REINFORCED CONCRETE (1)
(CE411)
Chapter 3-a
Flexural Analysis and Design of
Beams
Instructor:
Eng. Abdallah Odeibat
Civil Engineer, Structures , M.Sc.
1
INTRODUCTION
2
3
4
5
TYPICAL SINGLY REINFORCED CONCRETE
RECTANGULAR BEAM
6
7
8
INTRODUCTION
9
DEFINITIONS
10
FLEXURAL STRESS
11
FLEXURAL STRESS
12
The beam is a structural member used
to support the internal moments and
shears. It would be called a beam-
column if a compressive force existed.
C = T
M = C*(jd)
= T*(jd)
ASSUMPTIONS
 Plane sections before bending remain plane under load
 Strain distribution is linear in both concrete & steel and is directly
proportional to the distance from N.A.
 Concrete in the tension zone is neglected in the flexural analysis &
design computation
 Maximum concrete strain = 0.003 (in compression)
13
εc=0.003
εs = fy / Es
h d
c
0.85fc’
a a/2
d-a/2
b
C
T
RC BEAM BEHAVIOR
 Assume that a small transverse load is placed on a
concrete beam with tensile reinforcing and that load is
gradually increased in magnitude until the beam
fails. As this happen the beam will go through three
behavior stages before collapse:
1. Uncracked Concrete Stage
2. Concrete Cracked–Elastic Stresses Stage
3. Beam Failure—Ultimate-Strength Stage
14
RC BEAM BEHAVIOR
15
16
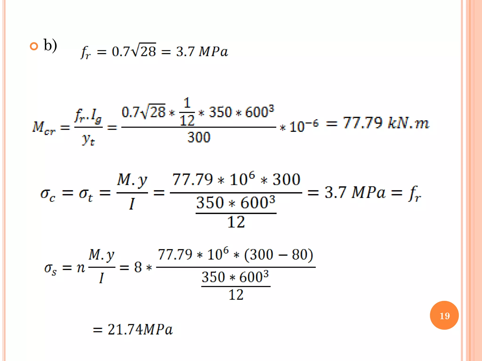
Cracking Moment
 For the beam cross section shown, Assuming the concrete is
uncracked, and neglecting tension steel; Calculate
i. the concrete stress on the compression face,
ii. the concrete stress on the tension face,
iii. and the steel stress in tension.
(fc’ = 28 MPa , normal weight concrete,
a) For bending moment of 70 kN.m
b) For the Cracking bending moment.
EXAMPLE
17
SOLUTION
 a)
18
19
 b)
RC BEAM BEHAVIOR
20
RC BEAM BEHAVIOR
21
c
a 1


FLEXURE EQUATIONS
22
bd
As


23
Strain
EXAMPLE
 Determine nominal moment capacity and design
(ultimate) moment capacity of R.C. rectangular
section.
Given: fc’ = 35 MPa
fy= 400 MPa
b = 350 mm
d = 550 mm
As = 4 ø 32; Area = 3217 mm2
24
SOLUTION
 Assume stress in steel reaches yield stress :
T=C
3217 (400) = 0.85 (35)(350)x a
Get a= 123.6 mm a/2 = 61.8 mm
Mn = 1286.8 (550-61.8) x 10-3 = 628.216 kN.m
Check if steel has yielded
β1 = 0.85 – (35-28)(0.05)/7=0.8
c = a/ β1 = 123.6/0.8 =154.5 mm
25
SOLUTION (CONT’)
 From strain distribution,
εs = 0.00768 > εy
Knowing that εy = fy / Es = 400 /200,000 =0.002
So assumption is acceptable;
Mn = 628.216 kN.m
Mu = øMn = 0.9(628.216) kN.m = 565.4 kN.m
26
THE BALANCED SECTION
27
εc=0.003
εs = fy / Es
h d
c
0.85fc’
a a/2
d-a/2
b
C
T
ACI 10.3.2 — Balanced strain conditions exist at a
cross section when tension reinforcement reaches the
strain corresponding to fy just as concrete in
compression reaches its assumed ultimate strain
of 0.003.
THE BALANCED SECTION
28
εc=0.003
εs = fy / Es
h d
c
0.85fc’
a a/2
d-a/2
b
C
T
c
a 1

 bd
As


MAXIMUM RATIO OF STEEL
(FOR ϵT =0.004, Φ = 0.817)
 ACI code limits the maximum ratio of steel
 If we use compression block depth,
29
 If (under-reinforced) (ductile failure)
30
 If (over-reinforced) (brittle failure)
In this case, we have 2 unknowns : fs , a
Solution of this equation will be done by
trial and error; or by quadratic
equation in term of c.
 ACI code recommends to use ρmax .
31
TENSION CONTROLLED SECTION
(FOR ϵT =0.005, Φ = 0.9)
 ACI code limits the maximum ratio of steel
 If we use compression block depth,
32
EXAMPLE
 Determine ultimate Moment Capacity of
R.C. rectangular section.
Given: fc’ = 25 MPa
fy= 280 MPa
b = 200 mm
d = 300 mm
If
a) As = 4 ø 18 mm;
b) As = 4 ø 22 mm(HW)
c) As = 4 ø 25 mm
d) As = 4 ø 28 mm(HW)
33
34
35
36
MINIMUM RATIO OF STEEL
37
CONCRETE DIMENSIONS AND REINFORCEMENT
DESIGN
38
d
b
As .
.


EXAMPLE
 Find the concrete cross section and the
steel area required for a simply supported
rectangular beam with a span of 4.5 m
that to carry a service dead load of
20kN/m and service live load of 31kN/m ,
material strength are fc’ = 28MPa and
fy=420 MPa ?
 Solution:
39
EXAMPLE (CONT’)
 If we want to minimize the concrete section, it is
desirable to use
40
EXAMPLE (CONT’)
41
 Use b = 250 mm then d =342 mm
or
Use b = 200 mm then d = 383mm
Selection of any alternative
is the designer option
EXAMPLE (CONT’)
42
 If we select b = 250 mm and d =342 mm
 Assuming 65 mm concrete cover
 h= d+cover = 342+65=407 mm
 h and b are often rounded up to the
nearest multiple of 50 mm.
 Use h=450 mm
 The actual d = h – cover = 450-65=385 mm
EXAMPLE (CONT’)
 Required As based on the selected dimensions :
43
For Mu = 186.3 *10^6 N.mm, fc’ = 28 MPa , fy = 420 MPa
b= 250 mm , d= 385 mm , Ф =0.9 (to be checked)
ρ = 0.015398 , check
As = ρ b d =1482 mm2
44
Select diameter &
no. of bars to have
As >1482 mm2
Use 4 Ф 22 mm
EXAMPLE (CONT’)
 Use 4 Ф 22 mm ….As provided = 1521 mm2
 Check spacing of bars : it is required that :
…………………………………………………………….
45
107.4 mm
=107.4 mm / 0.85 =126.4 mm
EXAMPLE (CONT’)
46
The Previous
calculations assuming
ø=0.9 are correct
EXAMPLE (CONT’)
47
Mu = 190.48 kN.m > 186.3 kN.m
……...ok
EXAMPLE (CONT’)
 A more economical and practical design can be
obtained using
HW : Redesign the previous
beam using
48
EXAMPLE
 For concrete section of b= 250 mm, d=435 mm
and h=500mm, find the steel area required to
resist Mu = 150 kN.m, , material properties are
fc’ = 28MPa and fy=420 MPa ?
Solution:
.
49
EXAMPLE (CONT’)
50
ρ = 0.00913 , check
As = ρ b d = 992.6 mm2
For Mu = 150 *10^6 N.mm, fc’ = 28 MPa , fy = 420 MPa
b= 250 mm , d= 435 mm , Ф =0.9 (to be checked)
EXAMPLE (CONT’)
51
Select diameter & no. of bars to have As >992.6mm2
Use 4 Ф 18mm …..As provided =1018 mm2
…………………………………………………………….
71.86 mm
= 71.86 mm / 0.85 =84.54 mm
EXAMPLE (CONT’)
52
The Previous
calculations assuming
ø=0.9 are correct
Mu = 153.56 kN.m > 150 kN.m ……...ok
PRACTICAL CONSIDERATION (COVER)
53
PRACTICAL CONSIDERATION (DIMENSIONING)
 h and b are almost rounded up to the nearest
multiple of 25 mm, and often to the next multiple
of 50 mm.
 b and d are economically and practically chosen
with
d = (2 to 3)*b.
54
PRACTICAL CONSIDERATION (BAR SPACING)
55
EXAMPLE
 Determine the nominal moment strength Mn,
if fc’=28MPa and fy = 420 MPa.
56
HW
 Determine the nominal moment strength Mn, if
fc’=30 MPa and fy = 350 MPa.
57
EXAMPLE
 Determine the nominal flexural strength Mn and
the design flexural strength φMn for the shown
beam section. fc‘ =21 MPa fy = 420 MPa.
58
EXAMPLE
 Determine the nominal flexural strength Mn and
the design flexural strength φMn for the shown
beam section. fc‘ =28 Mpa fy = 420 MPa.
59
EXAMPLE
 Design the shown cantilevered beam , fc’=28MPa
and fy = 420 MPa. Use ρ ≈ 0.5 ρmax
60

Ch 3-a.pdf

  • 1.
    REINFORCED CONCRETE (1) (CE411) Chapter3-a Flexural Analysis and Design of Beams Instructor: Eng. Abdallah Odeibat Civil Engineer, Structures , M.Sc. 1
  • 2.
  • 3.
  • 4.
  • 5.
  • 6.
    TYPICAL SINGLY REINFORCEDCONCRETE RECTANGULAR BEAM 6
  • 7.
  • 8.
  • 9.
  • 10.
  • 11.
  • 12.
    FLEXURAL STRESS 12 The beamis a structural member used to support the internal moments and shears. It would be called a beam- column if a compressive force existed. C = T M = C*(jd) = T*(jd)
  • 13.
    ASSUMPTIONS  Plane sectionsbefore bending remain plane under load  Strain distribution is linear in both concrete & steel and is directly proportional to the distance from N.A.  Concrete in the tension zone is neglected in the flexural analysis & design computation  Maximum concrete strain = 0.003 (in compression) 13 εc=0.003 εs = fy / Es h d c 0.85fc’ a a/2 d-a/2 b C T
  • 14.
    RC BEAM BEHAVIOR Assume that a small transverse load is placed on a concrete beam with tensile reinforcing and that load is gradually increased in magnitude until the beam fails. As this happen the beam will go through three behavior stages before collapse: 1. Uncracked Concrete Stage 2. Concrete Cracked–Elastic Stresses Stage 3. Beam Failure—Ultimate-Strength Stage 14
  • 15.
  • 16.
  • 17.
     For thebeam cross section shown, Assuming the concrete is uncracked, and neglecting tension steel; Calculate i. the concrete stress on the compression face, ii. the concrete stress on the tension face, iii. and the steel stress in tension. (fc’ = 28 MPa , normal weight concrete, a) For bending moment of 70 kN.m b) For the Cracking bending moment. EXAMPLE 17
  • 18.
  • 19.
  • 20.
  • 21.
  • 22.
  • 23.
  • 24.
    EXAMPLE  Determine nominalmoment capacity and design (ultimate) moment capacity of R.C. rectangular section. Given: fc’ = 35 MPa fy= 400 MPa b = 350 mm d = 550 mm As = 4 ø 32; Area = 3217 mm2 24
  • 25.
    SOLUTION  Assume stressin steel reaches yield stress : T=C 3217 (400) = 0.85 (35)(350)x a Get a= 123.6 mm a/2 = 61.8 mm Mn = 1286.8 (550-61.8) x 10-3 = 628.216 kN.m Check if steel has yielded β1 = 0.85 – (35-28)(0.05)/7=0.8 c = a/ β1 = 123.6/0.8 =154.5 mm 25
  • 26.
    SOLUTION (CONT’)  Fromstrain distribution, εs = 0.00768 > εy Knowing that εy = fy / Es = 400 /200,000 =0.002 So assumption is acceptable; Mn = 628.216 kN.m Mu = øMn = 0.9(628.216) kN.m = 565.4 kN.m 26
  • 27.
    THE BALANCED SECTION 27 εc=0.003 εs= fy / Es h d c 0.85fc’ a a/2 d-a/2 b C T ACI 10.3.2 — Balanced strain conditions exist at a cross section when tension reinforcement reaches the strain corresponding to fy just as concrete in compression reaches its assumed ultimate strain of 0.003.
  • 28.
    THE BALANCED SECTION 28 εc=0.003 εs= fy / Es h d c 0.85fc’ a a/2 d-a/2 b C T c a 1   bd As  
  • 29.
    MAXIMUM RATIO OFSTEEL (FOR ϵT =0.004, Φ = 0.817)  ACI code limits the maximum ratio of steel  If we use compression block depth, 29
  • 30.
     If (under-reinforced)(ductile failure) 30
  • 31.
     If (over-reinforced)(brittle failure) In this case, we have 2 unknowns : fs , a Solution of this equation will be done by trial and error; or by quadratic equation in term of c.  ACI code recommends to use ρmax . 31
  • 32.
    TENSION CONTROLLED SECTION (FORϵT =0.005, Φ = 0.9)  ACI code limits the maximum ratio of steel  If we use compression block depth, 32
  • 33.
    EXAMPLE  Determine ultimateMoment Capacity of R.C. rectangular section. Given: fc’ = 25 MPa fy= 280 MPa b = 200 mm d = 300 mm If a) As = 4 ø 18 mm; b) As = 4 ø 22 mm(HW) c) As = 4 ø 25 mm d) As = 4 ø 28 mm(HW) 33
  • 34.
  • 35.
  • 36.
  • 37.
  • 38.
    CONCRETE DIMENSIONS ANDREINFORCEMENT DESIGN 38 d b As . .  
  • 39.
    EXAMPLE  Find theconcrete cross section and the steel area required for a simply supported rectangular beam with a span of 4.5 m that to carry a service dead load of 20kN/m and service live load of 31kN/m , material strength are fc’ = 28MPa and fy=420 MPa ?  Solution: 39
  • 40.
    EXAMPLE (CONT’)  Ifwe want to minimize the concrete section, it is desirable to use 40
  • 41.
    EXAMPLE (CONT’) 41  Useb = 250 mm then d =342 mm or Use b = 200 mm then d = 383mm Selection of any alternative is the designer option
  • 42.
    EXAMPLE (CONT’) 42  Ifwe select b = 250 mm and d =342 mm  Assuming 65 mm concrete cover  h= d+cover = 342+65=407 mm  h and b are often rounded up to the nearest multiple of 50 mm.  Use h=450 mm  The actual d = h – cover = 450-65=385 mm
  • 43.
    EXAMPLE (CONT’)  RequiredAs based on the selected dimensions : 43 For Mu = 186.3 *10^6 N.mm, fc’ = 28 MPa , fy = 420 MPa b= 250 mm , d= 385 mm , Ф =0.9 (to be checked) ρ = 0.015398 , check As = ρ b d =1482 mm2
  • 44.
    44 Select diameter & no.of bars to have As >1482 mm2 Use 4 Ф 22 mm
  • 45.
    EXAMPLE (CONT’)  Use4 Ф 22 mm ….As provided = 1521 mm2  Check spacing of bars : it is required that : ……………………………………………………………. 45 107.4 mm =107.4 mm / 0.85 =126.4 mm
  • 46.
  • 47.
    EXAMPLE (CONT’) 47 Mu =190.48 kN.m > 186.3 kN.m ……...ok
  • 48.
    EXAMPLE (CONT’)  Amore economical and practical design can be obtained using HW : Redesign the previous beam using 48
  • 49.
    EXAMPLE  For concretesection of b= 250 mm, d=435 mm and h=500mm, find the steel area required to resist Mu = 150 kN.m, , material properties are fc’ = 28MPa and fy=420 MPa ? Solution: . 49
  • 50.
    EXAMPLE (CONT’) 50 ρ =0.00913 , check As = ρ b d = 992.6 mm2 For Mu = 150 *10^6 N.mm, fc’ = 28 MPa , fy = 420 MPa b= 250 mm , d= 435 mm , Ф =0.9 (to be checked)
  • 51.
    EXAMPLE (CONT’) 51 Select diameter& no. of bars to have As >992.6mm2 Use 4 Ф 18mm …..As provided =1018 mm2 ……………………………………………………………. 71.86 mm = 71.86 mm / 0.85 =84.54 mm
  • 52.
    EXAMPLE (CONT’) 52 The Previous calculationsassuming ø=0.9 are correct Mu = 153.56 kN.m > 150 kN.m ……...ok
  • 53.
  • 54.
    PRACTICAL CONSIDERATION (DIMENSIONING) h and b are almost rounded up to the nearest multiple of 25 mm, and often to the next multiple of 50 mm.  b and d are economically and practically chosen with d = (2 to 3)*b. 54
  • 55.
  • 56.
    EXAMPLE  Determine thenominal moment strength Mn, if fc’=28MPa and fy = 420 MPa. 56
  • 57.
    HW  Determine thenominal moment strength Mn, if fc’=30 MPa and fy = 350 MPa. 57
  • 58.
    EXAMPLE  Determine thenominal flexural strength Mn and the design flexural strength φMn for the shown beam section. fc‘ =21 MPa fy = 420 MPa. 58
  • 59.
    EXAMPLE  Determine thenominal flexural strength Mn and the design flexural strength φMn for the shown beam section. fc‘ =28 Mpa fy = 420 MPa. 59
  • 60.
    EXAMPLE  Design theshown cantilevered beam , fc’=28MPa and fy = 420 MPa. Use ρ ≈ 0.5 ρmax 60