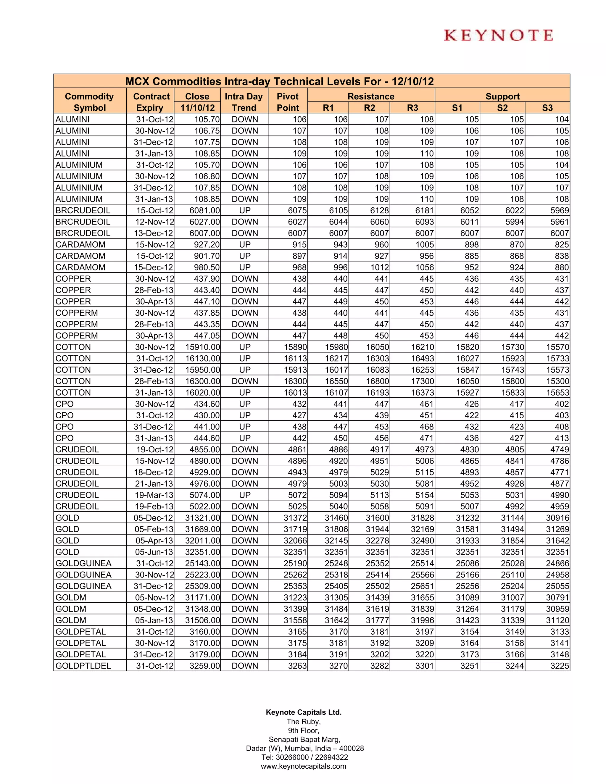
MCX Commodities Intra-day Technical Levels For - 12/10/12
 Commodity    Contract      Close      Intra Day    Pivot               Resistance                      Support
  Symbol      Expiry       11/10/12      Trend      Point        R1        R2           R3      S1        S2       S3
ALUMINI        31-Oct-12      105.70    DOWN            106         106           107     108     105        105     104
ALUMINI       30-Nov-12       106.75    DOWN            107         107           108     109     106        106     105
ALUMINI       31-Dec-12       107.75    DOWN            108         108           109     109     107        107     106
ALUMINI       31-Jan-13       108.85    DOWN            109         109           109     110     109        108     108
ALUMINIUM      31-Oct-12      105.70    DOWN            106         106           107     108     105        105     104
ALUMINIUM     30-Nov-12       106.80    DOWN            107         107           108     109     106        106     105
ALUMINIUM     31-Dec-12       107.85    DOWN            108         108           109     109     108        107     107
ALUMINIUM     31-Jan-13       108.85    DOWN            109         109           109     110     109        108     108
BRCRUDEOIL     15-Oct-12     6081.00     UP            6075        6105          6128    6181    6052       6022    5969
BRCRUDEOIL    12-Nov-12      6027.00    DOWN           6027        6044          6060    6093    6011       5994    5961
BRCRUDEOIL    13-Dec-12      6007.00    DOWN           6007        6007          6007    6007    6007       6007    6007
CARDAMOM      15-Nov-12       927.20     UP             915         943           960    1005     898        870     825
CARDAMOM       15-Oct-12      901.70     UP             897         914           927     956     885        868     838
CARDAMOM      15-Dec-12       980.50     UP             968         996          1012    1056     952        924     880
COPPER        30-Nov-12       437.90    DOWN            438         440           441     445     436        435     431
COPPER        28-Feb-13       443.40    DOWN            444         445           447     450     442        440     437
COPPER        30-Apr-13       447.10    DOWN            447         449           450     453     446        444     442
COPPERM       30-Nov-12       437.85    DOWN            438         440           441     445     436        435     431
COPPERM       28-Feb-13       443.35    DOWN            444         445           447     450     442        440     437
COPPERM       30-Apr-13       447.05    DOWN            447         448           450     453     446        444     442
COTTON        30-Nov-12     15910.00     UP           15890       15980         16050   16210   15820      15730   15570
COTTON         31-Oct-12    16130.00     UP           16113       16217         16303   16493   16027      15923   15733
COTTON        31-Dec-12     15950.00     UP           15913       16017         16083   16253   15847      15743   15573
COTTON        28-Feb-13     16300.00    DOWN          16300       16550         16800   17300   16050      15800   15300
COTTON        31-Jan-13     16020.00     UP           16013       16107         16193   16373   15927      15833   15653
CPO           30-Nov-12       434.60     UP             432         441           447     461     426        417     402
CPO            31-Oct-12      430.00     UP             427         434           439     451     422        415     403
CPO           31-Dec-12       441.00     UP             438         447           453     468     432        423     408
CPO           31-Jan-13       444.60     UP             442         450           456     471     436        427     413
CRUDEOIL       19-Oct-12     4855.00    DOWN           4861        4886          4917    4973    4830       4805    4749
CRUDEOIL      15-Nov-12      4890.00    DOWN           4896        4920          4951    5006    4865       4841    4786
CRUDEOIL      18-Dec-12      4929.00    DOWN           4943        4979          5029    5115    4893       4857    4771
CRUDEOIL      21-Jan-13      4976.00    DOWN           4979        5003          5030    5081    4952       4928    4877
CRUDEOIL      19-Mar-13      5074.00     UP            5072        5094          5113    5154    5053       5031    4990
CRUDEOIL      19-Feb-13      5022.00    DOWN           5025        5040          5058    5091    5007       4992    4959
GOLD          05-Dec-12     31321.00    DOWN          31372       31460         31600   31828   31232      31144   30916
GOLD          05-Feb-13     31669.00    DOWN          31719       31806         31944   32169   31581      31494   31269
GOLD          05-Apr-13     32011.00    DOWN          32066       32145         32278   32490   31933      31854   31642
GOLD          05-Jun-13     32351.00    DOWN          32351       32351         32351   32351   32351      32351   32351
GOLDGUINEA     31-Oct-12    25143.00    DOWN          25190       25248         25352   25514   25086      25028   24866
GOLDGUINEA    30-Nov-12     25223.00    DOWN          25262       25318         25414   25566   25166      25110   24958
GOLDGUINEA    31-Dec-12     25309.00    DOWN          25353       25405         25502   25651   25256      25204   25055
GOLDM         05-Nov-12     31171.00    DOWN          31223       31305         31439   31655   31089      31007   30791
GOLDM         05-Dec-12     31348.00    DOWN          31399       31484         31619   31839   31264      31179   30959
GOLDM         05-Jan-13     31506.00    DOWN          31558       31642         31777   31996   31423      31339   31120
GOLDPETAL      31-Oct-12     3160.00    DOWN           3165        3170          3181    3197    3154       3149    3133
GOLDPETAL     30-Nov-12      3170.00    DOWN           3175        3181          3192    3209    3164       3158    3141
GOLDPETAL     31-Dec-12      3179.00    DOWN           3184        3191          3202    3220    3173       3166    3148
GOLDPTLDEL     31-Oct-12     3259.00    DOWN           3263        3270          3282    3301    3251       3244    3225




                                                 Keynote Capitals Ltd.
                                                       The Ruby,
                                                        9th Floor,
                                                  Senapati Bapat Marg,
                                            Dadar (W), Mumbai, India – 400028
                                               Tel: 30266000 / 22694322
                                               www.keynotecapitals.com
MCX Commodities Intra-day Technical Levels For - 12/10/12
 Commodity    Contract      Close      Intra Day    Pivot               Resistance                      Support
  Symbol      Expiry       11/10/12      Trend      Point        R1        R2           R3      S1        S2       S3
GOLDPTLDEL    30-Nov-12      3205.00    DOWN           3205       3219           3232    3259    3192       3178    3151
GOLDPTLDEL    31-Dec-12      3209.00    DOWN           3214       3234           3259    3304    3189       3169    3124
KAPAS          30-Apr-13      942.80     UP             941        950            957     973     934        925     909
KAPAS         30-Mar-13       915.50     UP             915        922            928     942     909        902     888
KAPASKHALI    31-Dec-12      1429.00     UP            1428       1448           1468    1508    1408       1388    1348
KAPASKHALI    31-Jan-13      1441.50     UP            1440       1460           1479    1518    1421       1401    1362
KAPASKHALI    28-Feb-13      1469.50     UP            1463       1484           1499    1535    1448       1427    1391
KAPASKHALI    30-Mar-13      1484.00    DOWN           1485       1489           1494    1504    1480       1475    1466
LEAD           31-Oct-12      114.90    DOWN            115        116            118     120     114        113     111
LEAD          30-Nov-12       115.15    DOWN            116        116            118     120     114        114     112
LEAD          31-Dec-12       115.50    DOWN            116        117            118     120     115        114     112
LEAD          31-Jan-13       115.95    DOWN            116        117            117     119     115        115     113
LEADMINI       31-Oct-12      114.90    DOWN            115        116            118     120     114        113     111
LEADMINI      30-Nov-12       115.15    DOWN            116        116            118     120     114        114     112
LEADMINI      31-Dec-12       115.45    DOWN            116        117            118     120     115        114     112
LEADMINI      31-Jan-13       115.60    DOWN            116        117            118     120     115        114     113
MENTHAOIL      31-Oct-12     1153.50    DOWN           1158       1168           1183    1208    1143       1133    1109
MENTHAOIL     30-Nov-12      1169.10    DOWN           1174       1184           1198    1223    1159       1149    1124
MENTHAOIL     31-Dec-12      1182.00    DOWN           1188       1195           1209    1230    1174       1166    1145
MENTHAOIL     31-Jan-13      1196.90    DOWN           1199       1206           1215    1231    1190       1182    1166
NATURALGAS     26-Oct-12      189.60     UP             188        193            196     204     185        180     172
NATURALGAS    27-Nov-12       205.30     UP             204        208            211     218     201        197     190
NATURALGAS    26-Dec-12       212.60     UP             211        215            218     224     209        205     199
NICKEL         31-Oct-12      932.40    DOWN            935        942            952     969     925        918     901
NICKEL        30-Nov-12       940.40    DOWN            942        949            958     974     933        926     910
NICKEL        31-Dec-12       947.00    DOWN            949        956            965     980     940        934     918
NICKEL        31-Jan-13       953.00    DOWN            954        958            963     973     949        945     936
NICKELM        31-Oct-12      932.50    DOWN            935        942            952     968     925        918     901
NICKELM       30-Nov-12       939.90    DOWN            942        949            958     974     933        926     910
NICKELM       31-Dec-12       947.00    DOWN            949        955            963     978     941        934     920
NICKELM       31-Jan-13       953.00    DOWN            954        959            964     974     948        944     933
POTATO        15-Mar-13       732.80     UP             730        739            745     759     724        716     702
POTATO         15-Apr-13      696.10    DOWN            696        702            707     718     691        686     675
POTATO         15-Oct-12      764.80     UP             748        782            799     851     730        696     645
POTATOTRWR     15-Oct-12      888.60    DOWN            895        914            940     985     869        850     805
SILVER        05-Dec-12     61778.00    DOWN          61950      62170          62561   63172   61559      61339   60728
SILVER        05-Mar-13     63481.00    DOWN          63659      63864          64246   64833   63277      63072   62485
SILVER        04-May-13     65251.00     UP           65242      65499          65747   66252   64994      64737   64232
SILVER1000    30-Nov-12     61835.00    DOWN          61966      62170          62504   63042   61632      61428   60890
SILVER1000     31-Oct-12    61271.00    DOWN          61507      61913          62556   63605   60864      60458   59409
SILVERM       30-Nov-12     61796.00    DOWN          61969      62186          62577   63185   61578      61361   60753
SILVERM       28-Feb-13     63514.00    DOWN          63692      63917          64319   64946   63290      63065   62438
SILVERM        30-Apr-13    65019.00    DOWN          65191      65383          65746   66301   64828      64636   64081
SILVERMIC     30-Nov-12     61797.00    DOWN          61972      62183          62570   63168   61585      61374   60776
SILVERMIC     28-Feb-13     63517.00    DOWN          63687      63890          64262   64837   63315      63112   62537
SILVERMIC      30-Apr-13    65045.00    DOWN          65200      65400          65755   66310   64845      64645   64090




                                                 Keynote Capitals Ltd.
                                                       The Ruby,
                                                        9th Floor,
                                                  Senapati Bapat Marg,
                                            Dadar (W), Mumbai, India – 400028
                                               Tel: 30266000 / 22694322
                                               www.keynotecapitals.com
MCX Commodities Intra-day Technical Levels For - 12/10/12
   Commodity             Contract        Close         Intra Day        Pivot                  Resistance                                   Support
    Symbol               Expiry         11/10/12         Trend          Point          R1         R2              R3             S1           S2                 S3
ZINC                      31-Oct-12          102.65      DOWN                103          104           105            107            102          101                 99
ZINC                     30-Nov-12           103.80      DOWN                104          105           106            108            103          102                101
ZINC                     31-Dec-12           104.85      DOWN                105          106           107            108            104          104                102
ZINC                     31-Jan-13           106.15      DOWN                106          107           107            108            106          105                104
ZINCMINI                  31-Oct-12          102.65      DOWN                103          104           105            107            102          101                 99
ZINCMINI                 30-Nov-12           103.85      DOWN                104          105           106            108            103          102                100
ZINCMINI                 31-Dec-12           104.70      DOWN                105          106           107            109            104          103                102
ZINCMINI                 31-Jan-13           105.80      DOWN                106          107           108            109            105          104                103

Sanjay Bhatia (AVP – Technical Research),
                                        Email Id sanjay@keynotecapitals.net

Pivot Point: Intra- Day Trading Tool. - The key to the use of this tool is the use of Stop Loss

 Intra Day Trend: It is valid only till the point where Price trades above Pivot Point. For Eg. “UP” would be valid till Price
remains above Pivot Point. It would become “DOWN” in event Price trades below Pivot Point.

Pivot Point (PP): This is a trigger point for Intra Day Buy / Sell based on the price range of the previous day.

R1: Resistance 1: 1st Resistance level over Pivot Point, R2: Resistance 2: Next Resistance level after R1.
R3: Resistance 3: Next Resistance level after R2.

S1: Support 1: 1st Support level after Pivot Point, S2: Support 2: Next Support level after S1.
S3: Support 3: Next Support level after S2.

Note: As per this tool, the trader should take BUY position just above the Pivot Point and keep the Pivot Point level as stop
loss and the first target would be R1 level (Resistance 1). If R1 is crossed then R2 (Resistance 2) becomes the next target
with the stop loss placed at R1 level. If R2 is crossed then R3 (Resistance 3) becomes the next target with the stop loss
placed at R2 level.

Similarly if price goes below the Pivot Point the trader should take a SELL position and keep the Pivot Point level as the
stop loss and the first target would be S1 level (Support 1). If S1 level is breached then S2 level (Support 2) becomes the
next target with the stop loss placed at S1 level. If S2 level is breached then S3 level (Support 3) becomes the next target
with the stop loss placed at S2 level.
Disclaimer: This document is not for public distribution and has been furnished to you solely for your information and must not be reproduced or
redistributed to any other person. Persons into whose possession this document may come are required to observe these restrictions. This material is
for the personal information of the authorized recipient, and we are not soliciting any action based upon it. This report is not to be construed as an offer
to sell or the solicitation of an offer to buy any security in any jurisdiction where such an offer or solicitation would be illegal. It is for the general
information of clients of Keynote Capitals Ltd. It does not constitute a personal recommendation or take into account the particular investment
objectives, financial situations, or needs of individual clients. We have reviewed the report, and in so far as it includes current or historical information,
it is believed to be reliable though its accuracy or completeness cannot be guaranteed. Neither Keynote Capitals Ltd., nor any person connected with
it, accepts any liability arising from the use of this document. The recipients of this material should rely on their own investigations and take their own
professional advice. Price and value of the investments referred to in this material may go up or down. Past performance is not a guide for future
performance. Certain transactions -including those involving futures, options and other derivatives as well as non-investment grade securities - involve
substantial risk and are not suitable for all investors. Reports based on technical analysis centers on studying charts of a stock’s price movement and
trading volume, as opposed to focusing on a company’s fundamentals and as such, may not match with a report on a company’s fundamentals.
Opinions expressed are our current opinions as of the date appearing on this material only. While we endeavor to update on a reasonable basis the
information discussed in this material, there may be regulatory, compliance, or other reasons that prevent us from doing so. Prospective investors and
others are cautioned that any forward-looking statements are not predictions and may be subject to change without notice. Our proprietary trading and
investment businesses may make investment decisions that are inconsistent with the recommendations expressed herein. We and our affiliates,
officers, directors, and employees world wide may: (a) from time to time, have long or short positions in, and buy or sell the securities thereof, of
company (ies) mentioned herein or (b) be engaged in any other transaction involving such securities and earn brokerage or other compensation or act
as a market maker in the financial instruments of the company (ies) discussed herein or act as advisor or lender / borrower to such company (ies) or
have other potential conflict of interest with respect to any recommendation and related information and opinions. The analyst for this report certifies
that all of the views expressed in this report accurately reflect his or her personal views about the subject company or companies and its or their
securities, and no part of his or her compensation was, is or will be, directly or indirectly related to specific recommendations or views expressed in this
report. No part of this material may be duplicated in any form and/or redistributed without Keynote Capitals Ltd’s., prior written consent.




                                                                   Keynote Capitals Ltd.
                                                                         The Ruby,
                                                                          9th Floor,
                                                                    Senapati Bapat Marg,
                                                              Dadar (W), Mumbai, India – 400028
                                                                 Tel: 30266000 / 22694322
                                                                 www.keynotecapitals.com

Keynote technicals commodity intraday levels

  • 1.
    MCX Commodities Intra-dayTechnical Levels For - 12/10/12 Commodity Contract Close Intra Day Pivot Resistance Support Symbol Expiry 11/10/12 Trend Point R1 R2 R3 S1 S2 S3 ALUMINI 31-Oct-12 105.70 DOWN 106 106 107 108 105 105 104 ALUMINI 30-Nov-12 106.75 DOWN 107 107 108 109 106 106 105 ALUMINI 31-Dec-12 107.75 DOWN 108 108 109 109 107 107 106 ALUMINI 31-Jan-13 108.85 DOWN 109 109 109 110 109 108 108 ALUMINIUM 31-Oct-12 105.70 DOWN 106 106 107 108 105 105 104 ALUMINIUM 30-Nov-12 106.80 DOWN 107 107 108 109 106 106 105 ALUMINIUM 31-Dec-12 107.85 DOWN 108 108 109 109 108 107 107 ALUMINIUM 31-Jan-13 108.85 DOWN 109 109 109 110 109 108 108 BRCRUDEOIL 15-Oct-12 6081.00 UP 6075 6105 6128 6181 6052 6022 5969 BRCRUDEOIL 12-Nov-12 6027.00 DOWN 6027 6044 6060 6093 6011 5994 5961 BRCRUDEOIL 13-Dec-12 6007.00 DOWN 6007 6007 6007 6007 6007 6007 6007 CARDAMOM 15-Nov-12 927.20 UP 915 943 960 1005 898 870 825 CARDAMOM 15-Oct-12 901.70 UP 897 914 927 956 885 868 838 CARDAMOM 15-Dec-12 980.50 UP 968 996 1012 1056 952 924 880 COPPER 30-Nov-12 437.90 DOWN 438 440 441 445 436 435 431 COPPER 28-Feb-13 443.40 DOWN 444 445 447 450 442 440 437 COPPER 30-Apr-13 447.10 DOWN 447 449 450 453 446 444 442 COPPERM 30-Nov-12 437.85 DOWN 438 440 441 445 436 435 431 COPPERM 28-Feb-13 443.35 DOWN 444 445 447 450 442 440 437 COPPERM 30-Apr-13 447.05 DOWN 447 448 450 453 446 444 442 COTTON 30-Nov-12 15910.00 UP 15890 15980 16050 16210 15820 15730 15570 COTTON 31-Oct-12 16130.00 UP 16113 16217 16303 16493 16027 15923 15733 COTTON 31-Dec-12 15950.00 UP 15913 16017 16083 16253 15847 15743 15573 COTTON 28-Feb-13 16300.00 DOWN 16300 16550 16800 17300 16050 15800 15300 COTTON 31-Jan-13 16020.00 UP 16013 16107 16193 16373 15927 15833 15653 CPO 30-Nov-12 434.60 UP 432 441 447 461 426 417 402 CPO 31-Oct-12 430.00 UP 427 434 439 451 422 415 403 CPO 31-Dec-12 441.00 UP 438 447 453 468 432 423 408 CPO 31-Jan-13 444.60 UP 442 450 456 471 436 427 413 CRUDEOIL 19-Oct-12 4855.00 DOWN 4861 4886 4917 4973 4830 4805 4749 CRUDEOIL 15-Nov-12 4890.00 DOWN 4896 4920 4951 5006 4865 4841 4786 CRUDEOIL 18-Dec-12 4929.00 DOWN 4943 4979 5029 5115 4893 4857 4771 CRUDEOIL 21-Jan-13 4976.00 DOWN 4979 5003 5030 5081 4952 4928 4877 CRUDEOIL 19-Mar-13 5074.00 UP 5072 5094 5113 5154 5053 5031 4990 CRUDEOIL 19-Feb-13 5022.00 DOWN 5025 5040 5058 5091 5007 4992 4959 GOLD 05-Dec-12 31321.00 DOWN 31372 31460 31600 31828 31232 31144 30916 GOLD 05-Feb-13 31669.00 DOWN 31719 31806 31944 32169 31581 31494 31269 GOLD 05-Apr-13 32011.00 DOWN 32066 32145 32278 32490 31933 31854 31642 GOLD 05-Jun-13 32351.00 DOWN 32351 32351 32351 32351 32351 32351 32351 GOLDGUINEA 31-Oct-12 25143.00 DOWN 25190 25248 25352 25514 25086 25028 24866 GOLDGUINEA 30-Nov-12 25223.00 DOWN 25262 25318 25414 25566 25166 25110 24958 GOLDGUINEA 31-Dec-12 25309.00 DOWN 25353 25405 25502 25651 25256 25204 25055 GOLDM 05-Nov-12 31171.00 DOWN 31223 31305 31439 31655 31089 31007 30791 GOLDM 05-Dec-12 31348.00 DOWN 31399 31484 31619 31839 31264 31179 30959 GOLDM 05-Jan-13 31506.00 DOWN 31558 31642 31777 31996 31423 31339 31120 GOLDPETAL 31-Oct-12 3160.00 DOWN 3165 3170 3181 3197 3154 3149 3133 GOLDPETAL 30-Nov-12 3170.00 DOWN 3175 3181 3192 3209 3164 3158 3141 GOLDPETAL 31-Dec-12 3179.00 DOWN 3184 3191 3202 3220 3173 3166 3148 GOLDPTLDEL 31-Oct-12 3259.00 DOWN 3263 3270 3282 3301 3251 3244 3225 Keynote Capitals Ltd. The Ruby, 9th Floor, Senapati Bapat Marg, Dadar (W), Mumbai, India – 400028 Tel: 30266000 / 22694322 www.keynotecapitals.com
  • 2.
    MCX Commodities Intra-dayTechnical Levels For - 12/10/12 Commodity Contract Close Intra Day Pivot Resistance Support Symbol Expiry 11/10/12 Trend Point R1 R2 R3 S1 S2 S3 GOLDPTLDEL 30-Nov-12 3205.00 DOWN 3205 3219 3232 3259 3192 3178 3151 GOLDPTLDEL 31-Dec-12 3209.00 DOWN 3214 3234 3259 3304 3189 3169 3124 KAPAS 30-Apr-13 942.80 UP 941 950 957 973 934 925 909 KAPAS 30-Mar-13 915.50 UP 915 922 928 942 909 902 888 KAPASKHALI 31-Dec-12 1429.00 UP 1428 1448 1468 1508 1408 1388 1348 KAPASKHALI 31-Jan-13 1441.50 UP 1440 1460 1479 1518 1421 1401 1362 KAPASKHALI 28-Feb-13 1469.50 UP 1463 1484 1499 1535 1448 1427 1391 KAPASKHALI 30-Mar-13 1484.00 DOWN 1485 1489 1494 1504 1480 1475 1466 LEAD 31-Oct-12 114.90 DOWN 115 116 118 120 114 113 111 LEAD 30-Nov-12 115.15 DOWN 116 116 118 120 114 114 112 LEAD 31-Dec-12 115.50 DOWN 116 117 118 120 115 114 112 LEAD 31-Jan-13 115.95 DOWN 116 117 117 119 115 115 113 LEADMINI 31-Oct-12 114.90 DOWN 115 116 118 120 114 113 111 LEADMINI 30-Nov-12 115.15 DOWN 116 116 118 120 114 114 112 LEADMINI 31-Dec-12 115.45 DOWN 116 117 118 120 115 114 112 LEADMINI 31-Jan-13 115.60 DOWN 116 117 118 120 115 114 113 MENTHAOIL 31-Oct-12 1153.50 DOWN 1158 1168 1183 1208 1143 1133 1109 MENTHAOIL 30-Nov-12 1169.10 DOWN 1174 1184 1198 1223 1159 1149 1124 MENTHAOIL 31-Dec-12 1182.00 DOWN 1188 1195 1209 1230 1174 1166 1145 MENTHAOIL 31-Jan-13 1196.90 DOWN 1199 1206 1215 1231 1190 1182 1166 NATURALGAS 26-Oct-12 189.60 UP 188 193 196 204 185 180 172 NATURALGAS 27-Nov-12 205.30 UP 204 208 211 218 201 197 190 NATURALGAS 26-Dec-12 212.60 UP 211 215 218 224 209 205 199 NICKEL 31-Oct-12 932.40 DOWN 935 942 952 969 925 918 901 NICKEL 30-Nov-12 940.40 DOWN 942 949 958 974 933 926 910 NICKEL 31-Dec-12 947.00 DOWN 949 956 965 980 940 934 918 NICKEL 31-Jan-13 953.00 DOWN 954 958 963 973 949 945 936 NICKELM 31-Oct-12 932.50 DOWN 935 942 952 968 925 918 901 NICKELM 30-Nov-12 939.90 DOWN 942 949 958 974 933 926 910 NICKELM 31-Dec-12 947.00 DOWN 949 955 963 978 941 934 920 NICKELM 31-Jan-13 953.00 DOWN 954 959 964 974 948 944 933 POTATO 15-Mar-13 732.80 UP 730 739 745 759 724 716 702 POTATO 15-Apr-13 696.10 DOWN 696 702 707 718 691 686 675 POTATO 15-Oct-12 764.80 UP 748 782 799 851 730 696 645 POTATOTRWR 15-Oct-12 888.60 DOWN 895 914 940 985 869 850 805 SILVER 05-Dec-12 61778.00 DOWN 61950 62170 62561 63172 61559 61339 60728 SILVER 05-Mar-13 63481.00 DOWN 63659 63864 64246 64833 63277 63072 62485 SILVER 04-May-13 65251.00 UP 65242 65499 65747 66252 64994 64737 64232 SILVER1000 30-Nov-12 61835.00 DOWN 61966 62170 62504 63042 61632 61428 60890 SILVER1000 31-Oct-12 61271.00 DOWN 61507 61913 62556 63605 60864 60458 59409 SILVERM 30-Nov-12 61796.00 DOWN 61969 62186 62577 63185 61578 61361 60753 SILVERM 28-Feb-13 63514.00 DOWN 63692 63917 64319 64946 63290 63065 62438 SILVERM 30-Apr-13 65019.00 DOWN 65191 65383 65746 66301 64828 64636 64081 SILVERMIC 30-Nov-12 61797.00 DOWN 61972 62183 62570 63168 61585 61374 60776 SILVERMIC 28-Feb-13 63517.00 DOWN 63687 63890 64262 64837 63315 63112 62537 SILVERMIC 30-Apr-13 65045.00 DOWN 65200 65400 65755 66310 64845 64645 64090 Keynote Capitals Ltd. The Ruby, 9th Floor, Senapati Bapat Marg, Dadar (W), Mumbai, India – 400028 Tel: 30266000 / 22694322 www.keynotecapitals.com
  • 3.
    MCX Commodities Intra-dayTechnical Levels For - 12/10/12 Commodity Contract Close Intra Day Pivot Resistance Support Symbol Expiry 11/10/12 Trend Point R1 R2 R3 S1 S2 S3 ZINC 31-Oct-12 102.65 DOWN 103 104 105 107 102 101 99 ZINC 30-Nov-12 103.80 DOWN 104 105 106 108 103 102 101 ZINC 31-Dec-12 104.85 DOWN 105 106 107 108 104 104 102 ZINC 31-Jan-13 106.15 DOWN 106 107 107 108 106 105 104 ZINCMINI 31-Oct-12 102.65 DOWN 103 104 105 107 102 101 99 ZINCMINI 30-Nov-12 103.85 DOWN 104 105 106 108 103 102 100 ZINCMINI 31-Dec-12 104.70 DOWN 105 106 107 109 104 103 102 ZINCMINI 31-Jan-13 105.80 DOWN 106 107 108 109 105 104 103 Sanjay Bhatia (AVP – Technical Research), Email Id sanjay@keynotecapitals.net Pivot Point: Intra- Day Trading Tool. - The key to the use of this tool is the use of Stop Loss Intra Day Trend: It is valid only till the point where Price trades above Pivot Point. For Eg. “UP” would be valid till Price remains above Pivot Point. It would become “DOWN” in event Price trades below Pivot Point. Pivot Point (PP): This is a trigger point for Intra Day Buy / Sell based on the price range of the previous day. R1: Resistance 1: 1st Resistance level over Pivot Point, R2: Resistance 2: Next Resistance level after R1. R3: Resistance 3: Next Resistance level after R2. S1: Support 1: 1st Support level after Pivot Point, S2: Support 2: Next Support level after S1. S3: Support 3: Next Support level after S2. Note: As per this tool, the trader should take BUY position just above the Pivot Point and keep the Pivot Point level as stop loss and the first target would be R1 level (Resistance 1). If R1 is crossed then R2 (Resistance 2) becomes the next target with the stop loss placed at R1 level. If R2 is crossed then R3 (Resistance 3) becomes the next target with the stop loss placed at R2 level. Similarly if price goes below the Pivot Point the trader should take a SELL position and keep the Pivot Point level as the stop loss and the first target would be S1 level (Support 1). If S1 level is breached then S2 level (Support 2) becomes the next target with the stop loss placed at S1 level. If S2 level is breached then S3 level (Support 3) becomes the next target with the stop loss placed at S2 level. Disclaimer: This document is not for public distribution and has been furnished to you solely for your information and must not be reproduced or redistributed to any other person. Persons into whose possession this document may come are required to observe these restrictions. This material is for the personal information of the authorized recipient, and we are not soliciting any action based upon it. This report is not to be construed as an offer to sell or the solicitation of an offer to buy any security in any jurisdiction where such an offer or solicitation would be illegal. It is for the general information of clients of Keynote Capitals Ltd. It does not constitute a personal recommendation or take into account the particular investment objectives, financial situations, or needs of individual clients. We have reviewed the report, and in so far as it includes current or historical information, it is believed to be reliable though its accuracy or completeness cannot be guaranteed. Neither Keynote Capitals Ltd., nor any person connected with it, accepts any liability arising from the use of this document. The recipients of this material should rely on their own investigations and take their own professional advice. Price and value of the investments referred to in this material may go up or down. Past performance is not a guide for future performance. Certain transactions -including those involving futures, options and other derivatives as well as non-investment grade securities - involve substantial risk and are not suitable for all investors. Reports based on technical analysis centers on studying charts of a stock’s price movement and trading volume, as opposed to focusing on a company’s fundamentals and as such, may not match with a report on a company’s fundamentals. Opinions expressed are our current opinions as of the date appearing on this material only. While we endeavor to update on a reasonable basis the information discussed in this material, there may be regulatory, compliance, or other reasons that prevent us from doing so. Prospective investors and others are cautioned that any forward-looking statements are not predictions and may be subject to change without notice. Our proprietary trading and investment businesses may make investment decisions that are inconsistent with the recommendations expressed herein. We and our affiliates, officers, directors, and employees world wide may: (a) from time to time, have long or short positions in, and buy or sell the securities thereof, of company (ies) mentioned herein or (b) be engaged in any other transaction involving such securities and earn brokerage or other compensation or act as a market maker in the financial instruments of the company (ies) discussed herein or act as advisor or lender / borrower to such company (ies) or have other potential conflict of interest with respect to any recommendation and related information and opinions. The analyst for this report certifies that all of the views expressed in this report accurately reflect his or her personal views about the subject company or companies and its or their securities, and no part of his or her compensation was, is or will be, directly or indirectly related to specific recommendations or views expressed in this report. No part of this material may be duplicated in any form and/or redistributed without Keynote Capitals Ltd’s., prior written consent. Keynote Capitals Ltd. The Ruby, 9th Floor, Senapati Bapat Marg, Dadar (W), Mumbai, India – 400028 Tel: 30266000 / 22694322 www.keynotecapitals.com