lecture 2
Assist. Lect. Hiba Abdul –Kareem
Homogeneous Differential Equation
•A differential equation containing a homogeneous function
is called a homogeneous differential equation.
•A differential equation of the form :
𝒅𝒚
𝒅𝒙
=
𝒇(𝒙,𝒚)
𝒈(𝒙,𝒚)
called homogeneous differential equation if f (x, y) and g(x, y)
are homogeneous functions
Homogeneous Differential Equation
• A differential equation of the form :
𝒅𝒚
𝒅𝒙
=
𝒇(𝒙,𝒚)
𝒈(𝒙,𝒚)
• Example :
𝒅𝒚
𝒅𝒙
=
𝒙𝟑+𝒚𝟑
𝟑𝒙𝟐𝒚
Separable Differential Equation
• A differential equation of the form :
𝒅𝒚
𝒅𝒙
=
𝒇(𝒙)
𝒈(𝒚)
or
• Example :
𝒅𝒚
𝒅𝒙
=
𝒙𝟑
𝒚𝟐
The homogeneous differential equation does not have a constant term within
the equation
Homogeneous Function
• The function f(x, y) is called a homogeneous function if :
𝒇(λx, λy)=𝝀𝒏
𝒇(x, y), for any non zero constant λ.
• Example :Determine whether the function is homogeneous or not?
𝒇 𝒙, 𝒚 = 𝒙𝟑+𝒙𝟐y+𝒚𝟑
𝒇 λ𝒙, λ𝒚 = (λ𝒙)𝟑
+(λ𝒙)𝟐
(λ y)+(λ𝒚)𝟑
𝒇 λ𝒙, λ𝒚 = λ𝟑
(𝒙𝟑
+𝒙𝟐
y+𝒚𝟑
)
the function is homogeneous
𝒇 𝒙, 𝒚 = 𝒙𝒚+𝒔𝒊𝒏 𝒙𝒚
𝒇 λ𝒙, λ𝒚 =(λx)(λy)+sin(λ𝟐xy)
𝒇 λ𝒙, λ𝒚 =λ𝟐xy+sin(λ𝟐xy)
the function is non -homogeneous
Classwork
Show that the function 𝒇 𝒙, 𝒚 =
𝒙+𝟐𝒚
𝒙−𝒚
is a homogeneous
function.
Classwork
Show that the function 𝒇 𝒙, 𝒚 =
𝒙+𝟐𝒚
𝒙−𝒚
is a homogeneous
function.
Homogeneous ODE
• The differential equation may not be separable, but at the same time, it
can be converted into a separable equation using some transformations.
So, the homogeneous differential equation are is the one which can be
written in this form
Homogeneous ODE
• Example: Determine whether the differential equation is
homogeneous or not:
Homogeneous
Classwork
• Example: Determine whether the differential equation is
homogeneous or not:
Classwork
• Example: Determine whether the differential equation is
homogeneous or not:
Homogeneous
Solution of Homogeneous ODE
‫كل‬ ‫بدل‬ ‫نعوض‬
V
‫ب‬
𝒚
𝒙
‫ث‬ ‫المعادلتين‬ ‫ربط‬ ‫يتم‬
‫م‬
‫الطرفين‬ ‫تكامل‬ ‫ناخذ‬
‫نشتق‬
y=vx
‫ل‬ ‫بالنسبة‬
x
‫حيث‬
𝒅𝒚
𝒅𝒙
=
𝒅𝒚
𝒅𝒙
𝐱+v
‫متغير‬ ‫نفرض‬
‫جديد‬
(
v
)
‫حيث‬
:
𝒗 =
𝒚
𝒙
‫المعادلة‬ ‫نجعل‬
‫بالصيغة‬
:
𝒅𝒚
𝒅𝒙
=f(
𝒚
𝒙
)
Solution of Homogeneous ODE
Solution of Homogeneous ODE
Example –Solve
𝒅𝒚
𝒅𝒙
=
𝒙 − 𝒚
𝒙 + 𝒚
Look at the power of x in nominator
So, divide both side by x
Answer:
𝒅𝒚
Replace
𝒅𝒙
= 𝒗 + 𝒙 𝒅𝒗
𝒙
And
𝒚
𝒙
= 𝒗
Example – Solve the following differential equation
𝒅𝒚
𝒅𝒙
=
𝒙𝟐 + 𝒚𝟐
𝒙𝒚
Answer:
First, try to write it in the form of
𝑑𝑦
𝑑𝑥
= 𝑓
𝑦
𝑥
11
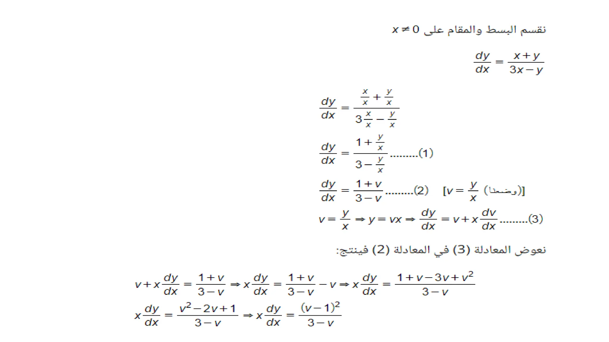
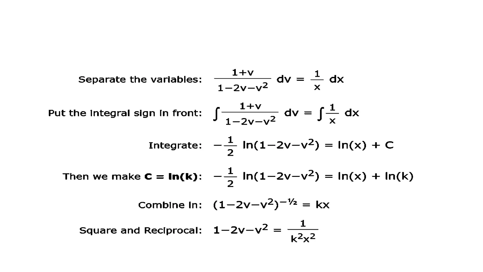
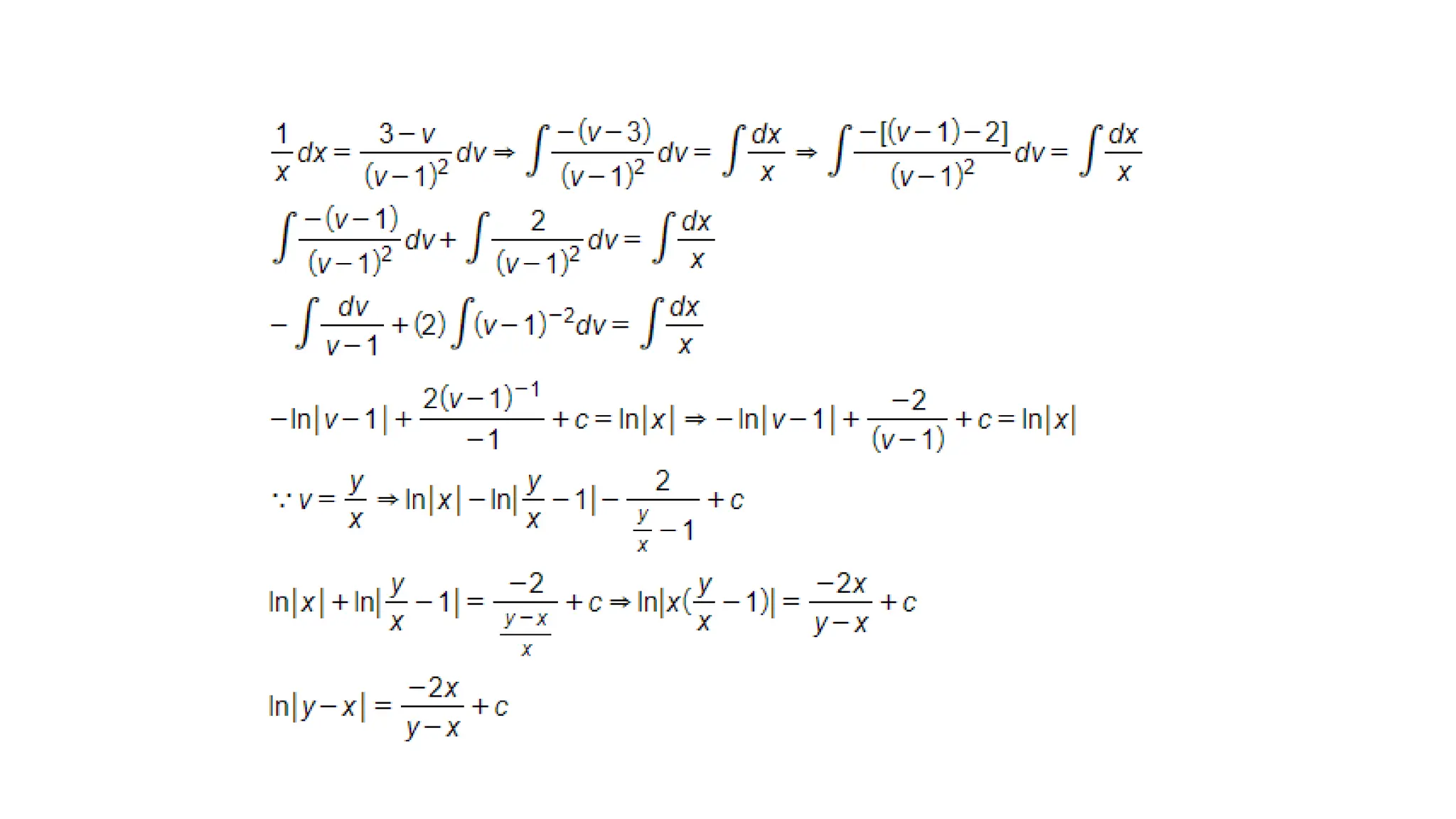
Classwork
•Solve:
(𝟑𝒙 − 𝒚)
𝒅𝒚
𝒅𝒙
=(𝒙 + 𝒚)
Homework
•Solve:

𝑑𝑦
𝑑𝑥
=
3𝑦2−𝑥2
2𝑥𝑦

𝑑𝑦
𝑑𝑥
=
𝑦
𝑥
+𝑒
𝑦
𝑥
Any
Questions

lectNNNNNNNNNNNNNNNNNNNNNNNNNNNNNNN2.pdf

  • 1.
    lecture 2 Assist. Lect.Hiba Abdul –Kareem
  • 2.
    Homogeneous Differential Equation •Adifferential equation containing a homogeneous function is called a homogeneous differential equation. •A differential equation of the form : 𝒅𝒚 𝒅𝒙 = 𝒇(𝒙,𝒚) 𝒈(𝒙,𝒚) called homogeneous differential equation if f (x, y) and g(x, y) are homogeneous functions
  • 3.
    Homogeneous Differential Equation •A differential equation of the form : 𝒅𝒚 𝒅𝒙 = 𝒇(𝒙,𝒚) 𝒈(𝒙,𝒚) • Example : 𝒅𝒚 𝒅𝒙 = 𝒙𝟑+𝒚𝟑 𝟑𝒙𝟐𝒚 Separable Differential Equation • A differential equation of the form : 𝒅𝒚 𝒅𝒙 = 𝒇(𝒙) 𝒈(𝒚) or • Example : 𝒅𝒚 𝒅𝒙 = 𝒙𝟑 𝒚𝟐 The homogeneous differential equation does not have a constant term within the equation
  • 4.
    Homogeneous Function • Thefunction f(x, y) is called a homogeneous function if : 𝒇(λx, λy)=𝝀𝒏 𝒇(x, y), for any non zero constant λ. • Example :Determine whether the function is homogeneous or not? 𝒇 𝒙, 𝒚 = 𝒙𝟑+𝒙𝟐y+𝒚𝟑 𝒇 λ𝒙, λ𝒚 = (λ𝒙)𝟑 +(λ𝒙)𝟐 (λ y)+(λ𝒚)𝟑 𝒇 λ𝒙, λ𝒚 = λ𝟑 (𝒙𝟑 +𝒙𝟐 y+𝒚𝟑 ) the function is homogeneous 𝒇 𝒙, 𝒚 = 𝒙𝒚+𝒔𝒊𝒏 𝒙𝒚 𝒇 λ𝒙, λ𝒚 =(λx)(λy)+sin(λ𝟐xy) 𝒇 λ𝒙, λ𝒚 =λ𝟐xy+sin(λ𝟐xy) the function is non -homogeneous
  • 5.
    Classwork Show that thefunction 𝒇 𝒙, 𝒚 = 𝒙+𝟐𝒚 𝒙−𝒚 is a homogeneous function.
  • 6.
    Classwork Show that thefunction 𝒇 𝒙, 𝒚 = 𝒙+𝟐𝒚 𝒙−𝒚 is a homogeneous function.
  • 7.
    Homogeneous ODE • Thedifferential equation may not be separable, but at the same time, it can be converted into a separable equation using some transformations. So, the homogeneous differential equation are is the one which can be written in this form
  • 8.
    Homogeneous ODE • Example:Determine whether the differential equation is homogeneous or not: Homogeneous
  • 9.
    Classwork • Example: Determinewhether the differential equation is homogeneous or not:
  • 10.
    Classwork • Example: Determinewhether the differential equation is homogeneous or not: Homogeneous
  • 11.
    Solution of HomogeneousODE ‫كل‬ ‫بدل‬ ‫نعوض‬ V ‫ب‬ 𝒚 𝒙 ‫ث‬ ‫المعادلتين‬ ‫ربط‬ ‫يتم‬ ‫م‬ ‫الطرفين‬ ‫تكامل‬ ‫ناخذ‬ ‫نشتق‬ y=vx ‫ل‬ ‫بالنسبة‬ x ‫حيث‬ 𝒅𝒚 𝒅𝒙 = 𝒅𝒚 𝒅𝒙 𝐱+v ‫متغير‬ ‫نفرض‬ ‫جديد‬ ( v ) ‫حيث‬ : 𝒗 = 𝒚 𝒙 ‫المعادلة‬ ‫نجعل‬ ‫بالصيغة‬ : 𝒅𝒚 𝒅𝒙 =f( 𝒚 𝒙 )
  • 12.
  • 13.
    Solution of HomogeneousODE Example –Solve 𝒅𝒚 𝒅𝒙 = 𝒙 − 𝒚 𝒙 + 𝒚 Look at the power of x in nominator So, divide both side by x Answer:
  • 14.
    𝒅𝒚 Replace 𝒅𝒙 = 𝒗 +𝒙 𝒅𝒗 𝒙 And 𝒚 𝒙 = 𝒗
  • 17.
    Example – Solvethe following differential equation 𝒅𝒚 𝒅𝒙 = 𝒙𝟐 + 𝒚𝟐 𝒙𝒚 Answer: First, try to write it in the form of 𝑑𝑦 𝑑𝑥 = 𝑓 𝑦 𝑥 11
  • 22.
  • 25.
  • 26.