2
+ 𝑦2
𝑑𝑦𝑑𝑥
𝑥 varies from 𝑥 = 0 to 𝑥 = 2𝑎.
𝑦 varies from 𝑦 = 0 to 𝑦 = 2𝑎𝑥 − 𝑥2
⇒ 𝑦2 = 2𝑎𝑥 − 𝑥2
𝑥2 + 𝑦2 − 2𝑎𝑥 = 0
𝑥2
− 2𝑎𝑥 + 𝑎2
− 𝑎2
+ 𝑦2
= 0
⇒ 𝑥 − 𝑎 2 + 𝑦2 = 𝑎2
𝑥 − 𝑎 2
+ 𝑦2
= 𝑎2
𝑦 = 0
𝑥 = 2𝑎
𝑦 = 2𝑎𝑥 − 𝑥2
𝑥 = 0
𝜃 = 0
𝜃 =
𝜋
2
𝑟 = 0
𝑟 = 2𝑎 cos 𝜃
∴ I = 0
𝜋
2
𝑟=0
𝑟=2𝑎 cos 𝜃
𝑟2 (𝑟 𝑑𝑟𝑑𝜃)
=
0
𝜋
2
𝑟=0
𝑟=2𝑎 cos 𝜃
𝑟3 𝑑𝑟𝑑𝜃
=
0
𝜋
2 𝑟4
4 0
2 acos 𝜃
𝑑𝜃
=
1
4 0
𝜋
2
(2 𝑎 cos 𝜃)4
𝑑𝜃
= 4 a4
0
𝜋
2(cos 𝜃)4
𝑑𝜃
= 4 a4
0
𝜋
2(cos4 𝜃) 𝑑𝜃
= 4 a4 3
4
.
1
2
.
𝜋
2
=
3𝜋
4
𝑎4
Solution
𝑦 = 𝑥 𝑥 = 𝑎
𝑦 = 0
𝑦 = 𝑎
2. Evaluate 0
𝑎
𝑦
𝑎 𝑥2
𝑥2+𝑦2
dx dy by changing into polar co-ordinates
r=0
Change of order
of integration
Important to note
1.When you draw vertical line or Horizontal line both the ends have same curve
2.Suppose if you have different curves,split the region at intersection points.
Example:1
Change of the order of 𝐼 = 0
𝑎
𝑦
𝑎 𝑥
𝑥2+𝑦2 𝑑𝑥 𝑑𝑦 and then evaluate it.
Solution
Given: 𝐼 = 𝑦=0
𝑦=𝑎
𝑥=𝑦
𝑥=𝑎 𝑥
𝑥2+𝑦2 𝑑𝑥 𝑑𝑦
𝑥 varies from 𝑥 = 𝑦 to 𝑥 = 𝑎.
𝑦 varies from 𝑦 = 0 to 𝑦 = 𝑎
𝑦 = 𝑥
𝑦 = 0
𝑥 = 0
𝑥 = 𝑎
𝑦 = 𝑎
𝑦 = 𝑥
𝑦 = 0
𝑥 = 0
𝑥 = 𝑎
𝑦 = 𝑎
𝑥 varies from 𝑥 = 0 to 𝑥 = 𝑎.
𝑦 varies from 𝑦 = 0 to 𝑦 = 𝑥
Change of order of integration
𝐼 = 0
𝑎
𝑦
𝑎 𝑥
𝑥2+𝑦2 𝑑𝑥 𝑑𝑦 = 𝑥=0
𝑥=𝑎
𝑦=0
𝑦=𝑥 𝑥
𝑥2+𝑦2 𝑑𝑦 𝑑𝑥
=
𝑥=0
𝑥=𝑎
𝑥
1
𝑥
tan−1
𝑦
𝑥 𝑦=0
𝑦=𝑥
𝑑𝑥
=
0
𝑎
[tan−1
1 − tan−1
0] 𝑑𝑥
= 0
𝑎
[
𝜋
4
− 0] 𝑑𝑥 =
𝜋
4
.
Area using double integral
1. Using double integral, find the area bounded by 𝑦 = 𝑥 and 𝑦 = 𝑥2
2. Find the smaller of the area bounded by 𝑦 = 2 − 𝑥 and 𝑥2 + 𝑦2 = 4.
3. Find the area of the ellipse
𝑥2
𝑎2 +
𝑦2
𝑏2 = 1.
4. Find the area between the parabolas 𝑦2
= 4𝑎𝑥 and 𝑥2
= 4𝑎𝑦
5. Find the area enclosed by the curves 𝑦 = 𝑥2
and 𝑥 + 𝑦 = 2.
VOLUME INTEGRAL
1. Find the volume of the sphere 𝑥2 + 𝑦2 + 𝑧2 = 𝑎2 without transformation
(0r)
Evaluate the volume of the positive octant of the sphere of radius a
4
2. Find the volume of the ellipsoid
𝑥2
𝑎2 +
𝑦2
𝑏2 +
𝑧2
𝑐2 = 𝑎2
without transformation
3. Calculate the volume of the solid bounded by the surface 𝑥 = 0, 𝑦 = 0, 𝑧 = 0 and 𝑥 + 𝑦 + 𝑧 = 1.
4. Evaluate
𝑑𝑥 𝑑𝑦 𝑑𝑧
𝑎2−𝑥2−𝑦2−𝑧2
over the first octant of the sphere 𝑥2
+ 𝑦2
+ 𝑧2
= 𝑎2
.
https://youtu.be/co1aWiCAHtw?si=qK3cEZPvf-_HoT47
Erode Mahesh Motivational Speech
MATRICES AND CALCULUS.pptx
MATRICES AND CALCULUS.pptx

MATRICES AND CALCULUS.pptx

  • 2.
    MA 3151 -Matrices and Calculus
  • 3.
  • 4.
    CAYLEY HAMILTON THEOREM Everysquare matrix satisfies its own characteristic equation William Rowan Hamilton Arthur Cayley
  • 5.
    Application of CayleyHamilton Theorem i) To find the inverse of a matrix A ii)To find higher power of a matrix A
  • 6.
    Verify Cayley Hamiltontheorem for 𝐴 = 1 2 −2 −1 3 0 0 −2 1 and hence find 𝐴−1. Solution: The characteristic equation is 𝜆3 − 𝑆1𝜆2 + 𝑆2𝜆 − 𝑆3 = 0. 𝑺𝟏 = Trace of A= 𝟓 𝑆2 = Sum of minors of leading diagonal elements = 3 0 −2 1 + 1 −2 0 1 + 1 2 −1 3 = 3 + 1 + 5 = 9
  • 7.
    𝑆3 = 1 2−2 −1 3 0 0 −2 1 = 1 The characteristic equation is 𝜆3 − 5𝜆2 + 9𝜆 − 1 = 0.
  • 8.
  • 9.
    To verify CayleyHamilton theorem: To prove 𝐴3 − 5𝐴2 + 9𝐴 − 𝐼 = 0. 𝐴2 = −1 12 −4 −4 7 2 2 −8 1 𝐴3 = −13 42 −2 −11 9 10 10 −22 −3 𝐴3 − 5𝐴2 + 9𝐴 − 𝐼 = −13 42 −2 −11 9 10 10 −22 −3 − 5 −1 12 −4 −4 7 2 2 −8 1 + 9 1 2 −2 −1 3 0 0 −2 1 − 1 0 0 0 1 0 0 0 1 = 0 0 0 0 0 0 0 0 0
  • 10.
    To find 𝑨−𝟏 : 𝐴−1 =𝐴2 − 5𝐴 + 9𝐼 = −1 12 −4 −4 7 2 2 −8 1 − 5 1 2 −2 −1 3 0 0 −2 1 + 9 1 0 0 0 1 0 0 0 1 𝐴−1 = 3 2 6 1 1 2 2 2 5
  • 11.
    Example:2 Reduce the quadraticform 2𝑥1 2 + 6𝑥2 2 + 2𝑥3 2 + 8𝑥1𝑥3 to a canonical form by orthogonal transformation. Also find its rank, signature, index and signature. Solution: The matrix of the given quadratic form is 𝐴 = 2 0 4 0 6 0 4 0 2 The characteristic equation is 𝜆3 − 𝑆1𝜆2 + 𝑆2𝜆 − 𝑆3 = 0. 𝑆1 = 10, 𝑆2 = 12, 𝑆3 = −72. The characteristic equation is 𝜆3 − 10𝜆2 + 12𝜆 + 72 = 0. Eigen values are 𝜆 = −2,6,6.
  • 12.
    To find Eigenvectors: Eigen vector corresponding to 𝜆 = −2 is 𝑋1 = −1 0 1 Eigen vector corresponding to 𝜆 = 6 is 𝑋2 = 0 1 0 Eigen vector corresponding to 𝜆 = 6 is 𝑋3 = 1 0 1
  • 13.
    Normalized Matrix N= − 1 2 0 1 2 01 0 1 2 0 1 2 ; NT = − 1 2 0 1 2 0 1 0 1 2 0 1 2 Clearly N is orthogonal. 𝑁𝑇𝐴𝑁 = 𝐷 = −2 0 0 0 6 0 0 0 6
  • 14.
    To reduce tocanonical form: Let 𝑋 = 𝑁𝑌 be an orthogonal transformation where 𝑌 = 𝑦1 𝑦2 𝑦3 This will make the Quadratic form to Canonical form −2𝑦1 2 + 6𝑦2 2 + 6𝑦3 2 . Rank 𝑟 = 3. Index= Number of Positive eigen values 𝑝 = 2. Signature = 2𝑝 − 𝑟 = 1. Since the eigen values are both positive and negative. Nature = Indefinite
  • 15.
  • 16.
  • 17.
  • 19.
    𝑓 𝑥 =2𝑥3 + 5𝑥2 − 4𝑥 Can you find the maxima and minima with in 2 minutes? Can you find the intervals on which increasing/decreasing? Can you find the intervals of concavity?
  • 20.
    Find the maximumand minimum values of 2𝑥3 + 5𝑥2 − 4𝑥. Solution: Given: 𝑓 𝑥 = 2𝑥3 + 5𝑥2 − 4𝑥 𝑓′ 𝑥 = 6𝑥2 + 10𝑥 − 4 To find critical point: 𝑓′ 𝑥 = 0 6𝑥2 + 10𝑥 − 4 = 0 3𝑥2 + 5𝑥 − 2 = 0 ⇒ 𝑥 = −2, 1 3 are critical points. To find local maxima and minima: 𝑓 −2 = 2 −2 3 + 5 −2 2 − 4 −2 = −16 + 20 + 8 = 12 𝑓 1 3 = 2 1 3 3 + 5 1 3 2 − 4 1 3 = 2 27 + 5 9 − 4 3 = 2 + 15 − 36 27 = − 19 27 ⇒ 𝒇 𝒙 has maximum value 𝟏𝟐 at 𝒙 = −𝟐. ⇒ 𝒇 𝒙 has minimum value − 𝟏𝟗 𝟐𝟕 at 𝒙 = 𝟏 𝟑 .
  • 21.
    Continuous functions For whatvalues of constant 𝒂 and 𝒃 is 𝒇 𝒙 = −𝟐 𝒂𝒙 − 𝒃 𝟑 𝒙 ≤ −𝟏 −𝟏 < 𝒙 < 𝟏 𝒙 ≥ 𝟏 is continuous at every 𝒙? . Solution: Since 𝑓(𝑥) is continuous at 𝑥 = −1. ⇒ 𝑎 + 𝑏 = 2…(1) Since 𝑓(𝑥) is continuous at 𝑥 = 1. ⇒ 𝑎 − 𝑏 = 3 ⇒ 𝑎 = 5 2 ; 𝑏 = − 1 2
  • 22.
  • 23.
    Differentiation rules (sum,product, quotient, chain rules) - Implicit differentiation - Logarithmic differentiation Other topics
  • 24.
    UNIT III FUNCTIONS OFSEVERAL VARIABLES
  • 25.
    Euler’s theorem onHomogeneous function If 𝑢 is a homogeneous function of degree 𝑛 in 𝑥 and 𝑦, then 𝑥 𝜕𝑢 𝜕𝑥 + 𝑦 𝜕𝑢 𝜕𝑦 = 𝑛𝑢. 1. If 𝑢 = sin−1 𝑥3−𝑦3 𝑥+𝑦 prove that 𝑥 𝜕𝑢 𝜕𝑥 + 𝑦 𝜕𝑢 𝜕𝑦 = 2 tan 𝑢 2. If 𝑢 = log 𝑥4+𝑦4 𝑥+𝑦 , show that 𝑥 𝜕𝑢 𝜕𝑥 + 𝑦 𝜕𝑢 𝜕𝑦 = 3.
  • 26.
    Total derivatives 1. If𝑔 𝑥, 𝑦 = 𝛹(𝑢, 𝑣) where 𝑢 = 𝑥2 − 𝑦2 and 𝑣 = 2𝑥𝑦, Prove that 𝜕2𝑔 𝜕𝑥2 + 𝜕2𝑔 𝜕𝑦2 = 4 𝑥2 + 𝑦2 [ 𝜕2𝛹 𝜕𝑢2 + 𝜕2𝛹 𝜕𝑣2 ]. 2. Given the transformations 𝑢 = 𝑒𝑥 cos 𝑦 and 𝑣 = 𝑒𝑥 sin 𝑦 and that ∅ is a function of 𝑢 and 𝑣 and also of 𝑥 and 𝑦, prove that 𝜕2∅ 𝜕𝑥2 + 𝜕2∅ 𝜕𝑦2 = 𝑢2 + 𝑣2 [ 𝜕2∅ 𝜕𝑢2 + 𝜕2∅ 𝜕𝑣2].
  • 27.
    3.If 𝐹 =𝑓 𝑥, 𝑦 , 𝑥 = 𝑒𝑢 sin 𝑣 , 𝑦 = 𝑒𝑢 cos 𝑣 Show that 𝜕2𝐹 𝜕𝑢2 + 𝜕2𝐹 𝜕𝑣2 = (𝑥2 + 𝑦2) ( 𝜕2𝐹 𝜕𝑥2 + 𝜕2𝐹 𝜕𝑦2) = e2u[ 𝜕2𝐹 𝜕𝑥2 + 𝜕2𝐹 𝜕𝑦2] (or) 𝜕2𝐹 𝜕𝑥2 + 𝜕2𝐹 𝜕𝑦2 = 𝑒−2𝑢 [ 𝜕2𝐹 𝜕𝑢2 + 𝜕2𝐹 𝜕𝑣2] 4. If 𝑧 = 𝑓(𝑥, 𝑦) where 𝑥 = 𝑟 cos 𝜃 and 𝑦 = 𝑟 sin 𝜃 , Show that 𝜕𝑧 𝜕𝑥 2 + 𝜕𝑧 𝜕𝑦 2 = 𝜕𝑧 𝜕𝑟 2 + 1 𝑟2 𝜕𝑧 𝜕𝜃 2
  • 28.
  • 30.
    If 𝑢 = 𝑦2 2𝑥 ,𝑣 = 𝑥2+𝑦2 2𝑥 , find 𝜕 𝑢,𝑣 𝜕 𝑥,𝑦 . Solution: 𝑢 = 𝑦2 2𝑥 𝑣 = 𝑥2+𝑦2 2𝑥 𝜕𝑢 𝜕𝑥 = − 𝑦2 2𝑥2 𝜕𝑣 𝜕𝑥 = 𝑥2−𝑦2 2𝑥2 𝜕𝑢 𝜕𝑦 = 𝑦 𝑥 𝜕𝑣 𝜕𝑦 = 𝑦 𝑥 𝜕 𝑢,𝑣 𝜕 𝑥,𝑦 = 𝜕𝑢 𝜕𝑥 𝜕𝑢 𝜕𝑦 𝜕𝑣 𝜕𝑥 𝜕𝑣 𝜕𝑦 = − 𝑦2 2𝑥2 𝑦 𝑥 𝑥2−𝑦2 2𝑥2 𝑦 𝑥 = − 𝑦 2𝑥 Example 1
  • 31.
    Example 2 If 𝑢= 𝑦𝑧 𝑥 , 𝑣 = 𝑧𝑥 𝑦 , 𝑤 = 𝑥𝑦 𝑧 , show that 𝜕(𝑢,𝑣,𝑤) 𝜕(𝑥,𝑦,𝑧) = 4.
  • 32.
    Taylor’s series 𝑓 𝑥,𝑦 = 𝑓 𝑎, 𝑏 + 1 1! ℎ + 𝑘𝑓𝑦 𝑎, 𝑏 + 1 1! ℎ𝑓𝑥 𝑎, 𝑏 + 𝑘𝑓𝑦 𝑎, 𝑏 + 1 2! ℎ2 𝑓𝑥𝑥 𝑎, 𝑏 + 2ℎ𝑘𝑓𝑥𝑦 𝑎, 𝑏 + 𝑘2 𝑓𝑦𝑦 𝑎, 𝑏 + 1 3! ℎ3 𝑓𝑥𝑥𝑥 𝑎, 𝑏 + 3ℎ2 𝑘𝑓𝑥𝑥𝑦 𝑎, 𝑏 𝑓𝑥 𝑎, 𝑏 + 3ℎ𝑘2 𝑓𝑥𝑦𝑦 𝑎, 𝑏 + 𝑘3 𝑓𝑦𝑦𝑦 𝑎, 𝑏
  • 33.
    Use Taylor’s seriesformula to expand the function defined by 𝑓 𝑥, 𝑦 = 𝑥3 + 𝑦3 + 𝑥𝑦2 in powers of 𝑥 − 1 and 𝑦 − 2 . Example
  • 34.
    Lagrange Multipliers Suppose, werequire to find the maximum and minimum values of 𝑓(𝑥, 𝑦, 𝑧) where 𝑥, 𝑦, 𝑧 are subject to the constraint equation 𝑔 𝑥, 𝑦, 𝑧 = 0. We define a function 𝐹 𝑥, 𝑦, 𝑧 = 𝑓 𝑥, 𝑦, 𝑧 + 𝜆 𝑔 𝑥, 𝑦, 𝑧 …(1) Where 𝜆 is called Lagrange Multiplier The necessary condition for a maximum or minimum are 𝜕𝐹 𝜕𝑥 = 0 … 2 𝜕𝐹 𝜕𝑦 = 0 … (3) and 𝜕𝐹 𝜕𝑧 = 0 … (4)
  • 35.
    Example: 2. Find thedimension of a rectangular box, without top of maximum capacity and surface area 432 square meters. 3. Find the volume of the greatest rectangular parallelopiped inscribed in the ellipsoid whose equation is 𝑥2 𝑎2 + 𝑦2 𝑏2 + 𝑧2 𝑐2 = 1 . 4. Find the shortest and the longest distances from the point (1,2, −1) to the sphere 𝑥2 + 𝑦2 + 𝑧2 = 24, using method of Lagrange multipliers. 1. A rectangular box open at the top, is to have a volume of 32𝑐𝑐. Find the dimensions of the box, that requires the least material for its construction.
  • 36.
  • 37.
    1. Substitution rule 2.Integration by parts 3. Integration of rational functions 4. Improper integrals Important topics
  • 38.
  • 39.
    Double Integral Change ofcartesian co-ordinates to polar co ordinates
  • 40.
    1. By changingto polar co ordinates, find the value of the integral 0 2𝑎 0 2𝑎𝑥−𝑥2 𝑥2 + 𝑦2 𝑑𝑦𝑑𝑥. Solution: Given: I= 𝑥=0 𝑥=2𝑎 𝑦=0 𝑦= 2𝑎𝑥−𝑥2 𝑥2 + 𝑦2 𝑑𝑦𝑑𝑥 𝑥 varies from 𝑥 = 0 to 𝑥 = 2𝑎. 𝑦 varies from 𝑦 = 0 to 𝑦 = 2𝑎𝑥 − 𝑥2 ⇒ 𝑦2 = 2𝑎𝑥 − 𝑥2 𝑥2 + 𝑦2 − 2𝑎𝑥 = 0 𝑥2 − 2𝑎𝑥 + 𝑎2 − 𝑎2 + 𝑦2 = 0 ⇒ 𝑥 − 𝑎 2 + 𝑦2 = 𝑎2
  • 41.
    𝑥 − 𝑎2 + 𝑦2 = 𝑎2 𝑦 = 0 𝑥 = 2𝑎 𝑦 = 2𝑎𝑥 − 𝑥2 𝑥 = 0
  • 42.
    𝜃 = 0 𝜃= 𝜋 2 𝑟 = 0 𝑟 = 2𝑎 cos 𝜃
  • 43.
    ∴ I =0 𝜋 2 𝑟=0 𝑟=2𝑎 cos 𝜃 𝑟2 (𝑟 𝑑𝑟𝑑𝜃) = 0 𝜋 2 𝑟=0 𝑟=2𝑎 cos 𝜃 𝑟3 𝑑𝑟𝑑𝜃 = 0 𝜋 2 𝑟4 4 0 2 acos 𝜃 𝑑𝜃 = 1 4 0 𝜋 2 (2 𝑎 cos 𝜃)4 𝑑𝜃 = 4 a4 0 𝜋 2(cos 𝜃)4 𝑑𝜃
  • 44.
    = 4 a4 0 𝜋 2(cos4𝜃) 𝑑𝜃 = 4 a4 3 4 . 1 2 . 𝜋 2 = 3𝜋 4 𝑎4
  • 45.
    Solution 𝑦 = 𝑥𝑥 = 𝑎 𝑦 = 0 𝑦 = 𝑎 2. Evaluate 0 𝑎 𝑦 𝑎 𝑥2 𝑥2+𝑦2 dx dy by changing into polar co-ordinates
  • 46.
  • 47.
    Change of order ofintegration
  • 48.
    Important to note 1.Whenyou draw vertical line or Horizontal line both the ends have same curve 2.Suppose if you have different curves,split the region at intersection points.
  • 49.
    Example:1 Change of theorder of 𝐼 = 0 𝑎 𝑦 𝑎 𝑥 𝑥2+𝑦2 𝑑𝑥 𝑑𝑦 and then evaluate it. Solution Given: 𝐼 = 𝑦=0 𝑦=𝑎 𝑥=𝑦 𝑥=𝑎 𝑥 𝑥2+𝑦2 𝑑𝑥 𝑑𝑦 𝑥 varies from 𝑥 = 𝑦 to 𝑥 = 𝑎. 𝑦 varies from 𝑦 = 0 to 𝑦 = 𝑎 𝑦 = 𝑥 𝑦 = 0 𝑥 = 0 𝑥 = 𝑎 𝑦 = 𝑎
  • 51.
    𝑦 = 𝑥 𝑦= 0 𝑥 = 0 𝑥 = 𝑎 𝑦 = 𝑎 𝑥 varies from 𝑥 = 0 to 𝑥 = 𝑎. 𝑦 varies from 𝑦 = 0 to 𝑦 = 𝑥 Change of order of integration 𝐼 = 0 𝑎 𝑦 𝑎 𝑥 𝑥2+𝑦2 𝑑𝑥 𝑑𝑦 = 𝑥=0 𝑥=𝑎 𝑦=0 𝑦=𝑥 𝑥 𝑥2+𝑦2 𝑑𝑦 𝑑𝑥 = 𝑥=0 𝑥=𝑎 𝑥 1 𝑥 tan−1 𝑦 𝑥 𝑦=0 𝑦=𝑥 𝑑𝑥 = 0 𝑎 [tan−1 1 − tan−1 0] 𝑑𝑥 = 0 𝑎 [ 𝜋 4 − 0] 𝑑𝑥 = 𝜋 4 .
  • 52.
    Area using doubleintegral 1. Using double integral, find the area bounded by 𝑦 = 𝑥 and 𝑦 = 𝑥2 2. Find the smaller of the area bounded by 𝑦 = 2 − 𝑥 and 𝑥2 + 𝑦2 = 4. 3. Find the area of the ellipse 𝑥2 𝑎2 + 𝑦2 𝑏2 = 1. 4. Find the area between the parabolas 𝑦2 = 4𝑎𝑥 and 𝑥2 = 4𝑎𝑦 5. Find the area enclosed by the curves 𝑦 = 𝑥2 and 𝑥 + 𝑦 = 2.
  • 53.
    VOLUME INTEGRAL 1. Findthe volume of the sphere 𝑥2 + 𝑦2 + 𝑧2 = 𝑎2 without transformation (0r) Evaluate the volume of the positive octant of the sphere of radius a
  • 54.
    4 2. Find thevolume of the ellipsoid 𝑥2 𝑎2 + 𝑦2 𝑏2 + 𝑧2 𝑐2 = 𝑎2 without transformation 3. Calculate the volume of the solid bounded by the surface 𝑥 = 0, 𝑦 = 0, 𝑧 = 0 and 𝑥 + 𝑦 + 𝑧 = 1. 4. Evaluate 𝑑𝑥 𝑑𝑦 𝑑𝑧 𝑎2−𝑥2−𝑦2−𝑧2 over the first octant of the sphere 𝑥2 + 𝑦2 + 𝑧2 = 𝑎2 .
  • 55.
  • 57.