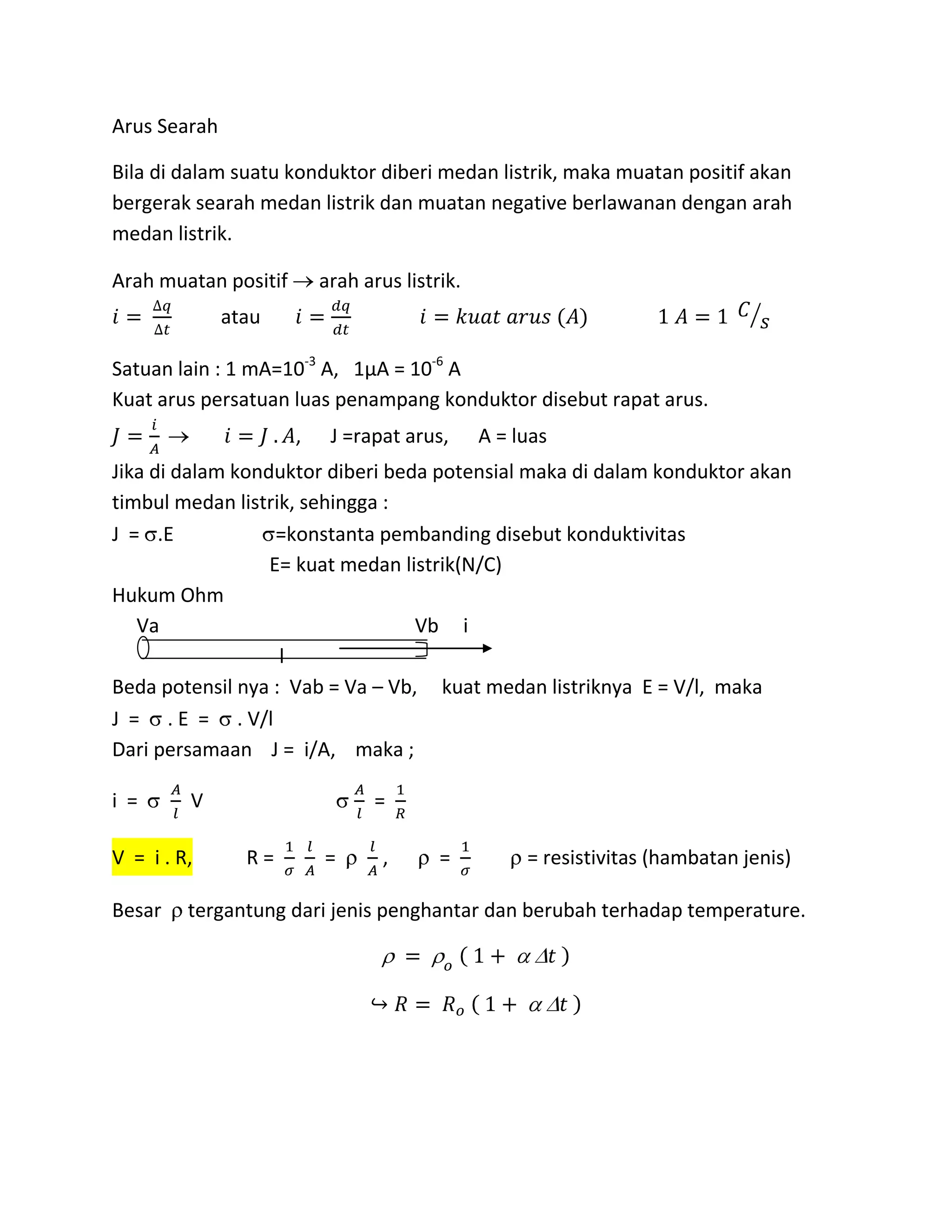
Arus Searah
Bila di dalam suatu konduktor diberi medan listrik, maka muatan positif akan
bergerak searah medan listrik dan muatan negative berlawanan dengan arah
medan listrik.
Arah muatan positif arah arus listrik.
atau
Satuan lain : 1 mA=10-3
A, 1µA = 10-6
A
Kuat arus persatuan luas penampang konduktor disebut rapat arus.
, J =rapat arus, A = luas
Jika di dalam konduktor diberi beda potensial maka di dalam konduktor akan
timbul medan listrik, sehingga :
J = .E =konstanta pembanding disebut konduktivitas
E= kuat medan listrik(N/C)
Hukum Ohm
Va Vb i
l
Beda potensil nya : Vab = Va – Vb, kuat medan listriknya E = V/l, maka
J = . E = . V/l
Dari persamaan J = i/A, maka ;
i = V =
V = i . R, R = = , = = resistivitas (hambatan jenis)
Besar tergantung dari jenis penghantar dan berubah terhadap temperature.
Grafik : v – i
V v
i i
Bahan bersifat ohmik Bahan tidak bersifat ohmik
Daya dan energy listrik
Atau i2
.R P : Daya listrik (watt)
U : energy listrik (Joule) atau kwh, 1 kwh = 3,6.106
J
Misal : Suatu lampu pijar bertuliskan 120V/150W artinya lampu tersebut
menggunakan daya 150 W bila dipasang pada beda potensial 120 V. filament
kawat terbuat dari bahan dengan resistivitas 6.10-5
m dengan luas penampang
0,1 mm2
. Hitung:
a. Panjang filament
b. Arus yang melalui lampu jika dipasang ada tegangan 120 V
c. Arus dan daya pada lampu jika dipasang pada tegangan 60 V
Jawab : P=150 Watt, V=120 Volt, ρ=6.10-5
ohm.m, A=10-7
m2
l= ……, i = …….
a.
b.
c.
RANGKAIAN ARUS SEARAH
- Rangkaian seri
R1 R2 R3
a b c d
V = , i = i1 = i2 = i3
- Rangkaian parallel
i1 R1
i i2 R2
a b
I3 R3
Misal :
R1 = 25 , R2 = 20 , R3 = 60 , R4 = 30 dan R5 = 10 , Jika V = 60 volt
tentukan :
a. Hambatan total, arus total R1 R2
b. Beda potensial V1, V2, V3 , V4 dan V5
c. Arus pada masing-masing hambatan R3
d. energi total bila arus mengalir selama
20 menit R4 R5
i V
(Jwb.: v1= 37,5 Volt , V2=V3=22,5Volt, V4=45 Volt, )
Hukum Kirchoff
Hukum Kirchoff I
Jumlah kuat arus yang masuk pada suatu titik cabang sama dengan jumlah
arus yang meninggalkannya.
i1
i3
i2
Hukum Kirchoff II
Jumlah beda potensial yang melintasi seluruh elemen dalam suatu loop
adalah nol.
Atau
Misal :
atau
Pada loop I : ………………….1
Pada loop II : …………………………….2
………………….3
Persamaan 1 dan 3 dapat diselesaikan dengan cara eliminasi/substitusi
dengan variable
Misal 1: E1,r1 R1
R1 = 8 , R2 = 10
E1 = 6 volt, r1 = 1 dan
E2 = 12 volt, r2 = 1
R2 E2,r2
Di Tanya : a. arus yang mengalir (besar dan arah)
b. tegangan vab dan vcd
c. jika va = 0, hitung vb, v5, dan vd
Misal 2 :
1. Dua buah muatan listrik terletak pada sumbu koordinat X, Y. masing-masing
q1=50 C di titik (-0.4m , 0) dan q2=40 C di titik (0.6m , 0). Hitunglah:
a. Kuat medan listrik di titik pusat koordinat
b. Besar usaha yang diperlukan untuk membawa muatan 10 C dari titik yang sangat
jauh ke titik pusat koordinat
2. Diketahui C1=8 F, C2=16 F, C3=8 F dan
C4=18 F. titik A dan B dihubungkan dengan
beda potensial 30 Volt. Hitunglah:
a. Kapasitas kapasitor total
b. Energi yang disimpan pada kapasitas C1
dan C4
(a. 24 b. 2025, 8100 )
3. Hitunglah kuat arus (besar dan arah) yang mengalir pada masing-masing cabang kawat
dalam rangkaian berikut ini.
R1 = 8 , R2 = 10 , R3 = 6
R1 E2,r2 E1 = 6V, r1 = 1 dan E2 = 12 V, r2 = 1
E1,r1 R2 R3
( Jwb. i1=0,19 A, i2=0,70 A i3 =0,89 A )
BA C1
C2
C3
C4

Listrik4

  • 1.
    Arus Searah Bila didalam suatu konduktor diberi medan listrik, maka muatan positif akan bergerak searah medan listrik dan muatan negative berlawanan dengan arah medan listrik. Arah muatan positif arah arus listrik. atau Satuan lain : 1 mA=10-3 A, 1µA = 10-6 A Kuat arus persatuan luas penampang konduktor disebut rapat arus. , J =rapat arus, A = luas Jika di dalam konduktor diberi beda potensial maka di dalam konduktor akan timbul medan listrik, sehingga : J = .E =konstanta pembanding disebut konduktivitas E= kuat medan listrik(N/C) Hukum Ohm Va Vb i l Beda potensil nya : Vab = Va – Vb, kuat medan listriknya E = V/l, maka J = . E = . V/l Dari persamaan J = i/A, maka ; i = V = V = i . R, R = = , = = resistivitas (hambatan jenis) Besar tergantung dari jenis penghantar dan berubah terhadap temperature.
  • 2.
    Grafik : v– i V v i i Bahan bersifat ohmik Bahan tidak bersifat ohmik Daya dan energy listrik Atau i2 .R P : Daya listrik (watt) U : energy listrik (Joule) atau kwh, 1 kwh = 3,6.106 J Misal : Suatu lampu pijar bertuliskan 120V/150W artinya lampu tersebut menggunakan daya 150 W bila dipasang pada beda potensial 120 V. filament kawat terbuat dari bahan dengan resistivitas 6.10-5 m dengan luas penampang 0,1 mm2 . Hitung: a. Panjang filament b. Arus yang melalui lampu jika dipasang ada tegangan 120 V c. Arus dan daya pada lampu jika dipasang pada tegangan 60 V Jawab : P=150 Watt, V=120 Volt, ρ=6.10-5 ohm.m, A=10-7 m2 l= ……, i = ……. a.
  • 3.
    b. c. RANGKAIAN ARUS SEARAH -Rangkaian seri R1 R2 R3 a b c d V = , i = i1 = i2 = i3 - Rangkaian parallel i1 R1 i i2 R2 a b I3 R3
  • 4.
    Misal : R1 =25 , R2 = 20 , R3 = 60 , R4 = 30 dan R5 = 10 , Jika V = 60 volt tentukan : a. Hambatan total, arus total R1 R2 b. Beda potensial V1, V2, V3 , V4 dan V5 c. Arus pada masing-masing hambatan R3 d. energi total bila arus mengalir selama 20 menit R4 R5 i V (Jwb.: v1= 37,5 Volt , V2=V3=22,5Volt, V4=45 Volt, )
  • 5.
    Hukum Kirchoff Hukum KirchoffI Jumlah kuat arus yang masuk pada suatu titik cabang sama dengan jumlah arus yang meninggalkannya. i1 i3 i2 Hukum Kirchoff II Jumlah beda potensial yang melintasi seluruh elemen dalam suatu loop adalah nol. Atau
  • 6.
    Misal : atau Pada loopI : ………………….1 Pada loop II : …………………………….2 ………………….3 Persamaan 1 dan 3 dapat diselesaikan dengan cara eliminasi/substitusi dengan variable Misal 1: E1,r1 R1 R1 = 8 , R2 = 10 E1 = 6 volt, r1 = 1 dan E2 = 12 volt, r2 = 1 R2 E2,r2 Di Tanya : a. arus yang mengalir (besar dan arah) b. tegangan vab dan vcd c. jika va = 0, hitung vb, v5, dan vd Misal 2 :
  • 7.
    1. Dua buahmuatan listrik terletak pada sumbu koordinat X, Y. masing-masing q1=50 C di titik (-0.4m , 0) dan q2=40 C di titik (0.6m , 0). Hitunglah: a. Kuat medan listrik di titik pusat koordinat b. Besar usaha yang diperlukan untuk membawa muatan 10 C dari titik yang sangat jauh ke titik pusat koordinat 2. Diketahui C1=8 F, C2=16 F, C3=8 F dan C4=18 F. titik A dan B dihubungkan dengan beda potensial 30 Volt. Hitunglah: a. Kapasitas kapasitor total b. Energi yang disimpan pada kapasitas C1 dan C4 (a. 24 b. 2025, 8100 ) 3. Hitunglah kuat arus (besar dan arah) yang mengalir pada masing-masing cabang kawat dalam rangkaian berikut ini. R1 = 8 , R2 = 10 , R3 = 6 R1 E2,r2 E1 = 6V, r1 = 1 dan E2 = 12 V, r2 = 1 E1,r1 R2 R3 ( Jwb. i1=0,19 A, i2=0,70 A i3 =0,89 A ) BA C1 C2 C3 C4