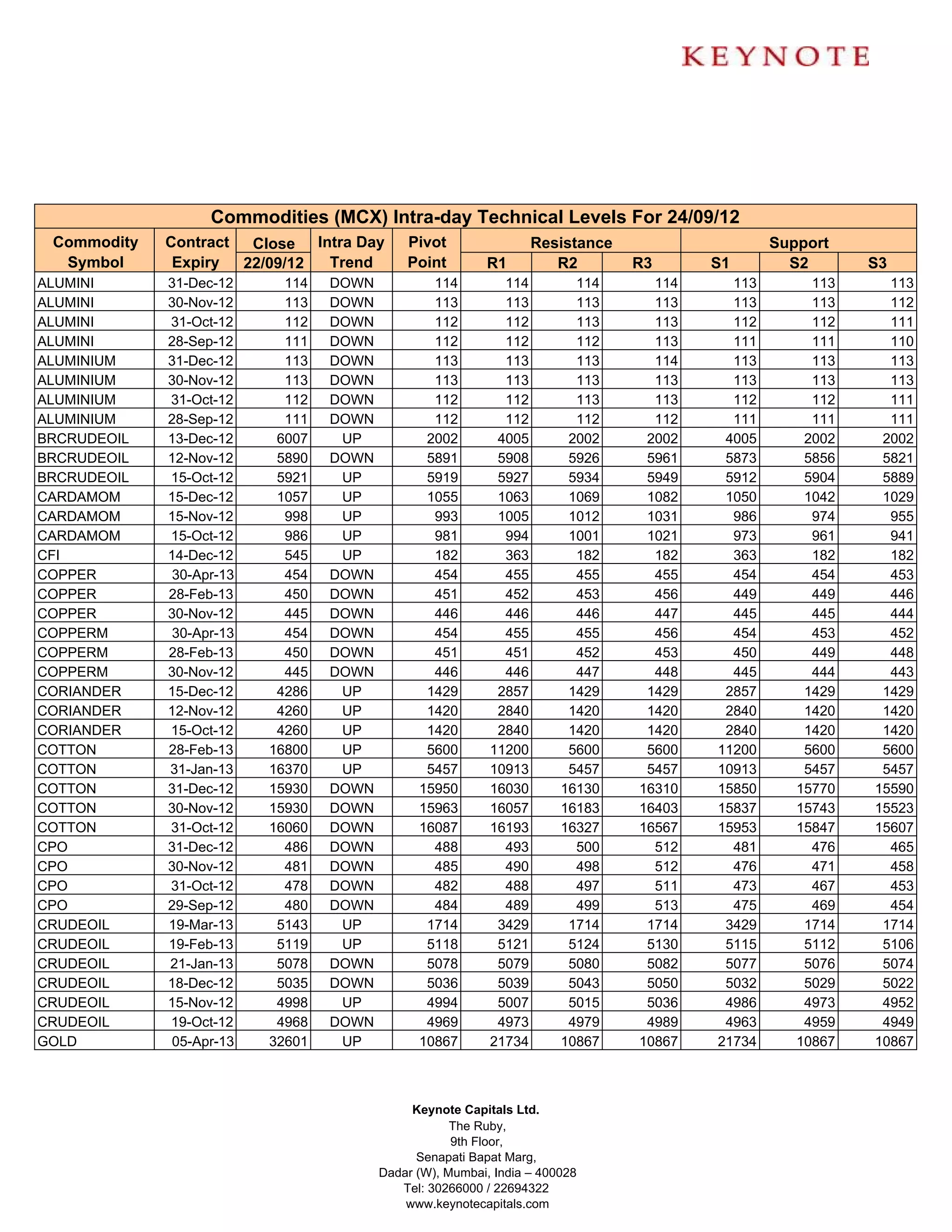
Commodities (MCX) Intra-day Technical Levels For 24/09/12
 Commodity   Contract  Close Intra Day       Pivot                 Resistance                   Support
  Symbol      Expiry  22/09/12 Trend         Point         R1         R2        R3      S1        S2       S3
ALUMINI      31-Dec-12      114   DOWN           114         114         114      114     113        113     113
ALUMINI      30-Nov-12      113   DOWN           113         113         113      113     113        113     112
ALUMINI      31-Oct-12      112   DOWN           112         112         113      113     112        112     111
ALUMINI      28-Sep-12      111   DOWN           112         112         112      113     111        111     110
ALUMINIUM    31-Dec-12      113   DOWN           113         113         113      114     113        113     113
ALUMINIUM    30-Nov-12      113   DOWN           113         113         113      113     113        113     113
ALUMINIUM    31-Oct-12      112   DOWN           112         112         113      113     112        112     111
ALUMINIUM    28-Sep-12      111   DOWN           112         112         112      112     111        111     111
BRCRUDEOIL   13-Dec-12     6007    UP           2002        4005        2002     2002    4005       2002    2002
BRCRUDEOIL   12-Nov-12     5890   DOWN          5891        5908        5926     5961    5873       5856    5821
BRCRUDEOIL   15-Oct-12     5921    UP           5919        5927        5934     5949    5912       5904    5889
CARDAMOM     15-Dec-12     1057    UP           1055        1063        1069     1082    1050       1042    1029
CARDAMOM     15-Nov-12      998    UP            993        1005        1012     1031     986        974     955
CARDAMOM     15-Oct-12      986    UP            981         994        1001     1021     973        961     941
CFI          14-Dec-12      545    UP            182         363         182      182     363        182     182
COPPER        30-Apr-13     454   DOWN           454         455         455      455     454        454     453
COPPER       28-Feb-13      450   DOWN           451         452         453      456     449        449     446
COPPER       30-Nov-12      445   DOWN           446         446         446      447     445        445     444
COPPERM       30-Apr-13     454   DOWN           454         455         455      456     454        453     452
COPPERM      28-Feb-13      450   DOWN           451         451         452      453     450        449     448
COPPERM      30-Nov-12      445   DOWN           446         446         447      448     445        444     443
CORIANDER    15-Dec-12     4286    UP           1429        2857        1429     1429    2857       1429    1429
CORIANDER    12-Nov-12     4260    UP           1420        2840        1420     1420    2840       1420    1420
CORIANDER    15-Oct-12     4260    UP           1420        2840        1420     1420    2840       1420    1420
COTTON       28-Feb-13    16800    UP           5600       11200        5600     5600   11200       5600    5600
COTTON       31-Jan-13    16370    UP           5457       10913        5457     5457   10913       5457    5457
COTTON       31-Dec-12    15930   DOWN         15950       16030       16130    16310   15850      15770   15590
COTTON       30-Nov-12    15930   DOWN         15963       16057       16183    16403   15837      15743   15523
COTTON       31-Oct-12    16060   DOWN         16087       16193       16327    16567   15953      15847   15607
CPO          31-Dec-12      486   DOWN           488         493         500      512     481        476     465
CPO          30-Nov-12      481   DOWN           485         490         498      512     476        471     458
CPO          31-Oct-12      478   DOWN           482         488         497      511     473        467     453
CPO          29-Sep-12      480   DOWN           484         489         499      513     475        469     454
CRUDEOIL     19-Mar-13     5143    UP           1714        3429        1714     1714    3429       1714    1714
CRUDEOIL     19-Feb-13     5119    UP           5118        5121        5124     5130    5115       5112    5106
CRUDEOIL     21-Jan-13     5078   DOWN          5078        5079        5080     5082    5077       5076    5074
CRUDEOIL     18-Dec-12     5035   DOWN          5036        5039        5043     5050    5032       5029    5022
CRUDEOIL     15-Nov-12     4998    UP           4994        5007        5015     5036    4986       4973    4952
CRUDEOIL     19-Oct-12     4968   DOWN          4969        4973        4979     4989    4963       4959    4949
GOLD          05-Apr-13   32601    UP          10867       21734       10867    10867   21734      10867   10867



                                              Keynote Capitals Ltd.
                                                     The Ruby,
                                                     9th Floor,
                                               Senapati Bapat Marg,
                                         Dadar (W), Mumbai, India – 400028
                                            Tel: 30266000 / 22694322
                                             www.keynotecapitals.com
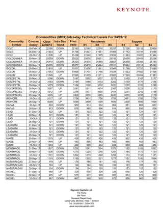
Commodities (MCX) Intra-day Technical Levels For 24/09/12
 Commodity   Contract  Close Intra Day       Pivot                 Resistance                   Support
  Symbol      Expiry  22/09/12 Trend         Point         R1         R2        R3      S1        S2       S3
GOLD         05-Feb-13    32160   DOWN         32163       32185       32210    32257   32138      32116   32069
GOLD         05-Dec-12    31803    UP          31796       31827       31851    31906   31772      31741   31686
GOLD         05-Oct-12    31506    UP          31498       31540       31575    31652   31463      31421   31344
GOLDGUINEA   30-Nov-12    25509   DOWN         25520       25570       25631    25742   25459      25409   25298
GOLDGUINEA   31-Oct-12    25410   DOWN         25423       25475       25540    25657   25358      25306   25189
GOLDGUINEA   29-Sep-12    25376   DOWN         25377       25410       25444    25511   25343      25310   25243
GOLDM        05-Dec-12    31818    UP          31817       31850       31881    31945   31786      31753   31689
GOLDM        05-Nov-12    31663   DOWN         31666       31707       31750    31834   31623      31582   31498
GOLDM        05-Oct-12    31546    UP          31535       31579       31611    31687   31503      31459   31383
GOLDPETAL    30-Nov-12     3196   DOWN          3197        3202        3207     3217    3192       3187    3177
GOLDPETAL    31-Oct-12     3183   DOWN          3184        3188        3193     3202    3179       3175    3166
GOLDPETAL    29-Sep-12     3179   DOWN          3184        3190        3202     3220    3172       3166    3148
GOLDPTLDEL   30-Nov-12     3287    UP           3281        3311        3334     3387    3258       3228    3175
GOLDPTLDEL   31-Oct-12     3312    UP           3296        3331        3350     3404    3277       3242    3188
GOLDPTLDEL   29-Sep-12     3305    UP           3300        3335        3365     3430    3270       3235    3170
IRONORE      31-Oct-12     5117    UP           1706        3411        1706     1706    3411       1706    1706
IRONORE      28-Sep-12     5098    UP           1699        3399        1699     1699    3399       1699    1699
KAPAS         30-Apr-13     893   DOWN           900         913         932      964     881        868     837
KAPAS        30-Mar-13      873   DOWN           876         885         896      916     865        856     836
LEAD         31-Dec-12      122    UP            121         122         122      122     121        121     121
LEAD         30-Nov-12      121   DOWN           121         121         122      122     121        121     121
LEAD         31-Oct-12      121   DOWN           121         121         122      122     121        121     120
LEAD         28-Sep-12      121   DOWN           121         121         121      122     121        121     120
LEADMINI     31-Dec-12      121   DOWN           121         122         122      122     121        121     121
LEADMINI     30-Nov-12      121   DOWN           121         121         122      122     121        121     120
LEADMINI     31-Oct-12      121   DOWN           121         121         122      122     121        121     120
LEADMINI     28-Sep-12      121   DOWN           121         121         122      122     121        120     120
MAIZE        20-Dec-12     1279    UP            426         852         426      426     852        426     426
MAIZE        20-Nov-12     1449    UP            483         966         483      483     966        483     483
MAIZE        19-Oct-12     1453    UP            484         969         484      484     969        484     484
MENTHAOIL    31-Dec-12     1217   DOWN          1235        1261        1304     1373    1192       1166    1097
MENTHAOIL    30-Nov-12     1200   DOWN          1210        1225        1250     1291    1185       1170    1130
MENTHAOIL    31-Oct-12     1191   DOWN          1202        1219        1248     1294    1174       1156    1111
MENTHAOIL    29-Sep-12     1174   DOWN          1185        1202        1231     1277    1157       1140    1094
NATURALGAS   27-Nov-12      179    UP            179         180         181      183     178        177     175
NATURALGAS   26-Oct-12      164    UP            164         164         165      166     163        163     161
NATURALGAS   25-Sep-12      154   DOWN           154         154         155      155     153        153     152
NICKEL       31-Dec-12      988    UP            329         658         329      329     658        329     329
NICKEL       30-Nov-12      975    UP            975         977         978      981     973        972     968
NICKEL       31-Oct-12      967   DOWN           967         969         970      972     966        965     962



                                              Keynote Capitals Ltd.
                                                     The Ruby,
                                                     9th Floor,
                                               Senapati Bapat Marg,
                                         Dadar (W), Mumbai, India – 400028
                                            Tel: 30266000 / 22694322
                                             www.keynotecapitals.com
Commodities (MCX) Intra-day Technical Levels For 24/09/12
 Commodity   Contract  Close Intra Day       Pivot                 Resistance                   Support
  Symbol      Expiry  22/09/12 Trend         Point         R1         R2        R3      S1        S2       S3
NICKEL       28-Sep-12      960   DOWN           960         962         963      966     959        958     955
NICKELM      31-Dec-12      982    UP            982         983         984      987     981        980     978
NICKELM      30-Nov-12      975   DOWN           986         997        1019     1052     964        953     920
NICKELM       31-Oct-12     967   DOWN           968         969         970      973     966        965     962
NICKELM      28-Sep-12      960   DOWN           961         963         965      970     958        956     952
POTATO        15-Apr-13     709    UP            709         712         715      722     705        702     695
POTATO       15-Mar-13      743    UP            742         747         750      758     739        735     727
POTATO        15-Oct-12    1050    UP           1049        1055        1061     1073    1043       1036    1024
POTATOTRWR    15-Oct-12     976    UP            972         983         990     1008     965        954     936
REFSOYOIL    15-Dec-12      773    UP            258         515         258      258     515        258     258
REFSOYOIL    15-Nov-12      785    UP            262         523         262      262     523        262     262
REFSOYOIL     15-Oct-12     785    UP            262         523         262      262     523        262     262
SILVER       04-May-13    66648   DOWN         66648       66648       66648    66648   66648      66648   66648
SILVER       05-Mar-13    64984   DOWN         64988       65096       65208    65428   64876      64768   64548
SILVER       05-Dec-12    63277   DOWN         63329       63507       63737    64145   63099      62921   62513
SILVERM       30-Apr-13   66541   DOWN         66583       66686       66830    67077   66439      66336   66089
SILVERM      28-Feb-13    65008   DOWN         65028       65154       65300    65572   64882      64756   64484
SILVERM      30-Nov-12    63294   DOWN         63332       63491       63688    64044   63135      62976   62620
SILVERMIC     30-Apr-13   66574   DOWN         66740       67027       67479    68218   66288      66001   65262
SILVERMIC    28-Feb-13    65013   DOWN         65072       65244       65474    65876   64842      64670   64268
SILVERMIC    30-Nov-12    63296   DOWN         63355       63541       63785    64215   63111      62925   62495
SUGARMKOL    20-Dec-12     3555    UP           1185        2370        1185     1185    2370       1185    1185
SUGARMKOL    20-Nov-12     3631    UP           1210        2421        1210     1210    2421       1210    1210
SUGARMKOL     19-Oct-12    3546    UP           1182        2364        1182     1182    2364       1182    1182
WHEAT        20-Dec-12     1558    UP            519        1039         519      519    1039        519     519
WHEAT        20-Nov-12     1561    UP            520        1040         520      520    1040        520     520
WHEAT         19-Oct-12    1587    UP            529        1058         529      529    1058        529     529
ZINC         31-Dec-12      114   DOWN           114         114         114      114     114        114     114
ZINC         30-Nov-12      113    UP            113         113         113      113     113        113     112
ZINC          31-Oct-12     112   DOWN           112         112         113      113     112        112     112
ZINC         28-Sep-12      111   DOWN           111         112         112      112     111        111     111
ZINCMINI     31-Dec-12      114   DOWN           114         114         114      114     113        113     113
ZINCMINI     30-Nov-12      113   DOWN           113         113         113      113     113        113     113
ZINCMINI      31-Oct-12     112   DOWN           112         112         113      113     112        112     112




                                              Keynote Capitals Ltd.
                                                     The Ruby,
                                                     9th Floor,
                                               Senapati Bapat Marg,
                                         Dadar (W), Mumbai, India – 400028
                                            Tel: 30266000 / 22694322
                                             www.keynotecapitals.com
Commodities (MCX) Intra-day Technical Levels For 24/09/12
   Commodity             Contract  Close Intra Day                      Pivot                    Resistance                                   Support
    Symbol                Expiry  22/09/12 Trend                        Point          R1           R2             R3              S1           S2                  S3
ZINCMINI                 28-Sep-12              111     DOWN                 111           112          112             112             111           111                111



Sanjay Bhatia (AVP – Technical Research), Email Id sanjay@keynotecapitals.net

 Pivot Point: Intra- Day Trading Tool. - The key to the use of this tool is the use of Stop Loss

 Intra Day Trend: It is valid only till the point where Price trades above Pivot Point. For Eg. “UP” would be valid till Price
remains above Pivot Point. It would become “DOWN” in event Price trades below Pivot Point.

 Pivot Point (PP): This is a trigger point for Intra Day Buy / Sell based on the price range of the previous day.

 R1: Resistance 1: 1st Resistance level over Pivot Point, R2: Resistance 2: Next Resistance level after R1.
 R3: Resistance 3: Next Resistance level after R2.

 S1: Support 1: 1st Support level after Pivot Point, S2: Support 2: Next Support level after S1.
 S3: Support 3: Next Support level after S2.

Note: As per this tool, the trader should take BUY position just above the Pivot Point and keep the Pivot Point level as stop
loss and the first target would be R1 level (Resistance 1). If R1 is crossed then R2 (Resistance 2) becomes the next target
with the stop loss placed at R1 level. If R2 is crossed then R3 (Resistance 3) becomes the next target with the stop loss
placed at R2 level.

Similarly if price goes below the Pivot Point the trader should take a SELL position and keep the Pivot Point level as the
stop loss and the first target would be S1 level (Support 1). If S1 level is breached then S2 level (Support 2) becomes the
next target with the stop loss placed at S1 level. If S2 level is breached then S3 level (Support 3) becomes the next target
with the stop loss placed at S2 level.
Disclaimer: This document is not for public distribution and has been furnished to you solely for your information and must not be reproduced or
redistributed to any other person. Persons into whose possession this document may come are required to observe these restrictions. This material is
for the personal information of the authorized recipient, and we are not soliciting any action based upon it. This report is not to be construed as an offer
to sell or the solicitation of an offer to buy any security in any jurisdiction where such an offer or solicitation would be illegal. It is for the general
information of clients of Keynote Capitals Ltd. It does not constitute a personal recommendation or take into account the particular investment objectives,
financial situations, or needs of individual clients. We have reviewed the report, and in so far as it includes current or historical information, it is believed
to be reliable though its accuracy or completeness cannot be guaranteed. Neither Keynote Capitals Ltd., nor any person connected with it, accepts any
liability arising from the use of this document. The recipients of this material should rely on their own investigations and take their own professional
advice. Price and value of the investments referred to in this material may go up or down. Past performance is not a guide for future performance.
Certain transactions -including those involving futures, options and other derivatives as well as non-investment grade securities - involve substantial risk
and are not suitable for all investors. Reports based on technical analysis centers on studying charts of a stock’s price movement and trading volume, as
opposed to focusing on a company’s fundamentals and as such, may not match with a report on a company’s fundamentals. Opinions expressed are our
current opinions as of the date appearing on this material only. While we endeavor to update on a reasonable basis the information discussed in this
material, there may be regulatory, compliance, or other reasons that prevent us from doing so. Prospective investors and others are cautioned that any
forward-looking statements are not predictions and may be subject to change without notice. Our proprietary trading and investment businesses may
make investment decisions that are inconsistent with the recommendations expressed herein. We and our affiliates, officers, directors, and employees
world wide may: (a) from time to time, have long or short positions in, and buy or sell the securities thereof, of company (ies) mentioned herein or (b) be
engaged in any other transaction involving such securities and earn brokerage or other compensation or act as a market maker in the financial
instruments of the company (ies) discussed herein or act as advisor or lender / borrower to such company (ies) or have other potential conflict of interest
with respect to any recommendation and related information and opinions. The analyst for this report certifies that all of the views expressed in this
report accurately reflect his or her personal views about the subject company or companies and its or their securities, and no part of his or her
compensation was, is or will be, directly or indirectly related to specific recommendations or views expressed in this report. No part of this material may
be duplicated in any form and/or redistributed without Keynote Capitals Ltd’s., prior written consent.




                                                                       Keynote Capitals Ltd.
                                                                              The Ruby,
                                                                              9th Floor,
                                                                        Senapati Bapat Marg,
                                                                  Dadar (W), Mumbai, India – 400028
                                                                     Tel: 30266000 / 22694322
                                                                      www.keynotecapitals.com

Keynote technicals commodity intraday levels for 240912

  • 1.
    Commodities (MCX) Intra-dayTechnical Levels For 24/09/12 Commodity Contract Close Intra Day Pivot Resistance Support Symbol Expiry 22/09/12 Trend Point R1 R2 R3 S1 S2 S3 ALUMINI 31-Dec-12 114 DOWN 114 114 114 114 113 113 113 ALUMINI 30-Nov-12 113 DOWN 113 113 113 113 113 113 112 ALUMINI 31-Oct-12 112 DOWN 112 112 113 113 112 112 111 ALUMINI 28-Sep-12 111 DOWN 112 112 112 113 111 111 110 ALUMINIUM 31-Dec-12 113 DOWN 113 113 113 114 113 113 113 ALUMINIUM 30-Nov-12 113 DOWN 113 113 113 113 113 113 113 ALUMINIUM 31-Oct-12 112 DOWN 112 112 113 113 112 112 111 ALUMINIUM 28-Sep-12 111 DOWN 112 112 112 112 111 111 111 BRCRUDEOIL 13-Dec-12 6007 UP 2002 4005 2002 2002 4005 2002 2002 BRCRUDEOIL 12-Nov-12 5890 DOWN 5891 5908 5926 5961 5873 5856 5821 BRCRUDEOIL 15-Oct-12 5921 UP 5919 5927 5934 5949 5912 5904 5889 CARDAMOM 15-Dec-12 1057 UP 1055 1063 1069 1082 1050 1042 1029 CARDAMOM 15-Nov-12 998 UP 993 1005 1012 1031 986 974 955 CARDAMOM 15-Oct-12 986 UP 981 994 1001 1021 973 961 941 CFI 14-Dec-12 545 UP 182 363 182 182 363 182 182 COPPER 30-Apr-13 454 DOWN 454 455 455 455 454 454 453 COPPER 28-Feb-13 450 DOWN 451 452 453 456 449 449 446 COPPER 30-Nov-12 445 DOWN 446 446 446 447 445 445 444 COPPERM 30-Apr-13 454 DOWN 454 455 455 456 454 453 452 COPPERM 28-Feb-13 450 DOWN 451 451 452 453 450 449 448 COPPERM 30-Nov-12 445 DOWN 446 446 447 448 445 444 443 CORIANDER 15-Dec-12 4286 UP 1429 2857 1429 1429 2857 1429 1429 CORIANDER 12-Nov-12 4260 UP 1420 2840 1420 1420 2840 1420 1420 CORIANDER 15-Oct-12 4260 UP 1420 2840 1420 1420 2840 1420 1420 COTTON 28-Feb-13 16800 UP 5600 11200 5600 5600 11200 5600 5600 COTTON 31-Jan-13 16370 UP 5457 10913 5457 5457 10913 5457 5457 COTTON 31-Dec-12 15930 DOWN 15950 16030 16130 16310 15850 15770 15590 COTTON 30-Nov-12 15930 DOWN 15963 16057 16183 16403 15837 15743 15523 COTTON 31-Oct-12 16060 DOWN 16087 16193 16327 16567 15953 15847 15607 CPO 31-Dec-12 486 DOWN 488 493 500 512 481 476 465 CPO 30-Nov-12 481 DOWN 485 490 498 512 476 471 458 CPO 31-Oct-12 478 DOWN 482 488 497 511 473 467 453 CPO 29-Sep-12 480 DOWN 484 489 499 513 475 469 454 CRUDEOIL 19-Mar-13 5143 UP 1714 3429 1714 1714 3429 1714 1714 CRUDEOIL 19-Feb-13 5119 UP 5118 5121 5124 5130 5115 5112 5106 CRUDEOIL 21-Jan-13 5078 DOWN 5078 5079 5080 5082 5077 5076 5074 CRUDEOIL 18-Dec-12 5035 DOWN 5036 5039 5043 5050 5032 5029 5022 CRUDEOIL 15-Nov-12 4998 UP 4994 5007 5015 5036 4986 4973 4952 CRUDEOIL 19-Oct-12 4968 DOWN 4969 4973 4979 4989 4963 4959 4949 GOLD 05-Apr-13 32601 UP 10867 21734 10867 10867 21734 10867 10867 Keynote Capitals Ltd. The Ruby, 9th Floor, Senapati Bapat Marg, Dadar (W), Mumbai, India – 400028 Tel: 30266000 / 22694322 www.keynotecapitals.com
  • 2.
    Commodities (MCX) Intra-dayTechnical Levels For 24/09/12 Commodity Contract Close Intra Day Pivot Resistance Support Symbol Expiry 22/09/12 Trend Point R1 R2 R3 S1 S2 S3 GOLD 05-Feb-13 32160 DOWN 32163 32185 32210 32257 32138 32116 32069 GOLD 05-Dec-12 31803 UP 31796 31827 31851 31906 31772 31741 31686 GOLD 05-Oct-12 31506 UP 31498 31540 31575 31652 31463 31421 31344 GOLDGUINEA 30-Nov-12 25509 DOWN 25520 25570 25631 25742 25459 25409 25298 GOLDGUINEA 31-Oct-12 25410 DOWN 25423 25475 25540 25657 25358 25306 25189 GOLDGUINEA 29-Sep-12 25376 DOWN 25377 25410 25444 25511 25343 25310 25243 GOLDM 05-Dec-12 31818 UP 31817 31850 31881 31945 31786 31753 31689 GOLDM 05-Nov-12 31663 DOWN 31666 31707 31750 31834 31623 31582 31498 GOLDM 05-Oct-12 31546 UP 31535 31579 31611 31687 31503 31459 31383 GOLDPETAL 30-Nov-12 3196 DOWN 3197 3202 3207 3217 3192 3187 3177 GOLDPETAL 31-Oct-12 3183 DOWN 3184 3188 3193 3202 3179 3175 3166 GOLDPETAL 29-Sep-12 3179 DOWN 3184 3190 3202 3220 3172 3166 3148 GOLDPTLDEL 30-Nov-12 3287 UP 3281 3311 3334 3387 3258 3228 3175 GOLDPTLDEL 31-Oct-12 3312 UP 3296 3331 3350 3404 3277 3242 3188 GOLDPTLDEL 29-Sep-12 3305 UP 3300 3335 3365 3430 3270 3235 3170 IRONORE 31-Oct-12 5117 UP 1706 3411 1706 1706 3411 1706 1706 IRONORE 28-Sep-12 5098 UP 1699 3399 1699 1699 3399 1699 1699 KAPAS 30-Apr-13 893 DOWN 900 913 932 964 881 868 837 KAPAS 30-Mar-13 873 DOWN 876 885 896 916 865 856 836 LEAD 31-Dec-12 122 UP 121 122 122 122 121 121 121 LEAD 30-Nov-12 121 DOWN 121 121 122 122 121 121 121 LEAD 31-Oct-12 121 DOWN 121 121 122 122 121 121 120 LEAD 28-Sep-12 121 DOWN 121 121 121 122 121 121 120 LEADMINI 31-Dec-12 121 DOWN 121 122 122 122 121 121 121 LEADMINI 30-Nov-12 121 DOWN 121 121 122 122 121 121 120 LEADMINI 31-Oct-12 121 DOWN 121 121 122 122 121 121 120 LEADMINI 28-Sep-12 121 DOWN 121 121 122 122 121 120 120 MAIZE 20-Dec-12 1279 UP 426 852 426 426 852 426 426 MAIZE 20-Nov-12 1449 UP 483 966 483 483 966 483 483 MAIZE 19-Oct-12 1453 UP 484 969 484 484 969 484 484 MENTHAOIL 31-Dec-12 1217 DOWN 1235 1261 1304 1373 1192 1166 1097 MENTHAOIL 30-Nov-12 1200 DOWN 1210 1225 1250 1291 1185 1170 1130 MENTHAOIL 31-Oct-12 1191 DOWN 1202 1219 1248 1294 1174 1156 1111 MENTHAOIL 29-Sep-12 1174 DOWN 1185 1202 1231 1277 1157 1140 1094 NATURALGAS 27-Nov-12 179 UP 179 180 181 183 178 177 175 NATURALGAS 26-Oct-12 164 UP 164 164 165 166 163 163 161 NATURALGAS 25-Sep-12 154 DOWN 154 154 155 155 153 153 152 NICKEL 31-Dec-12 988 UP 329 658 329 329 658 329 329 NICKEL 30-Nov-12 975 UP 975 977 978 981 973 972 968 NICKEL 31-Oct-12 967 DOWN 967 969 970 972 966 965 962 Keynote Capitals Ltd. The Ruby, 9th Floor, Senapati Bapat Marg, Dadar (W), Mumbai, India – 400028 Tel: 30266000 / 22694322 www.keynotecapitals.com
  • 3.
    Commodities (MCX) Intra-dayTechnical Levels For 24/09/12 Commodity Contract Close Intra Day Pivot Resistance Support Symbol Expiry 22/09/12 Trend Point R1 R2 R3 S1 S2 S3 NICKEL 28-Sep-12 960 DOWN 960 962 963 966 959 958 955 NICKELM 31-Dec-12 982 UP 982 983 984 987 981 980 978 NICKELM 30-Nov-12 975 DOWN 986 997 1019 1052 964 953 920 NICKELM 31-Oct-12 967 DOWN 968 969 970 973 966 965 962 NICKELM 28-Sep-12 960 DOWN 961 963 965 970 958 956 952 POTATO 15-Apr-13 709 UP 709 712 715 722 705 702 695 POTATO 15-Mar-13 743 UP 742 747 750 758 739 735 727 POTATO 15-Oct-12 1050 UP 1049 1055 1061 1073 1043 1036 1024 POTATOTRWR 15-Oct-12 976 UP 972 983 990 1008 965 954 936 REFSOYOIL 15-Dec-12 773 UP 258 515 258 258 515 258 258 REFSOYOIL 15-Nov-12 785 UP 262 523 262 262 523 262 262 REFSOYOIL 15-Oct-12 785 UP 262 523 262 262 523 262 262 SILVER 04-May-13 66648 DOWN 66648 66648 66648 66648 66648 66648 66648 SILVER 05-Mar-13 64984 DOWN 64988 65096 65208 65428 64876 64768 64548 SILVER 05-Dec-12 63277 DOWN 63329 63507 63737 64145 63099 62921 62513 SILVERM 30-Apr-13 66541 DOWN 66583 66686 66830 67077 66439 66336 66089 SILVERM 28-Feb-13 65008 DOWN 65028 65154 65300 65572 64882 64756 64484 SILVERM 30-Nov-12 63294 DOWN 63332 63491 63688 64044 63135 62976 62620 SILVERMIC 30-Apr-13 66574 DOWN 66740 67027 67479 68218 66288 66001 65262 SILVERMIC 28-Feb-13 65013 DOWN 65072 65244 65474 65876 64842 64670 64268 SILVERMIC 30-Nov-12 63296 DOWN 63355 63541 63785 64215 63111 62925 62495 SUGARMKOL 20-Dec-12 3555 UP 1185 2370 1185 1185 2370 1185 1185 SUGARMKOL 20-Nov-12 3631 UP 1210 2421 1210 1210 2421 1210 1210 SUGARMKOL 19-Oct-12 3546 UP 1182 2364 1182 1182 2364 1182 1182 WHEAT 20-Dec-12 1558 UP 519 1039 519 519 1039 519 519 WHEAT 20-Nov-12 1561 UP 520 1040 520 520 1040 520 520 WHEAT 19-Oct-12 1587 UP 529 1058 529 529 1058 529 529 ZINC 31-Dec-12 114 DOWN 114 114 114 114 114 114 114 ZINC 30-Nov-12 113 UP 113 113 113 113 113 113 112 ZINC 31-Oct-12 112 DOWN 112 112 113 113 112 112 112 ZINC 28-Sep-12 111 DOWN 111 112 112 112 111 111 111 ZINCMINI 31-Dec-12 114 DOWN 114 114 114 114 113 113 113 ZINCMINI 30-Nov-12 113 DOWN 113 113 113 113 113 113 113 ZINCMINI 31-Oct-12 112 DOWN 112 112 113 113 112 112 112 Keynote Capitals Ltd. The Ruby, 9th Floor, Senapati Bapat Marg, Dadar (W), Mumbai, India – 400028 Tel: 30266000 / 22694322 www.keynotecapitals.com
  • 4.
    Commodities (MCX) Intra-dayTechnical Levels For 24/09/12 Commodity Contract Close Intra Day Pivot Resistance Support Symbol Expiry 22/09/12 Trend Point R1 R2 R3 S1 S2 S3 ZINCMINI 28-Sep-12 111 DOWN 111 112 112 112 111 111 111 Sanjay Bhatia (AVP – Technical Research), Email Id sanjay@keynotecapitals.net Pivot Point: Intra- Day Trading Tool. - The key to the use of this tool is the use of Stop Loss Intra Day Trend: It is valid only till the point where Price trades above Pivot Point. For Eg. “UP” would be valid till Price remains above Pivot Point. It would become “DOWN” in event Price trades below Pivot Point. Pivot Point (PP): This is a trigger point for Intra Day Buy / Sell based on the price range of the previous day. R1: Resistance 1: 1st Resistance level over Pivot Point, R2: Resistance 2: Next Resistance level after R1. R3: Resistance 3: Next Resistance level after R2. S1: Support 1: 1st Support level after Pivot Point, S2: Support 2: Next Support level after S1. S3: Support 3: Next Support level after S2. Note: As per this tool, the trader should take BUY position just above the Pivot Point and keep the Pivot Point level as stop loss and the first target would be R1 level (Resistance 1). If R1 is crossed then R2 (Resistance 2) becomes the next target with the stop loss placed at R1 level. If R2 is crossed then R3 (Resistance 3) becomes the next target with the stop loss placed at R2 level. Similarly if price goes below the Pivot Point the trader should take a SELL position and keep the Pivot Point level as the stop loss and the first target would be S1 level (Support 1). If S1 level is breached then S2 level (Support 2) becomes the next target with the stop loss placed at S1 level. If S2 level is breached then S3 level (Support 3) becomes the next target with the stop loss placed at S2 level. Disclaimer: This document is not for public distribution and has been furnished to you solely for your information and must not be reproduced or redistributed to any other person. Persons into whose possession this document may come are required to observe these restrictions. This material is for the personal information of the authorized recipient, and we are not soliciting any action based upon it. This report is not to be construed as an offer to sell or the solicitation of an offer to buy any security in any jurisdiction where such an offer or solicitation would be illegal. It is for the general information of clients of Keynote Capitals Ltd. It does not constitute a personal recommendation or take into account the particular investment objectives, financial situations, or needs of individual clients. We have reviewed the report, and in so far as it includes current or historical information, it is believed to be reliable though its accuracy or completeness cannot be guaranteed. Neither Keynote Capitals Ltd., nor any person connected with it, accepts any liability arising from the use of this document. The recipients of this material should rely on their own investigations and take their own professional advice. Price and value of the investments referred to in this material may go up or down. Past performance is not a guide for future performance. Certain transactions -including those involving futures, options and other derivatives as well as non-investment grade securities - involve substantial risk and are not suitable for all investors. Reports based on technical analysis centers on studying charts of a stock’s price movement and trading volume, as opposed to focusing on a company’s fundamentals and as such, may not match with a report on a company’s fundamentals. Opinions expressed are our current opinions as of the date appearing on this material only. While we endeavor to update on a reasonable basis the information discussed in this material, there may be regulatory, compliance, or other reasons that prevent us from doing so. Prospective investors and others are cautioned that any forward-looking statements are not predictions and may be subject to change without notice. Our proprietary trading and investment businesses may make investment decisions that are inconsistent with the recommendations expressed herein. We and our affiliates, officers, directors, and employees world wide may: (a) from time to time, have long or short positions in, and buy or sell the securities thereof, of company (ies) mentioned herein or (b) be engaged in any other transaction involving such securities and earn brokerage or other compensation or act as a market maker in the financial instruments of the company (ies) discussed herein or act as advisor or lender / borrower to such company (ies) or have other potential conflict of interest with respect to any recommendation and related information and opinions. The analyst for this report certifies that all of the views expressed in this report accurately reflect his or her personal views about the subject company or companies and its or their securities, and no part of his or her compensation was, is or will be, directly or indirectly related to specific recommendations or views expressed in this report. No part of this material may be duplicated in any form and/or redistributed without Keynote Capitals Ltd’s., prior written consent. Keynote Capitals Ltd. The Ruby, 9th Floor, Senapati Bapat Marg, Dadar (W), Mumbai, India – 400028 Tel: 30266000 / 22694322 www.keynotecapitals.com