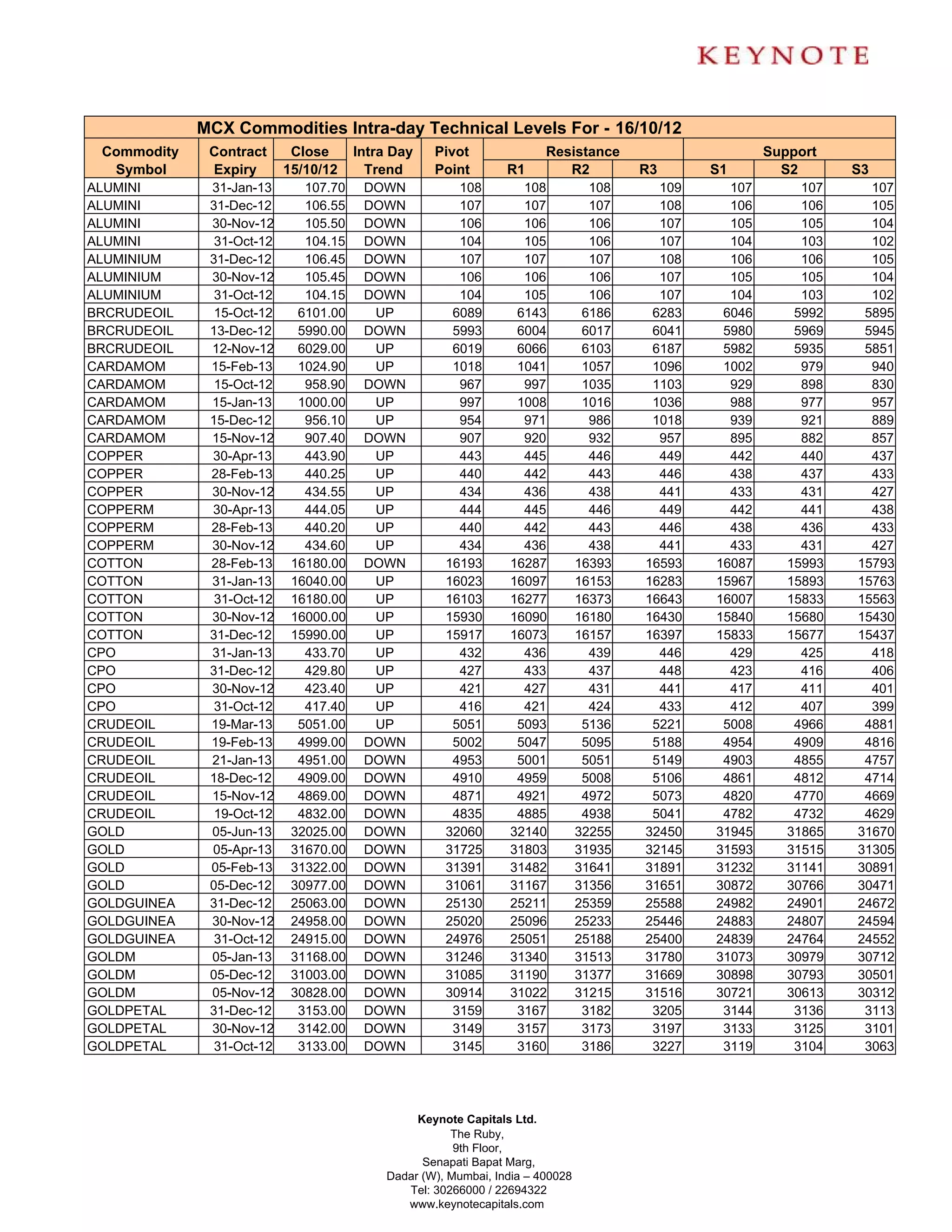
MCX Commodities Intra-day Technical Levels For - 16/10/12
 Commodity    Contract      Close      Intra Day    Pivot               Resistance                      Support
  Symbol      Expiry       15/10/12      Trend      Point        R1        R2           R3      S1        S2       S3
ALUMINI       31-Jan-13       107.70    DOWN            108         108           108     109     107        107     107
ALUMINI       31-Dec-12       106.55    DOWN            107         107           107     108     106        106     105
ALUMINI       30-Nov-12       105.50    DOWN            106         106           106     107     105        105     104
ALUMINI        31-Oct-12      104.15    DOWN            104         105           106     107     104        103     102
ALUMINIUM     31-Dec-12       106.45    DOWN            107         107           107     108     106        106     105
ALUMINIUM     30-Nov-12       105.45    DOWN            106         106           106     107     105        105     104
ALUMINIUM      31-Oct-12      104.15    DOWN            104         105           106     107     104        103     102
BRCRUDEOIL     15-Oct-12     6101.00     UP            6089        6143          6186    6283    6046       5992    5895
BRCRUDEOIL    13-Dec-12      5990.00    DOWN           5993        6004          6017    6041    5980       5969    5945
BRCRUDEOIL    12-Nov-12      6029.00     UP            6019        6066          6103    6187    5982       5935    5851
CARDAMOM      15-Feb-13      1024.90     UP            1018        1041          1057    1096    1002        979     940
CARDAMOM       15-Oct-12      958.90    DOWN            967         997          1035    1103     929        898     830
CARDAMOM      15-Jan-13      1000.00     UP             997        1008          1016    1036     988        977     957
CARDAMOM      15-Dec-12       956.10     UP             954         971           986    1018     939        921     889
CARDAMOM      15-Nov-12       907.40    DOWN            907         920           932     957     895        882     857
COPPER        30-Apr-13       443.90     UP             443         445           446     449     442        440     437
COPPER        28-Feb-13       440.25     UP             440         442           443     446     438        437     433
COPPER        30-Nov-12       434.55     UP             434         436           438     441     433        431     427
COPPERM       30-Apr-13       444.05     UP             444         445           446     449     442        441     438
COPPERM       28-Feb-13       440.20     UP             440         442           443     446     438        436     433
COPPERM       30-Nov-12       434.60     UP             434         436           438     441     433        431     427
COTTON        28-Feb-13     16180.00    DOWN          16193       16287         16393   16593   16087      15993   15793
COTTON        31-Jan-13     16040.00     UP           16023       16097         16153   16283   15967      15893   15763
COTTON         31-Oct-12    16180.00     UP           16103       16277         16373   16643   16007      15833   15563
COTTON        30-Nov-12     16000.00     UP           15930       16090         16180   16430   15840      15680   15430
COTTON        31-Dec-12     15990.00     UP           15917       16073         16157   16397   15833      15677   15437
CPO           31-Jan-13       433.70     UP             432         436           439     446     429        425     418
CPO           31-Dec-12       429.80     UP             427         433           437     448     423        416     406
CPO           30-Nov-12       423.40     UP             421         427           431     441     417        411     401
CPO            31-Oct-12      417.40     UP             416         421           424     433     412        407     399
CRUDEOIL      19-Mar-13      5051.00     UP            5051        5093          5136    5221    5008       4966    4881
CRUDEOIL      19-Feb-13      4999.00    DOWN           5002        5047          5095    5188    4954       4909    4816
CRUDEOIL      21-Jan-13      4951.00    DOWN           4953        5001          5051    5149    4903       4855    4757
CRUDEOIL      18-Dec-12      4909.00    DOWN           4910        4959          5008    5106    4861       4812    4714
CRUDEOIL      15-Nov-12      4869.00    DOWN           4871        4921          4972    5073    4820       4770    4669
CRUDEOIL       19-Oct-12     4832.00    DOWN           4835        4885          4938    5041    4782       4732    4629
GOLD          05-Jun-13     32025.00    DOWN          32060       32140         32255   32450   31945      31865   31670
GOLD          05-Apr-13     31670.00    DOWN          31725       31803         31935   32145   31593      31515   31305
GOLD          05-Feb-13     31322.00    DOWN          31391       31482         31641   31891   31232      31141   30891
GOLD          05-Dec-12     30977.00    DOWN          31061       31167         31356   31651   30872      30766   30471
GOLDGUINEA    31-Dec-12     25063.00    DOWN          25130       25211         25359   25588   24982      24901   24672
GOLDGUINEA    30-Nov-12     24958.00    DOWN          25020       25096         25233   25446   24883      24807   24594
GOLDGUINEA     31-Oct-12    24915.00    DOWN          24976       25051         25188   25400   24839      24764   24552
GOLDM         05-Jan-13     31168.00    DOWN          31246       31340         31513   31780   31073      30979   30712
GOLDM         05-Dec-12     31003.00    DOWN          31085       31190         31377   31669   30898      30793   30501
GOLDM         05-Nov-12     30828.00    DOWN          30914       31022         31215   31516   30721      30613   30312
GOLDPETAL     31-Dec-12      3153.00    DOWN           3159        3167          3182    3205    3144       3136    3113
GOLDPETAL     30-Nov-12      3142.00    DOWN           3149        3157          3173    3197    3133       3125    3101
GOLDPETAL      31-Oct-12     3133.00    DOWN           3145        3160          3186    3227    3119       3104    3063




                                                 Keynote Capitals Ltd.
                                                       The Ruby,
                                                        9th Floor,
                                                  Senapati Bapat Marg,
                                            Dadar (W), Mumbai, India – 400028
                                               Tel: 30266000 / 22694322
                                               www.keynotecapitals.com
MCX Commodities Intra-day Technical Levels For - 16/10/12
 Commodity    Contract      Close      Intra Day    Pivot               Resistance                      Support
  Symbol      Expiry       15/10/12      Trend      Point        R1        R2           R3      S1        S2       S3
GOLDPTLDEL     31-Oct-12     3243.00    DOWN           3246       3260           3278    3310    3228       3214    3182
GOLDPTLDEL    31-Dec-12      3217.00     UP            3210       3232           3248    3286    3194       3172    3134
GOLDPTLDEL    30-Nov-12      3195.00    DOWN           3195       3204           3213    3231    3186       3177    3159
KAPAS          30-Apr-13      947.10     UP             942        956            966     990     932        918     894
KAPAS         30-Mar-13       923.60     UP             919        932            941     963     910        896     874
KAPASKHALI     30-Apr-13     1490.00    DOWN           1490       1490           1490    1490    1490       1490    1490
KAPASKHALI    30-Mar-13      1484.00    DOWN           1484       1484           1484    1484    1484       1484    1484
KAPASKHALI    28-Feb-13      1465.00     UP            1454       1481           1498    1541    1438       1411    1367
KAPASKHALI    31-Jan-13      1443.50     UP            1434       1461           1478    1522    1417       1390    1346
KAPASKHALI    31-Dec-12      1430.00     UP            1421       1450           1470    1519    1401       1372    1323
LEAD          31-Jan-13       113.05    DOWN            113        114            114     115     113        112     111
LEAD          31-Dec-12       112.50    DOWN            113        113            114     116     112        111     110
LEAD           31-Oct-12      112.10    DOWN            113        113            114     116     111        111     109
LEAD          30-Nov-12       112.30    DOWN            113        113            114     116     112        111     109
LEADMINI      31-Jan-13       112.60    DOWN            113        114            115     116     112        112     110
LEADMINI      30-Nov-12       112.30    DOWN            113        113            115     116     112        111     109
LEADMINI      31-Dec-12       112.50    DOWN            113        114            115     116     112        111     110
LEADMINI       31-Oct-12      112.10    DOWN            113        113            114     116     111        111     109
MENTHAOIL     31-Jan-13      1226.20     UP            1224       1237           1247    1270    1214       1201    1178
MENTHAOIL     31-Dec-12      1227.50     UP            1223       1240           1253    1282    1210       1193    1164
MENTHAOIL     30-Nov-12      1218.10     UP            1213       1231           1244    1275    1200       1182    1151
MENTHAOIL      31-Oct-12     1203.00     UP            1199       1218           1234    1268    1184       1165    1130
NATURALGAS    26-Dec-12       208.10    DOWN            209        212            215     221     206        203     197
NATURALGAS    27-Nov-12       201.00    DOWN            202        205            208     214     198        196     189
NATURALGAS     26-Oct-12      185.50    DOWN            187        190            194     202     182        179     172
NICKEL        31-Jan-13       930.40    DOWN            931        938            945     958     924        917     903
NICKEL        31-Dec-12       927.50     UP             926        934            941     957     919        910     895
NICKEL        30-Nov-12       919.70     UP             918        927            935     952     911        901     885
NICKEL         31-Oct-12      912.40     UP             911        920            928     945     903        894     877
NICKELM       31-Jan-13       931.80     UP             931        938            945     959     925        918     904
NICKELM       31-Dec-12       927.80     UP             926        935            942     958     919        909     893
NICKELM       30-Nov-12       920.10     UP             919        928            936     953     911        901     884
NICKELM        31-Oct-12      912.50     UP             911        920            928     945     903        894     877
POTATO         15-Oct-12      903.40     UP             848        896            888     928     856        808     768
POTATO        15-Mar-13       732.50    DOWN            733        735            737     742     730        728     724
POTATO         15-Apr-13      699.60     UP             697        703            706     715     694        688     679
POTATOTRWR     15-Oct-12      850.20    DOWN            865        870            889     913     846        841     817
SILVER        04-May-13     63252.00    DOWN          63501      63834          64415   65329   62920      62587   61673
SILVER        05-Mar-13     61700.00    DOWN          62033      62467          63233   64433   61267      60833   59633
SILVER        05-Dec-12     59959.00    DOWN          60294      60731          61502   62710   59523      59086   57878
SILVER1000    31-Dec-12     60725.00     UP           60725      61149          61574   62423   60300      59876   59027
SILVER1000    30-Nov-12     59922.00    DOWN          60224      60598          61274   62324   59548      59174   58124
SILVER1000     31-Oct-12    59506.00    DOWN          59945      60630          61754   63563   58821      58136   56327
SILVERM        30-Apr-13    63265.00    DOWN          63588      63977          64688   65788   62877      62488   61388
SILVERM       28-Feb-13     61724.00    DOWN          62044      62490          63257   64470   61277      60831   59618
SILVERM       30-Nov-12     59982.00    DOWN          60313      60770          61559   62805   59524      59067   57821




                                                 Keynote Capitals Ltd.
                                                       The Ruby,
                                                        9th Floor,
                                                  Senapati Bapat Marg,
                                            Dadar (W), Mumbai, India – 400028
                                               Tel: 30266000 / 22694322
                                               www.keynotecapitals.com
MCX Commodities Intra-day Technical Levels For - 16/10/12
   Commodity             Contract        Close         Intra Day        Pivot                  Resistance                                   Support
    Symbol               Expiry         15/10/12         Trend          Point          R1         R2              R3             S1           S2                 S3
SILVERMIC                30-Apr-13        63267.00       DOWN             63583        63984         64701         65819          62866          62465           61347
SILVERMIC                28-Feb-13        61721.00       DOWN             62047        62494         63267         64487          61274          60827           59607
SILVERMIC                30-Nov-12        59981.00       DOWN             60343        60808         61636         62929          59515          59050           57757
ZINC                     31-Jan-13          103.75       DOWN               104          104           104           105            104            103             103
ZINC                     31-Dec-12          102.70       DOWN               103          103           104           105            102            102             101
ZINC                     30-Nov-12          101.90       DOWN               102          103           103           105            101            101              99
ZINC                      31-Oct-12         100.45       DOWN               101          101           102           104            100             99              97
ZINCMINI                 31-Jan-13          103.60       DOWN               104          104           105           106            103            103             102
ZINCMINI                 31-Dec-12          102.90       DOWN               103          104           104           106            102            102             101
ZINCMINI                 30-Nov-12          101.90       DOWN               102          103           103           105            101            101              99
ZINCMINI                  31-Oct-12         100.45       DOWN               101          101           102           104            100             99              97

Sanjay Bhatia (AVP – Technical Research),
                                        Email Id sanjay@keynotecapitals.net

Pivot Point: Intra- Day Trading Tool. - The key to the use of this tool is the use of Stop Loss

 Intra Day Trend: It is valid only till the point where Price trades above Pivot Point. For Eg. “UP” would be valid till Price
remains above Pivot Point. It would become “DOWN” in event Price trades below Pivot Point.

Pivot Point (PP): This is a trigger point for Intra Day Buy / Sell based on the price range of the previous day.

R1: Resistance 1: 1st Resistance level over Pivot Point, R2: Resistance 2: Next Resistance level after R1.
R3: Resistance 3: Next Resistance level after R2.

S1: Support 1: 1st Support level after Pivot Point, S2: Support 2: Next Support level after S1.
S3: Support 3: Next Support level after S2.

Note: As per this tool, the trader should take BUY position just above the Pivot Point and keep the Pivot Point level as stop
loss and the first target would be R1 level (Resistance 1). If R1 is crossed then R2 (Resistance 2) becomes the next target
with the stop loss placed at R1 level. If R2 is crossed then R3 (Resistance 3) becomes the next target with the stop loss
placed at R2 level.

Similarly if price goes below the Pivot Point the trader should take a SELL position and keep the Pivot Point level as the
stop loss and the first target would be S1 level (Support 1). If S1 level is breached then S2 level (Support 2) becomes the
next target with the stop loss placed at S1 level. If S2 level is breached then S3 level (Support 3) becomes the next target
with the stop loss placed at S2 level.
Disclaimer: This document is not for public distribution and has been furnished to you solely for your information and must not be reproduced or
redistributed to any other person. Persons into whose possession this document may come are required to observe these restrictions. This material is
for the personal information of the authorized recipient, and we are not soliciting any action based upon it. This report is not to be construed as an offer
to sell or the solicitation of an offer to buy any security in any jurisdiction where such an offer or solicitation would be illegal. It is for the general
information of clients of Keynote Capitals Ltd. It does not constitute a personal recommendation or take into account the particular investment
objectives, financial situations, or needs of individual clients. We have reviewed the report, and in so far as it includes current or historical information,
it is believed to be reliable though its accuracy or completeness cannot be guaranteed. Neither Keynote Capitals Ltd., nor any person connected with
it, accepts any liability arising from the use of this document. The recipients of this material should rely on their own investigations and take their own
professional advice. Price and value of the investments referred to in this material may go up or down. Past performance is not a guide for future
performance. Certain transactions -including those involving futures, options and other derivatives as well as non-investment grade securities - involve
substantial risk and are not suitable for all investors. Reports based on technical analysis centers on studying charts of a stock’s price movement and
trading volume, as opposed to focusing on a company’s fundamentals and as such, may not match with a report on a company’s fundamentals.
Opinions expressed are our current opinions as of the date appearing on this material only. While we endeavor to update on a reasonable basis the
information discussed in this material, there may be regulatory, compliance, or other reasons that prevent us from doing so. Prospective investors and
others are cautioned that any forward-looking statements are not predictions and may be subject to change without notice. Our proprietary trading and
investment businesses may make investment decisions that are inconsistent with the recommendations expressed herein. We and our affiliates,
officers, directors, and employees world wide may: (a) from time to time, have long or short positions in, and buy or sell the securities thereof, of
company (ies) mentioned herein or (b) be engaged in any other transaction involving such securities and earn brokerage or other compensation or act
as a market maker in the financial instruments of the company (ies) discussed herein or act as advisor or lender / borrower to such company (ies) or
have other potential conflict of interest with respect to any recommendation and related information and opinions. The analyst for this report certifies
that all of the views expressed in this report accurately reflect his or her personal views about the subject company or companies and its or their
securities, and no part of his or her compensation was, is or will be, directly or indirectly related to specific recommendations or views expressed in this
report. No part of this material may be duplicated in any form and/or redistributed without Keynote Capitals Ltd’s., prior written consent.




                                                                   Keynote Capitals Ltd.
                                                                         The Ruby,
                                                                          9th Floor,
                                                                    Senapati Bapat Marg,
                                                              Dadar (W), Mumbai, India – 400028
                                                                 Tel: 30266000 / 22694322
                                                                 www.keynotecapitals.com

Keynote technicals commodity intraday levels for 161012

  • 1.
    MCX Commodities Intra-dayTechnical Levels For - 16/10/12 Commodity Contract Close Intra Day Pivot Resistance Support Symbol Expiry 15/10/12 Trend Point R1 R2 R3 S1 S2 S3 ALUMINI 31-Jan-13 107.70 DOWN 108 108 108 109 107 107 107 ALUMINI 31-Dec-12 106.55 DOWN 107 107 107 108 106 106 105 ALUMINI 30-Nov-12 105.50 DOWN 106 106 106 107 105 105 104 ALUMINI 31-Oct-12 104.15 DOWN 104 105 106 107 104 103 102 ALUMINIUM 31-Dec-12 106.45 DOWN 107 107 107 108 106 106 105 ALUMINIUM 30-Nov-12 105.45 DOWN 106 106 106 107 105 105 104 ALUMINIUM 31-Oct-12 104.15 DOWN 104 105 106 107 104 103 102 BRCRUDEOIL 15-Oct-12 6101.00 UP 6089 6143 6186 6283 6046 5992 5895 BRCRUDEOIL 13-Dec-12 5990.00 DOWN 5993 6004 6017 6041 5980 5969 5945 BRCRUDEOIL 12-Nov-12 6029.00 UP 6019 6066 6103 6187 5982 5935 5851 CARDAMOM 15-Feb-13 1024.90 UP 1018 1041 1057 1096 1002 979 940 CARDAMOM 15-Oct-12 958.90 DOWN 967 997 1035 1103 929 898 830 CARDAMOM 15-Jan-13 1000.00 UP 997 1008 1016 1036 988 977 957 CARDAMOM 15-Dec-12 956.10 UP 954 971 986 1018 939 921 889 CARDAMOM 15-Nov-12 907.40 DOWN 907 920 932 957 895 882 857 COPPER 30-Apr-13 443.90 UP 443 445 446 449 442 440 437 COPPER 28-Feb-13 440.25 UP 440 442 443 446 438 437 433 COPPER 30-Nov-12 434.55 UP 434 436 438 441 433 431 427 COPPERM 30-Apr-13 444.05 UP 444 445 446 449 442 441 438 COPPERM 28-Feb-13 440.20 UP 440 442 443 446 438 436 433 COPPERM 30-Nov-12 434.60 UP 434 436 438 441 433 431 427 COTTON 28-Feb-13 16180.00 DOWN 16193 16287 16393 16593 16087 15993 15793 COTTON 31-Jan-13 16040.00 UP 16023 16097 16153 16283 15967 15893 15763 COTTON 31-Oct-12 16180.00 UP 16103 16277 16373 16643 16007 15833 15563 COTTON 30-Nov-12 16000.00 UP 15930 16090 16180 16430 15840 15680 15430 COTTON 31-Dec-12 15990.00 UP 15917 16073 16157 16397 15833 15677 15437 CPO 31-Jan-13 433.70 UP 432 436 439 446 429 425 418 CPO 31-Dec-12 429.80 UP 427 433 437 448 423 416 406 CPO 30-Nov-12 423.40 UP 421 427 431 441 417 411 401 CPO 31-Oct-12 417.40 UP 416 421 424 433 412 407 399 CRUDEOIL 19-Mar-13 5051.00 UP 5051 5093 5136 5221 5008 4966 4881 CRUDEOIL 19-Feb-13 4999.00 DOWN 5002 5047 5095 5188 4954 4909 4816 CRUDEOIL 21-Jan-13 4951.00 DOWN 4953 5001 5051 5149 4903 4855 4757 CRUDEOIL 18-Dec-12 4909.00 DOWN 4910 4959 5008 5106 4861 4812 4714 CRUDEOIL 15-Nov-12 4869.00 DOWN 4871 4921 4972 5073 4820 4770 4669 CRUDEOIL 19-Oct-12 4832.00 DOWN 4835 4885 4938 5041 4782 4732 4629 GOLD 05-Jun-13 32025.00 DOWN 32060 32140 32255 32450 31945 31865 31670 GOLD 05-Apr-13 31670.00 DOWN 31725 31803 31935 32145 31593 31515 31305 GOLD 05-Feb-13 31322.00 DOWN 31391 31482 31641 31891 31232 31141 30891 GOLD 05-Dec-12 30977.00 DOWN 31061 31167 31356 31651 30872 30766 30471 GOLDGUINEA 31-Dec-12 25063.00 DOWN 25130 25211 25359 25588 24982 24901 24672 GOLDGUINEA 30-Nov-12 24958.00 DOWN 25020 25096 25233 25446 24883 24807 24594 GOLDGUINEA 31-Oct-12 24915.00 DOWN 24976 25051 25188 25400 24839 24764 24552 GOLDM 05-Jan-13 31168.00 DOWN 31246 31340 31513 31780 31073 30979 30712 GOLDM 05-Dec-12 31003.00 DOWN 31085 31190 31377 31669 30898 30793 30501 GOLDM 05-Nov-12 30828.00 DOWN 30914 31022 31215 31516 30721 30613 30312 GOLDPETAL 31-Dec-12 3153.00 DOWN 3159 3167 3182 3205 3144 3136 3113 GOLDPETAL 30-Nov-12 3142.00 DOWN 3149 3157 3173 3197 3133 3125 3101 GOLDPETAL 31-Oct-12 3133.00 DOWN 3145 3160 3186 3227 3119 3104 3063 Keynote Capitals Ltd. The Ruby, 9th Floor, Senapati Bapat Marg, Dadar (W), Mumbai, India – 400028 Tel: 30266000 / 22694322 www.keynotecapitals.com
  • 2.
    MCX Commodities Intra-dayTechnical Levels For - 16/10/12 Commodity Contract Close Intra Day Pivot Resistance Support Symbol Expiry 15/10/12 Trend Point R1 R2 R3 S1 S2 S3 GOLDPTLDEL 31-Oct-12 3243.00 DOWN 3246 3260 3278 3310 3228 3214 3182 GOLDPTLDEL 31-Dec-12 3217.00 UP 3210 3232 3248 3286 3194 3172 3134 GOLDPTLDEL 30-Nov-12 3195.00 DOWN 3195 3204 3213 3231 3186 3177 3159 KAPAS 30-Apr-13 947.10 UP 942 956 966 990 932 918 894 KAPAS 30-Mar-13 923.60 UP 919 932 941 963 910 896 874 KAPASKHALI 30-Apr-13 1490.00 DOWN 1490 1490 1490 1490 1490 1490 1490 KAPASKHALI 30-Mar-13 1484.00 DOWN 1484 1484 1484 1484 1484 1484 1484 KAPASKHALI 28-Feb-13 1465.00 UP 1454 1481 1498 1541 1438 1411 1367 KAPASKHALI 31-Jan-13 1443.50 UP 1434 1461 1478 1522 1417 1390 1346 KAPASKHALI 31-Dec-12 1430.00 UP 1421 1450 1470 1519 1401 1372 1323 LEAD 31-Jan-13 113.05 DOWN 113 114 114 115 113 112 111 LEAD 31-Dec-12 112.50 DOWN 113 113 114 116 112 111 110 LEAD 31-Oct-12 112.10 DOWN 113 113 114 116 111 111 109 LEAD 30-Nov-12 112.30 DOWN 113 113 114 116 112 111 109 LEADMINI 31-Jan-13 112.60 DOWN 113 114 115 116 112 112 110 LEADMINI 30-Nov-12 112.30 DOWN 113 113 115 116 112 111 109 LEADMINI 31-Dec-12 112.50 DOWN 113 114 115 116 112 111 110 LEADMINI 31-Oct-12 112.10 DOWN 113 113 114 116 111 111 109 MENTHAOIL 31-Jan-13 1226.20 UP 1224 1237 1247 1270 1214 1201 1178 MENTHAOIL 31-Dec-12 1227.50 UP 1223 1240 1253 1282 1210 1193 1164 MENTHAOIL 30-Nov-12 1218.10 UP 1213 1231 1244 1275 1200 1182 1151 MENTHAOIL 31-Oct-12 1203.00 UP 1199 1218 1234 1268 1184 1165 1130 NATURALGAS 26-Dec-12 208.10 DOWN 209 212 215 221 206 203 197 NATURALGAS 27-Nov-12 201.00 DOWN 202 205 208 214 198 196 189 NATURALGAS 26-Oct-12 185.50 DOWN 187 190 194 202 182 179 172 NICKEL 31-Jan-13 930.40 DOWN 931 938 945 958 924 917 903 NICKEL 31-Dec-12 927.50 UP 926 934 941 957 919 910 895 NICKEL 30-Nov-12 919.70 UP 918 927 935 952 911 901 885 NICKEL 31-Oct-12 912.40 UP 911 920 928 945 903 894 877 NICKELM 31-Jan-13 931.80 UP 931 938 945 959 925 918 904 NICKELM 31-Dec-12 927.80 UP 926 935 942 958 919 909 893 NICKELM 30-Nov-12 920.10 UP 919 928 936 953 911 901 884 NICKELM 31-Oct-12 912.50 UP 911 920 928 945 903 894 877 POTATO 15-Oct-12 903.40 UP 848 896 888 928 856 808 768 POTATO 15-Mar-13 732.50 DOWN 733 735 737 742 730 728 724 POTATO 15-Apr-13 699.60 UP 697 703 706 715 694 688 679 POTATOTRWR 15-Oct-12 850.20 DOWN 865 870 889 913 846 841 817 SILVER 04-May-13 63252.00 DOWN 63501 63834 64415 65329 62920 62587 61673 SILVER 05-Mar-13 61700.00 DOWN 62033 62467 63233 64433 61267 60833 59633 SILVER 05-Dec-12 59959.00 DOWN 60294 60731 61502 62710 59523 59086 57878 SILVER1000 31-Dec-12 60725.00 UP 60725 61149 61574 62423 60300 59876 59027 SILVER1000 30-Nov-12 59922.00 DOWN 60224 60598 61274 62324 59548 59174 58124 SILVER1000 31-Oct-12 59506.00 DOWN 59945 60630 61754 63563 58821 58136 56327 SILVERM 30-Apr-13 63265.00 DOWN 63588 63977 64688 65788 62877 62488 61388 SILVERM 28-Feb-13 61724.00 DOWN 62044 62490 63257 64470 61277 60831 59618 SILVERM 30-Nov-12 59982.00 DOWN 60313 60770 61559 62805 59524 59067 57821 Keynote Capitals Ltd. The Ruby, 9th Floor, Senapati Bapat Marg, Dadar (W), Mumbai, India – 400028 Tel: 30266000 / 22694322 www.keynotecapitals.com
  • 3.
    MCX Commodities Intra-dayTechnical Levels For - 16/10/12 Commodity Contract Close Intra Day Pivot Resistance Support Symbol Expiry 15/10/12 Trend Point R1 R2 R3 S1 S2 S3 SILVERMIC 30-Apr-13 63267.00 DOWN 63583 63984 64701 65819 62866 62465 61347 SILVERMIC 28-Feb-13 61721.00 DOWN 62047 62494 63267 64487 61274 60827 59607 SILVERMIC 30-Nov-12 59981.00 DOWN 60343 60808 61636 62929 59515 59050 57757 ZINC 31-Jan-13 103.75 DOWN 104 104 104 105 104 103 103 ZINC 31-Dec-12 102.70 DOWN 103 103 104 105 102 102 101 ZINC 30-Nov-12 101.90 DOWN 102 103 103 105 101 101 99 ZINC 31-Oct-12 100.45 DOWN 101 101 102 104 100 99 97 ZINCMINI 31-Jan-13 103.60 DOWN 104 104 105 106 103 103 102 ZINCMINI 31-Dec-12 102.90 DOWN 103 104 104 106 102 102 101 ZINCMINI 30-Nov-12 101.90 DOWN 102 103 103 105 101 101 99 ZINCMINI 31-Oct-12 100.45 DOWN 101 101 102 104 100 99 97 Sanjay Bhatia (AVP – Technical Research), Email Id sanjay@keynotecapitals.net Pivot Point: Intra- Day Trading Tool. - The key to the use of this tool is the use of Stop Loss Intra Day Trend: It is valid only till the point where Price trades above Pivot Point. For Eg. “UP” would be valid till Price remains above Pivot Point. It would become “DOWN” in event Price trades below Pivot Point. Pivot Point (PP): This is a trigger point for Intra Day Buy / Sell based on the price range of the previous day. R1: Resistance 1: 1st Resistance level over Pivot Point, R2: Resistance 2: Next Resistance level after R1. R3: Resistance 3: Next Resistance level after R2. S1: Support 1: 1st Support level after Pivot Point, S2: Support 2: Next Support level after S1. S3: Support 3: Next Support level after S2. Note: As per this tool, the trader should take BUY position just above the Pivot Point and keep the Pivot Point level as stop loss and the first target would be R1 level (Resistance 1). If R1 is crossed then R2 (Resistance 2) becomes the next target with the stop loss placed at R1 level. If R2 is crossed then R3 (Resistance 3) becomes the next target with the stop loss placed at R2 level. Similarly if price goes below the Pivot Point the trader should take a SELL position and keep the Pivot Point level as the stop loss and the first target would be S1 level (Support 1). If S1 level is breached then S2 level (Support 2) becomes the next target with the stop loss placed at S1 level. If S2 level is breached then S3 level (Support 3) becomes the next target with the stop loss placed at S2 level. Disclaimer: This document is not for public distribution and has been furnished to you solely for your information and must not be reproduced or redistributed to any other person. Persons into whose possession this document may come are required to observe these restrictions. This material is for the personal information of the authorized recipient, and we are not soliciting any action based upon it. This report is not to be construed as an offer to sell or the solicitation of an offer to buy any security in any jurisdiction where such an offer or solicitation would be illegal. It is for the general information of clients of Keynote Capitals Ltd. It does not constitute a personal recommendation or take into account the particular investment objectives, financial situations, or needs of individual clients. We have reviewed the report, and in so far as it includes current or historical information, it is believed to be reliable though its accuracy or completeness cannot be guaranteed. Neither Keynote Capitals Ltd., nor any person connected with it, accepts any liability arising from the use of this document. The recipients of this material should rely on their own investigations and take their own professional advice. Price and value of the investments referred to in this material may go up or down. Past performance is not a guide for future performance. Certain transactions -including those involving futures, options and other derivatives as well as non-investment grade securities - involve substantial risk and are not suitable for all investors. Reports based on technical analysis centers on studying charts of a stock’s price movement and trading volume, as opposed to focusing on a company’s fundamentals and as such, may not match with a report on a company’s fundamentals. Opinions expressed are our current opinions as of the date appearing on this material only. While we endeavor to update on a reasonable basis the information discussed in this material, there may be regulatory, compliance, or other reasons that prevent us from doing so. Prospective investors and others are cautioned that any forward-looking statements are not predictions and may be subject to change without notice. Our proprietary trading and investment businesses may make investment decisions that are inconsistent with the recommendations expressed herein. We and our affiliates, officers, directors, and employees world wide may: (a) from time to time, have long or short positions in, and buy or sell the securities thereof, of company (ies) mentioned herein or (b) be engaged in any other transaction involving such securities and earn brokerage or other compensation or act as a market maker in the financial instruments of the company (ies) discussed herein or act as advisor or lender / borrower to such company (ies) or have other potential conflict of interest with respect to any recommendation and related information and opinions. The analyst for this report certifies that all of the views expressed in this report accurately reflect his or her personal views about the subject company or companies and its or their securities, and no part of his or her compensation was, is or will be, directly or indirectly related to specific recommendations or views expressed in this report. No part of this material may be duplicated in any form and/or redistributed without Keynote Capitals Ltd’s., prior written consent. Keynote Capitals Ltd. The Ruby, 9th Floor, Senapati Bapat Marg, Dadar (W), Mumbai, India – 400028 Tel: 30266000 / 22694322 www.keynotecapitals.com