Analysis & Design of
Reinforced Concrete Structures (1) Lecture.6 Strength Design Method
49
Dr. Muthanna Adil Najm
Analysis Examples:
Ex.1)
Determine the moment capacity of a beam with 375mm width, 675mm depth and
reinforced with 4 Ø 28 mm bars, if MPafc 28 and MPafy 420 .
Sol.)
mmd 60075675  and
    2
2
24646164
4
28
4 mmAs 










011.0
600375
2464



bd
As

Check steel percentage for ACI requirements.
0033.0
420
4.14.1
0031.0
420
2825.025.0
min 


yy
c
ff
f

0033.0min 
0181.0
8
3
420
2885.085.0
005.0003.0
003.085.0 1
max 


















 

y
c
f
f

0181.0
0033.0
011.0
max
min






 
 
mm
bf
fA
a
c
ys
116
3752885.0
4202464
85.0



mm
a
c 4.136
85.0
116
1


Check net tensile strain:
Strength Design Method
Analysis & Design of Rectangular Section Beams.
375mm
600mm
84Ø2
tε
= 0.003cε
c
d-c
d675mm
Analysis & Design of
Reinforced Concrete Structures (1) Lecture.6 Strength Design Method
50
Dr. Muthanna Adil Najm
    005.001.0003.0
6.136
4.136600
003.0 




c
cd
t Tension controlled
section.
mkN
a
dfAM ysn 











 9.560
2
116
6004202464
2
  mkNMn .8.5049.5609.0 
Ex.2)
Determine the moment capacity of the beam section shown below,
MPafc 28 and MPafy 420 .
Sol.)
    2
2
305410183
4
36
3 mmAs 










027.0
375300
3054



bd
As

Check steel percentage for ACI requirements.
0033.0
420
4.14.1
min 
yf

0206.0
7
3
420
2885.085.0
004.0003.0
003.085.0 1
max 


















 

y
c
f
f

0206.0027.0 max  
 Section is not ductile, Check tensile strain.
 
 
mm
bf
fA
a
c
ys
6.179
3002885.0
4203054
85.0



mm
a
c 3.211
85.0
6.179
1


    004.00023.0003.0
3.211
3.211375
003.0 




c
cd
t
 Section is not tension controlled, and not in the permissible transition zone
between strain of 0.004 to strain of 0.005.
 The section is not ductile and may not be used per ACI section 10.3.5
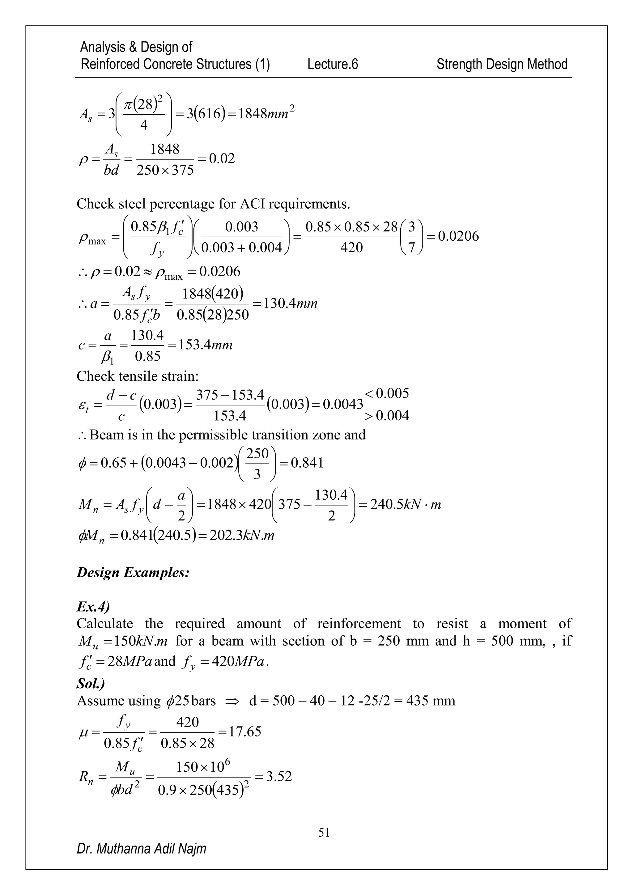
Ex.3)
Determine the moment capacity of the beam section shown below,
MPafc 28 and MPafy 420 .
Sol.)
300 mm
375mm
450 mm
3Ø36
375mm
450 mm
3Ø28
Analysis & Design of
Reinforced Concrete Structures (1) Lecture.6 Strength Design Method
51
Dr. Muthanna Adil Najm
    2
2
18486163
4
28
3 mmAs 










02.0
375250
1848



bd
As

Check steel percentage for ACI requirements.
0206.0
7
3
420
2885.085.0
004.0003.0
003.085.0 1
max 


















 

y
c
f
f

0206.002.0 max  
 
 
mm
bf
fA
a
c
ys
4.130
2502885.0
4201848
85.0



mm
a
c 4.153
85.0
4.130
1


Check tensile strain:
   
004.0
005.0
0043.0003.0
4.153
4.153375
003.0







c
cd
t
Beam is in the permissible transition zone and
  841.0
3
250
002.00043.065.0 






mkN
a
dfAM ysn 











 5.240
2
4.130
3754201848
2
  mkNMn .3.2025.240841.0 
Design Examples:
Ex.4)
Calculate the required amount of reinforcement to resist a moment of
mkNMu .150 for a beam with section of b = 250 mm and h = 500 mm, , if
MPafc 28 and MPafy 420 .
Sol.)
Assume using 25 bars  d = 500 – 40 – 12 -25/2 = 435 mm
65.17
2885.0
420
85.0





c
y
f
f

 
52.3
4352509.0
10150
2
6
2




bd
M
R u
n

Analysis & Design of
Reinforced Concrete Structures (1) Lecture.6 Strength Design Method
52
Dr. Muthanna Adil Najm
009.0
420
65.1752.32
11
65.17
12
11
1





 










y
n
f
R 


Check steel percentage for ACI requirements.
0033.0
420
4.14.1
0031.0
420
2825.025.0
min 


yy
c
ff
f

0033.0min 
0181.0
8
3
420
2885.085.0
005.0003.0
003.085.0 1
max 


















 

y
c
f
f

0181.0
0033.0
009.0
max
min






2
979435250009.0 mmbdAs  
Use 2 Ø 25 bars;
    2
2
., 9824912
4
25
2 mmA provs 










2
.,
2
., 979982 mmAmmA reqsprovs 
Ex.5)
Design a simply supported rectangular beam with a span of 5 m and carrying a
total service dead load of 18 kN/m and service live load of 30 kN/m , if
MPafc 28 and MPafy 420 .
Sol.)
    mkNLDwu /70306.1182.16.12.1 
  mkN
lw
M u
u .8.218
8
570
8
22

The concrete dimensions will depend on the designer choice of reinforcement
ratio. To minimize the concrete section it is desirable to select the maximum
permissible steel ratio.
5 m
D = 18 kN/m & L =30 kN/m
250 mm
435
mm
500
mm
5Ø22
Analysis & Design of
Reinforced Concrete Structures (1) Lecture.6 Strength Design Method
53
Dr. Muthanna Adil Najm
0181.0
8
3
420
2885.085.0
005.0003.0
003.085.0 1
max 


















 

y
c
f
f

nu MM 








c
y
yu
f
f
bdfM

 59.012





 

28
4200181.0
59.014200181.09.0108.218 26
bd
32
38079682mmbd 
b d
200 mm 436 mm d > 2b  try greater ' b ' value
250 mm 390 mm 3/2 b < d < 2b  OK.
300 mm 356 mm d < 3/2 b  Not Good
 Use section with b = 250 mm and d = 390 mm
2
17653902500181.0 mmbdAs  
 Use 3 Ø 28 mm
    2
.,
2
2
., 176518486163
4
28
3 mmAmmA reqsprovs 










h = 390 + 40 (cover) + 12 (Stirrups) + 28/2 (bar diameter /2) = 456 mm
 Use h = 460 mm
d = 460 - 40 (cover) - 12 (Stirrups) - 28/2 (bar diameter /2) = 394 mm
Check Section:
mm
bf
fA
a
c
ys
4.130
2502885.0
4201848
85.0






  mkNMmkN
a
dfAM uysn 











 8.2187.229
2
4.130
39442018489.0
2

 Section is OK.
Check deflection requirements:
From ACI Table 9.5.a, the minimum
permissible beam thickness for simply
supported beam is:
mm
l
h 5.312
16
5000
16

mmhmmh requiredavailable 5.312460 
250 mm
394
mm
460
mm
Ø283
Analysis & Design of
Reinforced Concrete Structures (1) Lecture.6 Strength Design Method
54
Dr. Muthanna Adil Najm
 Section is OK.
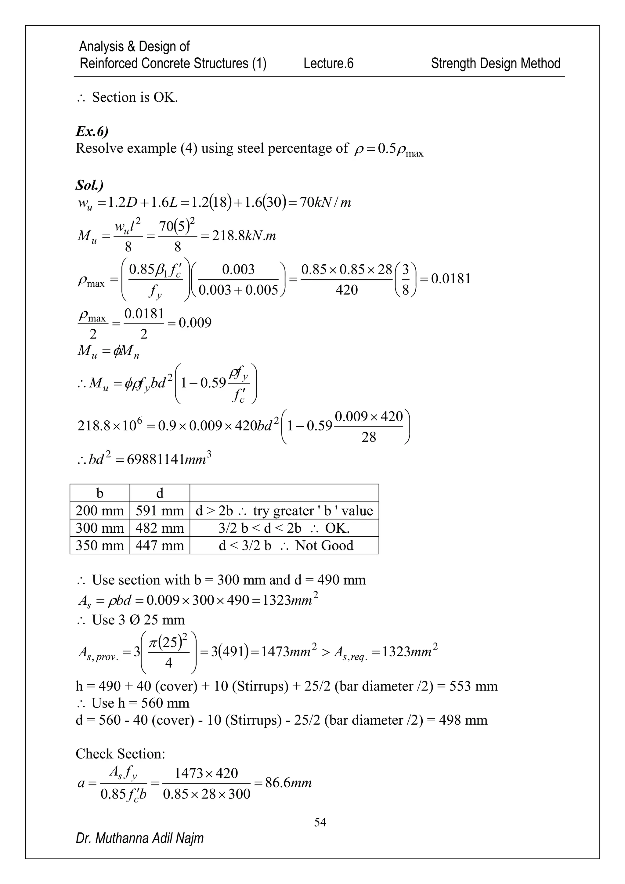
Ex.6)
Resolve example (4) using steel percentage of max5.0  
Sol.)
    mkNLDwu /70306.1182.16.12.1 
  mkN
lw
M u
u .8.218
8
570
8
22

0181.0
8
3
420
2885.085.0
005.0003.0
003.085.0 1
max 


















 

y
c
f
f

009.0
2
0181.0
2
max


nu MM 








c
y
yu
f
f
bdfM

 59.012





 

28
420009.0
59.01420009.09.0108.218 26
bd
32
69881141mmbd 
b d
200 mm 591 mm d > 2b  try greater ' b ' value
300 mm 482 mm 3/2 b < d < 2b  OK.
350 mm 447 mm d < 3/2 b  Not Good
 Use section with b = 300 mm and d = 490 mm
2
1323490300009.0 mmbdAs  
 Use 3 Ø 25 mm
    2
.,
2
2
., 132314734913
4
25
3 mmAmmA reqsprovs 










h = 490 + 40 (cover) + 10 (Stirrups) + 25/2 (bar diameter /2) = 553 mm
 Use h = 560 mm
d = 560 - 40 (cover) - 10 (Stirrups) - 25/2 (bar diameter /2) = 498 mm
Check Section:
mm
bf
fA
a
c
ys
6.86
3002885.0
4201473
85.0






Analysis & Design of
Reinforced Concrete Structures (1) Lecture.6 Strength Design Method
55
Dr. Muthanna Adil Najm
  mkNMmkN
a
dfAM uysn 











 8.2182.253
2
6.86
49842014739.0
2

 Section is OK.
Check deflection requirements:
From ACI Table 9.5.a, the minimum
permissible beam thickness for simply
supported beam is:
mm
l
h 5.312
16
5000
16

mmhmmh requiredavailable 5.312560 
 Section is OK.
300 mm
498
mm
560
mm
5Ø23

Lec.6 strength design method rectangular sections 2

  • 1.
    Analysis & Designof Reinforced Concrete Structures (1) Lecture.6 Strength Design Method 49 Dr. Muthanna Adil Najm Analysis Examples: Ex.1) Determine the moment capacity of a beam with 375mm width, 675mm depth and reinforced with 4 Ø 28 mm bars, if MPafc 28 and MPafy 420 . Sol.) mmd 60075675  and     2 2 24646164 4 28 4 mmAs            011.0 600375 2464    bd As  Check steel percentage for ACI requirements. 0033.0 420 4.14.1 0031.0 420 2825.025.0 min    yy c ff f  0033.0min  0181.0 8 3 420 2885.085.0 005.0003.0 003.085.0 1 max                       y c f f  0181.0 0033.0 011.0 max min           mm bf fA a c ys 116 3752885.0 4202464 85.0    mm a c 4.136 85.0 116 1   Check net tensile strain: Strength Design Method Analysis & Design of Rectangular Section Beams. 375mm 600mm 84Ø2 tε = 0.003cε c d-c d675mm
  • 2.
    Analysis & Designof Reinforced Concrete Structures (1) Lecture.6 Strength Design Method 50 Dr. Muthanna Adil Najm     005.001.0003.0 6.136 4.136600 003.0      c cd t Tension controlled section. mkN a dfAM ysn              9.560 2 116 6004202464 2   mkNMn .8.5049.5609.0  Ex.2) Determine the moment capacity of the beam section shown below, MPafc 28 and MPafy 420 . Sol.)     2 2 305410183 4 36 3 mmAs            027.0 375300 3054    bd As  Check steel percentage for ACI requirements. 0033.0 420 4.14.1 min  yf  0206.0 7 3 420 2885.085.0 004.0003.0 003.085.0 1 max                       y c f f  0206.0027.0 max    Section is not ductile, Check tensile strain.     mm bf fA a c ys 6.179 3002885.0 4203054 85.0    mm a c 3.211 85.0 6.179 1       004.00023.0003.0 3.211 3.211375 003.0      c cd t  Section is not tension controlled, and not in the permissible transition zone between strain of 0.004 to strain of 0.005.  The section is not ductile and may not be used per ACI section 10.3.5 Ex.3) Determine the moment capacity of the beam section shown below, MPafc 28 and MPafy 420 . Sol.) 300 mm 375mm 450 mm 3Ø36 375mm 450 mm 3Ø28
  • 3.
    Analysis & Designof Reinforced Concrete Structures (1) Lecture.6 Strength Design Method 51 Dr. Muthanna Adil Najm     2 2 18486163 4 28 3 mmAs            02.0 375250 1848    bd As  Check steel percentage for ACI requirements. 0206.0 7 3 420 2885.085.0 004.0003.0 003.085.0 1 max                       y c f f  0206.002.0 max       mm bf fA a c ys 4.130 2502885.0 4201848 85.0    mm a c 4.153 85.0 4.130 1   Check tensile strain:     004.0 005.0 0043.0003.0 4.153 4.153375 003.0        c cd t Beam is in the permissible transition zone and   841.0 3 250 002.00043.065.0        mkN a dfAM ysn              5.240 2 4.130 3754201848 2   mkNMn .3.2025.240841.0  Design Examples: Ex.4) Calculate the required amount of reinforcement to resist a moment of mkNMu .150 for a beam with section of b = 250 mm and h = 500 mm, , if MPafc 28 and MPafy 420 . Sol.) Assume using 25 bars  d = 500 – 40 – 12 -25/2 = 435 mm 65.17 2885.0 420 85.0      c y f f    52.3 4352509.0 10150 2 6 2     bd M R u n 
  • 4.
    Analysis & Designof Reinforced Concrete Structures (1) Lecture.6 Strength Design Method 52 Dr. Muthanna Adil Najm 009.0 420 65.1752.32 11 65.17 12 11 1                  y n f R    Check steel percentage for ACI requirements. 0033.0 420 4.14.1 0031.0 420 2825.025.0 min    yy c ff f  0033.0min  0181.0 8 3 420 2885.085.0 005.0003.0 003.085.0 1 max                       y c f f  0181.0 0033.0 009.0 max min       2 979435250009.0 mmbdAs   Use 2 Ø 25 bars;     2 2 ., 9824912 4 25 2 mmA provs            2 ., 2 ., 979982 mmAmmA reqsprovs  Ex.5) Design a simply supported rectangular beam with a span of 5 m and carrying a total service dead load of 18 kN/m and service live load of 30 kN/m , if MPafc 28 and MPafy 420 . Sol.)     mkNLDwu /70306.1182.16.12.1    mkN lw M u u .8.218 8 570 8 22  The concrete dimensions will depend on the designer choice of reinforcement ratio. To minimize the concrete section it is desirable to select the maximum permissible steel ratio. 5 m D = 18 kN/m & L =30 kN/m 250 mm 435 mm 500 mm 5Ø22
  • 5.
    Analysis & Designof Reinforced Concrete Structures (1) Lecture.6 Strength Design Method 53 Dr. Muthanna Adil Najm 0181.0 8 3 420 2885.085.0 005.0003.0 003.085.0 1 max                       y c f f  nu MM          c y yu f f bdfM   59.012         28 4200181.0 59.014200181.09.0108.218 26 bd 32 38079682mmbd  b d 200 mm 436 mm d > 2b  try greater ' b ' value 250 mm 390 mm 3/2 b < d < 2b  OK. 300 mm 356 mm d < 3/2 b  Not Good  Use section with b = 250 mm and d = 390 mm 2 17653902500181.0 mmbdAs    Use 3 Ø 28 mm     2 ., 2 2 ., 176518486163 4 28 3 mmAmmA reqsprovs            h = 390 + 40 (cover) + 12 (Stirrups) + 28/2 (bar diameter /2) = 456 mm  Use h = 460 mm d = 460 - 40 (cover) - 12 (Stirrups) - 28/2 (bar diameter /2) = 394 mm Check Section: mm bf fA a c ys 4.130 2502885.0 4201848 85.0         mkNMmkN a dfAM uysn              8.2187.229 2 4.130 39442018489.0 2   Section is OK. Check deflection requirements: From ACI Table 9.5.a, the minimum permissible beam thickness for simply supported beam is: mm l h 5.312 16 5000 16  mmhmmh requiredavailable 5.312460  250 mm 394 mm 460 mm Ø283
  • 6.
    Analysis & Designof Reinforced Concrete Structures (1) Lecture.6 Strength Design Method 54 Dr. Muthanna Adil Najm  Section is OK. Ex.6) Resolve example (4) using steel percentage of max5.0   Sol.)     mkNLDwu /70306.1182.16.12.1    mkN lw M u u .8.218 8 570 8 22  0181.0 8 3 420 2885.085.0 005.0003.0 003.085.0 1 max                       y c f f  009.0 2 0181.0 2 max   nu MM          c y yu f f bdfM   59.012         28 420009.0 59.01420009.09.0108.218 26 bd 32 69881141mmbd  b d 200 mm 591 mm d > 2b  try greater ' b ' value 300 mm 482 mm 3/2 b < d < 2b  OK. 350 mm 447 mm d < 3/2 b  Not Good  Use section with b = 300 mm and d = 490 mm 2 1323490300009.0 mmbdAs    Use 3 Ø 25 mm     2 ., 2 2 ., 132314734913 4 25 3 mmAmmA reqsprovs            h = 490 + 40 (cover) + 10 (Stirrups) + 25/2 (bar diameter /2) = 553 mm  Use h = 560 mm d = 560 - 40 (cover) - 10 (Stirrups) - 25/2 (bar diameter /2) = 498 mm Check Section: mm bf fA a c ys 6.86 3002885.0 4201473 85.0      
  • 7.
    Analysis & Designof Reinforced Concrete Structures (1) Lecture.6 Strength Design Method 55 Dr. Muthanna Adil Najm   mkNMmkN a dfAM uysn              8.2182.253 2 6.86 49842014739.0 2   Section is OK. Check deflection requirements: From ACI Table 9.5.a, the minimum permissible beam thickness for simply supported beam is: mm l h 5.312 16 5000 16  mmhmmh requiredavailable 5.312560   Section is OK. 300 mm 498 mm 560 mm 5Ø23