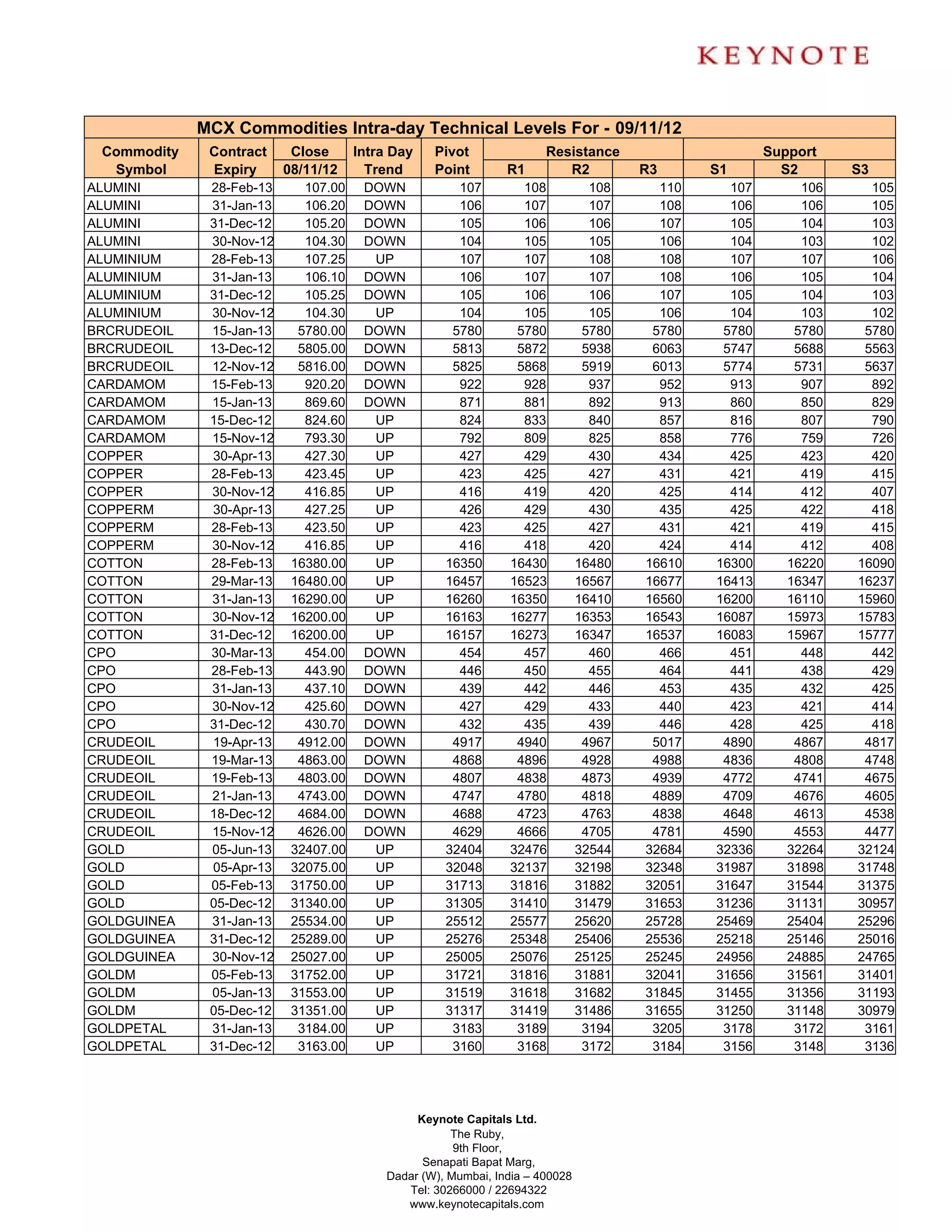
MCX Commodities Intra-day Technical Levels For - 09/11/12
 Commodity    Contract     Close      Intra Day    Pivot               Resistance                      Support
  Symbol      Expiry      08/11/12      Trend      Point        R1        R2           R3      S1        S2       S3
ALUMINI       28-Feb-13      107.00    DOWN            107         108           108     110     107        106     105
ALUMINI       31-Jan-13      106.20    DOWN            106         107           107     108     106        106     105
ALUMINI       31-Dec-12      105.20    DOWN            105         106           106     107     105        104     103
ALUMINI       30-Nov-12      104.30    DOWN            104         105           105     106     104        103     102
ALUMINIUM     28-Feb-13      107.25     UP             107         107           108     108     107        107     106
ALUMINIUM     31-Jan-13      106.10    DOWN            106         107           107     108     106        105     104
ALUMINIUM     31-Dec-12      105.25    DOWN            105         106           106     107     105        104     103
ALUMINIUM     30-Nov-12      104.30     UP             104         105           105     106     104        103     102
BRCRUDEOIL    15-Jan-13     5780.00    DOWN           5780        5780          5780    5780    5780       5780    5780
BRCRUDEOIL    13-Dec-12     5805.00    DOWN           5813        5872          5938    6063    5747       5688    5563
BRCRUDEOIL    12-Nov-12     5816.00    DOWN           5825        5868          5919    6013    5774       5731    5637
CARDAMOM      15-Feb-13      920.20    DOWN            922         928           937     952     913        907     892
CARDAMOM      15-Jan-13      869.60    DOWN            871         881           892     913     860        850     829
CARDAMOM      15-Dec-12      824.60     UP             824         833           840     857     816        807     790
CARDAMOM      15-Nov-12      793.30     UP             792         809           825     858     776        759     726
COPPER        30-Apr-13      427.30     UP             427         429           430     434     425        423     420
COPPER        28-Feb-13      423.45     UP             423         425           427     431     421        419     415
COPPER        30-Nov-12      416.85     UP             416         419           420     425     414        412     407
COPPERM       30-Apr-13      427.25     UP             426         429           430     435     425        422     418
COPPERM       28-Feb-13      423.50     UP             423         425           427     431     421        419     415
COPPERM       30-Nov-12      416.85     UP             416         418           420     424     414        412     408
COTTON        28-Feb-13    16380.00     UP           16350       16430         16480   16610   16300      16220   16090
COTTON        29-Mar-13    16480.00     UP           16457       16523         16567   16677   16413      16347   16237
COTTON        31-Jan-13    16290.00     UP           16260       16350         16410   16560   16200      16110   15960
COTTON        30-Nov-12    16200.00     UP           16163       16277         16353   16543   16087      15973   15783
COTTON        31-Dec-12    16200.00     UP           16157       16273         16347   16537   16083      15967   15777
CPO           30-Mar-13      454.00    DOWN            454         457           460     466     451        448     442
CPO           28-Feb-13      443.90    DOWN            446         450           455     464     441        438     429
CPO           31-Jan-13      437.10    DOWN            439         442           446     453     435        432     425
CPO           30-Nov-12      425.60    DOWN            427         429           433     440     423        421     414
CPO           31-Dec-12      430.70    DOWN            432         435           439     446     428        425     418
CRUDEOIL      19-Apr-13     4912.00    DOWN           4917        4940          4967    5017    4890       4867    4817
CRUDEOIL      19-Mar-13     4863.00    DOWN           4868        4896          4928    4988    4836       4808    4748
CRUDEOIL      19-Feb-13     4803.00    DOWN           4807        4838          4873    4939    4772       4741    4675
CRUDEOIL      21-Jan-13     4743.00    DOWN           4747        4780          4818    4889    4709       4676    4605
CRUDEOIL      18-Dec-12     4684.00    DOWN           4688        4723          4763    4838    4648       4613    4538
CRUDEOIL      15-Nov-12     4626.00    DOWN           4629        4666          4705    4781    4590       4553    4477
GOLD          05-Jun-13    32407.00     UP           32404       32476         32544   32684   32336      32264   32124
GOLD          05-Apr-13    32075.00     UP           32048       32137         32198   32348   31987      31898   31748
GOLD          05-Feb-13    31750.00     UP           31713       31816         31882   32051   31647      31544   31375
GOLD          05-Dec-12    31340.00     UP           31305       31410         31479   31653   31236      31131   30957
GOLDGUINEA    31-Jan-13    25534.00     UP           25512       25577         25620   25728   25469      25404   25296
GOLDGUINEA    31-Dec-12    25289.00     UP           25276       25348         25406   25536   25218      25146   25016
GOLDGUINEA    30-Nov-12    25027.00     UP           25005       25076         25125   25245   24956      24885   24765
GOLDM         05-Feb-13    31752.00     UP           31721       31816         31881   32041   31656      31561   31401
GOLDM         05-Jan-13    31553.00     UP           31519       31618         31682   31845   31455      31356   31193
GOLDM         05-Dec-12    31351.00     UP           31317       31419         31486   31655   31250      31148   30979
GOLDPETAL     31-Jan-13     3184.00     UP            3183        3189          3194    3205    3178       3172    3161
GOLDPETAL     31-Dec-12     3163.00     UP            3160        3168          3172    3184    3156       3148    3136




                                                Keynote Capitals Ltd.
                                                      The Ruby,
                                                       9th Floor,
                                                 Senapati Bapat Marg,
                                           Dadar (W), Mumbai, India – 400028
                                              Tel: 30266000 / 22694322
                                              www.keynotecapitals.com
MCX Commodities Intra-day Technical Levels For - 09/11/12
 Commodity    Contract      Close      Intra Day    Pivot               Resistance                      Support
  Symbol      Expiry       08/11/12      Trend      Point        R1        R2           R3      S1        S2       S3
GOLDPETAL     30-Nov-12      3135.00     UP            3133       3140           3146    3159    3127       3120    3107
GOLDPTLDEL    31-Jan-13      3186.00     UP            3184       3193           3200    3216    3177       3168    3152
GOLDPTLDEL    31-Dec-12      3166.00    DOWN           3168       3178           3190    3212    3156       3146    3124
GOLDPTLDEL    30-Nov-12      3151.00    DOWN           3155       3162           3173    3191    3144       3137    3119
KAPAS         30-Mar-13       948.30     UP             946        954            959     973     940        932     918
KAPAS          30-Apr-13      973.30     UP             970        980            986    1002     964        955     939
KAPASKHALI    30-Mar-13      1517.50    DOWN           1520       1528           1539    1558    1509       1501    1482
KAPASKHALI    28-Feb-13      1513.50     UP            1512       1521           1528    1544    1505       1496    1480
KAPASKHALI    31-Jan-13      1495.00     UP            1493       1504           1513    1533    1484       1473    1453
KAPASKHALI    31-Dec-12      1486.50     UP            1485       1495           1503    1521    1477       1467    1449
LEAD          28-Feb-13       119.65     UP             119        121            122     124     118        117     114
LEAD          31-Jan-13       120.50     UP             120        121            122     125     119        117     114
LEAD          31-Dec-12       120.95     UP             120        122            123     126     119        117     114
LEAD          30-Nov-12       121.20     UP             120        122            123     126     119        117     115
LEADMINI      28-Feb-13       120.30     UP             120        121            122     125     119        117     114
LEADMINI      31-Jan-13       120.70     UP             120        122            123     125     119        117     114
LEADMINI      31-Dec-12       120.95     UP             120        122            123     126     119        117     114
LEADMINI      30-Nov-12       121.15     UP             120        122            123     126     119        117     115
MENTHAOIL     28-Feb-13      1196.50    DOWN           1198       1204           1211    1224    1191       1185    1172
MENTHAOIL     31-Jan-13      1194.90    DOWN           1198       1202           1210    1221    1190       1186    1174
MENTHAOIL     31-Dec-12      1187.50    DOWN           1191       1198           1209    1227    1180       1172    1154
MENTHAOIL     30-Nov-12      1173.40    DOWN           1177       1184           1194    1210    1167       1160    1143
NATURALGAS    28-Jan-13       205.80     UP             205        207            208     212     204        201     198
NATURALGAS    26-Dec-12       204.10     UP             203        206            207     211     202        199     196
NATURALGAS    27-Nov-12       195.70     UP             195        197            199     203     193        191     187
NICKEL        28-Feb-13       908.30     UP             906        912            916     927     902        895     884
NICKEL        31-Jan-13       897.50     UP             895        902            907     919     890        882     870
NICKEL        31-Dec-12       887.40     UP             884        893            898     911     879        871     857
NICKEL        30-Nov-12       878.80     UP             875        884            889     904     870        861     847
NICKELM       28-Feb-13       907.50     UP             907        911            914     921     904        900     893
NICKELM       31-Jan-13       898.70     UP             895        903            908     920     891        883     871
NICKELM       31-Dec-12       887.70     UP             885        893            898     911     880        872     859
NICKELM       30-Nov-12       878.90     UP             876        884            890     904     870        862     848
POTATO         15-Apr-13      698.70     UP             698        701            704     710     696        693     687
POTATO        15-Mar-13       731.00    DOWN            731        732            733     735     730        729     727
POTATO        15-May-13       729.00     UP             729        730            731     734     728        726     723
SILVER        04-May-13     63178.00     UP           63069      63409          63639   64209   62839      62499   61929
SILVER        05-Mar-13     61751.00     UP           61560      62041          62330   63100   61271      60790   60020
SILVER        05-Dec-12     59881.00     UP           59698      60182          60484   61270   59396      58912   58126
SILVER1000    31-Dec-12     60288.00     UP           60216      60507          60725   61234   59998      59707   59198
SILVER1000    30-Nov-12     59798.00     UP           59725      60250          60702   61679   59273      58748   57771
SILVERM        30-Apr-13    63309.00     UP           63132      63577          63846   64560   62863      62418   61704
SILVERM       28-Feb-13     61776.00     UP           61593      62074          62373   63153   61294      60813   60033
SILVERM       30-Nov-12     59905.00     UP           59718      60212          60519   61320   59411      58917   58116
SILVERMIC      30-Apr-13    63278.00     UP           63055      63623          63968   64881   62710      62142   61229
SILVERMIC     28-Feb-13     61761.00     UP           61579      62053          62344   63109   61288      60814   60049




                                                 Keynote Capitals Ltd.
                                                       The Ruby,
                                                        9th Floor,
                                                  Senapati Bapat Marg,
                                            Dadar (W), Mumbai, India – 400028
                                               Tel: 30266000 / 22694322
                                               www.keynotecapitals.com
MCX Commodities Intra-day Technical Levels For - 09/11/12
   Commodity             Contract        Close         Intra Day       Pivot                  Resistance                                   Support
    Symbol               Expiry         08/11/12         Trend         Point          R1         R2               R3            S1           S2                  S3
SILVERMIC                30-Nov-12        59899.00        UP              59720        60199        60499          61278          59420         58941            58162
STEELRPR                 18-Jan-13        31010.00       DOWN             31130        31320        31630          32130          30820         30630            30130
STEELRPR                 20-Dec-12        30880.00       DOWN             30967        31073        31267          31567          30773         30667            30367
ZINC                     28-Feb-13          106.55        UP                107          107          107            108            106           106              105
ZINC                     31-Jan-13          105.70        UP                105          106          107            108            105           104              103
ZINC                     31-Dec-12          104.90        UP                104          105          106            108            104           103              101
ZINC                     30-Nov-12          103.85        UP                103          105          105            107            103           101              100
ZINCMINI                 28-Feb-13          106.55        UP                106          107          107            108            106           105              104
ZINCMINI                 31-Jan-13          105.70        UP                105          106          107            108            105           104              103
ZINCMINI                 31-Dec-12          104.85        UP                104          105          106            108            104           103              101
ZINCMINI                 30-Nov-12          103.80        UP                103          104          105            107            103           101              100



Sanjay Bhatia (AVP – Technical Research), Email Id sanjay@keynotecapitals.net

Pivot Point: Intra- Day Trading Tool. - The key to the use of this tool is the use of Stop Loss

 Intra Day Trend: It is valid only till the point where Price trades above Pivot Point. For Eg. “UP” would be valid till Price
remains above Pivot Point. It would become “DOWN” in event Price trades below Pivot Point.

Pivot Point (PP): This is a trigger point for Intra Day Buy / Sell based on the price range of the previous day.

R1: Resistance 1: 1st Resistance level over Pivot Point, R2: Resistance 2: Next Resistance level after R1.
R3: Resistance 3: Next Resistance level after R2.

S1: Support 1: 1st Support level after Pivot Point, S2: Support 2: Next Support level after S1.
S3: Support 3: Next Support level after S2.

Note: As per this tool, the trader should take BUY position just above the Pivot Point and keep the Pivot Point level as stop
loss and the first target would be R1 level (Resistance 1). If R1 is crossed then R2 (Resistance 2) becomes the next target
with the stop loss placed at R1 level. If R2 is crossed then R3 (Resistance 3) becomes the next target with the stop loss
placed at R2 level.

Similarly if price goes below the Pivot Point the trader should take a SELL position and keep the Pivot Point level as the
stop loss and the first target would be S1 level (Support 1). If S1 level is breached then S2 level (Support 2) becomes the
next target with the stop loss placed at S1 level. If S2 level is breached then S3 level (Support 3) becomes the next target
with the stop loss placed at S2 level.

Disclaimer: This document is not for public distribution and has been furnished to you solely for your information and must not be reproduced or
redistributed to any other person. Persons into whose possession this document may come are required to observe these restrictions. This material is
for the personal information of the authorized recipient, and we are not soliciting any action based upon it. This report is not to be construed as an offer
to sell or the solicitation of an offer to buy any security in any jurisdiction where such an offer or solicitation would be illegal. It is for the general
information of clients of Keynote Capitals Ltd. It does not constitute a personal recommendation or take into account the particular investment
objectives, financial situations, or needs of individual clients. We have reviewed the report, and in so far as it includes current or historical information,
it is believed to be reliable though its accuracy or completeness cannot be guaranteed. Neither Keynote Capitals Ltd., nor any person connected with
it, accepts any liability arising from the use of this document. The recipients of this material should rely on their own investigations and take their own
professional advice. Price and value of the investments referred to in this material may go up or down. Past performance is not a guide for future
performance. Certain transactions -including those involving futures, options and other derivatives as well as non-investment grade securities - involve
substantial risk and are not suitable for all investors. Reports based on technical analysis centers on studying charts of a stock’s price movement and
trading volume, as opposed to focusing on a company’s fundamentals and as such, may not match with a report on a company’s fundamentals.
Opinions expressed are our current opinions as of the date appearing on this material only. While we endeavor to update on a reasonable basis the
information discussed in this material, there may be regulatory, compliance, or other reasons that prevent us from doing so. Prospective investors and
others are cautioned that any forward-looking statements are not predictions and may be subject to change without notice. Our proprietary trading and
investment businesses may make investment decisions that are inconsistent with the recommendations expressed herein. We and our affiliates,
officers, directors, and employees world wide may: (a) from time to time, have long or short positions in, and buy or sell the securities thereof, of
company (ies) mentioned herein or (b) be engaged in any other transaction involving such securities and earn brokerage or other compensation or act
as a market maker in the financial instruments of the company (ies) discussed herein or act as advisor or lender / borrower to such company (ies) or
have other potential conflict of interest with respect to any recommendation and related information and opinions. The analyst for this report certifies
that all of the views expressed in this report accurately reflect his or her personal views about the subject company or companies and its or their
securities, and no part of his or her compensation was, is or will be, directly or indirectly related to specific recommendations or views expressed in this
report. No part of this material may be duplicated in any form and/or redistributed without Keynote Capitals Ltd’s., prior written consent.



                                                                   Keynote Capitals Ltd.
                                                                         The Ruby,
                                                                          9th Floor,
                                                                    Senapati Bapat Marg,
                                                              Dadar (W), Mumbai, India – 400028
                                                                 Tel: 30266000 / 22694322
                                                                 www.keynotecapitals.com

Keynote technicals commodity intraday levels for 091112

  • 1.
    MCX Commodities Intra-dayTechnical Levels For - 09/11/12 Commodity Contract Close Intra Day Pivot Resistance Support Symbol Expiry 08/11/12 Trend Point R1 R2 R3 S1 S2 S3 ALUMINI 28-Feb-13 107.00 DOWN 107 108 108 110 107 106 105 ALUMINI 31-Jan-13 106.20 DOWN 106 107 107 108 106 106 105 ALUMINI 31-Dec-12 105.20 DOWN 105 106 106 107 105 104 103 ALUMINI 30-Nov-12 104.30 DOWN 104 105 105 106 104 103 102 ALUMINIUM 28-Feb-13 107.25 UP 107 107 108 108 107 107 106 ALUMINIUM 31-Jan-13 106.10 DOWN 106 107 107 108 106 105 104 ALUMINIUM 31-Dec-12 105.25 DOWN 105 106 106 107 105 104 103 ALUMINIUM 30-Nov-12 104.30 UP 104 105 105 106 104 103 102 BRCRUDEOIL 15-Jan-13 5780.00 DOWN 5780 5780 5780 5780 5780 5780 5780 BRCRUDEOIL 13-Dec-12 5805.00 DOWN 5813 5872 5938 6063 5747 5688 5563 BRCRUDEOIL 12-Nov-12 5816.00 DOWN 5825 5868 5919 6013 5774 5731 5637 CARDAMOM 15-Feb-13 920.20 DOWN 922 928 937 952 913 907 892 CARDAMOM 15-Jan-13 869.60 DOWN 871 881 892 913 860 850 829 CARDAMOM 15-Dec-12 824.60 UP 824 833 840 857 816 807 790 CARDAMOM 15-Nov-12 793.30 UP 792 809 825 858 776 759 726 COPPER 30-Apr-13 427.30 UP 427 429 430 434 425 423 420 COPPER 28-Feb-13 423.45 UP 423 425 427 431 421 419 415 COPPER 30-Nov-12 416.85 UP 416 419 420 425 414 412 407 COPPERM 30-Apr-13 427.25 UP 426 429 430 435 425 422 418 COPPERM 28-Feb-13 423.50 UP 423 425 427 431 421 419 415 COPPERM 30-Nov-12 416.85 UP 416 418 420 424 414 412 408 COTTON 28-Feb-13 16380.00 UP 16350 16430 16480 16610 16300 16220 16090 COTTON 29-Mar-13 16480.00 UP 16457 16523 16567 16677 16413 16347 16237 COTTON 31-Jan-13 16290.00 UP 16260 16350 16410 16560 16200 16110 15960 COTTON 30-Nov-12 16200.00 UP 16163 16277 16353 16543 16087 15973 15783 COTTON 31-Dec-12 16200.00 UP 16157 16273 16347 16537 16083 15967 15777 CPO 30-Mar-13 454.00 DOWN 454 457 460 466 451 448 442 CPO 28-Feb-13 443.90 DOWN 446 450 455 464 441 438 429 CPO 31-Jan-13 437.10 DOWN 439 442 446 453 435 432 425 CPO 30-Nov-12 425.60 DOWN 427 429 433 440 423 421 414 CPO 31-Dec-12 430.70 DOWN 432 435 439 446 428 425 418 CRUDEOIL 19-Apr-13 4912.00 DOWN 4917 4940 4967 5017 4890 4867 4817 CRUDEOIL 19-Mar-13 4863.00 DOWN 4868 4896 4928 4988 4836 4808 4748 CRUDEOIL 19-Feb-13 4803.00 DOWN 4807 4838 4873 4939 4772 4741 4675 CRUDEOIL 21-Jan-13 4743.00 DOWN 4747 4780 4818 4889 4709 4676 4605 CRUDEOIL 18-Dec-12 4684.00 DOWN 4688 4723 4763 4838 4648 4613 4538 CRUDEOIL 15-Nov-12 4626.00 DOWN 4629 4666 4705 4781 4590 4553 4477 GOLD 05-Jun-13 32407.00 UP 32404 32476 32544 32684 32336 32264 32124 GOLD 05-Apr-13 32075.00 UP 32048 32137 32198 32348 31987 31898 31748 GOLD 05-Feb-13 31750.00 UP 31713 31816 31882 32051 31647 31544 31375 GOLD 05-Dec-12 31340.00 UP 31305 31410 31479 31653 31236 31131 30957 GOLDGUINEA 31-Jan-13 25534.00 UP 25512 25577 25620 25728 25469 25404 25296 GOLDGUINEA 31-Dec-12 25289.00 UP 25276 25348 25406 25536 25218 25146 25016 GOLDGUINEA 30-Nov-12 25027.00 UP 25005 25076 25125 25245 24956 24885 24765 GOLDM 05-Feb-13 31752.00 UP 31721 31816 31881 32041 31656 31561 31401 GOLDM 05-Jan-13 31553.00 UP 31519 31618 31682 31845 31455 31356 31193 GOLDM 05-Dec-12 31351.00 UP 31317 31419 31486 31655 31250 31148 30979 GOLDPETAL 31-Jan-13 3184.00 UP 3183 3189 3194 3205 3178 3172 3161 GOLDPETAL 31-Dec-12 3163.00 UP 3160 3168 3172 3184 3156 3148 3136 Keynote Capitals Ltd. The Ruby, 9th Floor, Senapati Bapat Marg, Dadar (W), Mumbai, India – 400028 Tel: 30266000 / 22694322 www.keynotecapitals.com
  • 2.
    MCX Commodities Intra-dayTechnical Levels For - 09/11/12 Commodity Contract Close Intra Day Pivot Resistance Support Symbol Expiry 08/11/12 Trend Point R1 R2 R3 S1 S2 S3 GOLDPETAL 30-Nov-12 3135.00 UP 3133 3140 3146 3159 3127 3120 3107 GOLDPTLDEL 31-Jan-13 3186.00 UP 3184 3193 3200 3216 3177 3168 3152 GOLDPTLDEL 31-Dec-12 3166.00 DOWN 3168 3178 3190 3212 3156 3146 3124 GOLDPTLDEL 30-Nov-12 3151.00 DOWN 3155 3162 3173 3191 3144 3137 3119 KAPAS 30-Mar-13 948.30 UP 946 954 959 973 940 932 918 KAPAS 30-Apr-13 973.30 UP 970 980 986 1002 964 955 939 KAPASKHALI 30-Mar-13 1517.50 DOWN 1520 1528 1539 1558 1509 1501 1482 KAPASKHALI 28-Feb-13 1513.50 UP 1512 1521 1528 1544 1505 1496 1480 KAPASKHALI 31-Jan-13 1495.00 UP 1493 1504 1513 1533 1484 1473 1453 KAPASKHALI 31-Dec-12 1486.50 UP 1485 1495 1503 1521 1477 1467 1449 LEAD 28-Feb-13 119.65 UP 119 121 122 124 118 117 114 LEAD 31-Jan-13 120.50 UP 120 121 122 125 119 117 114 LEAD 31-Dec-12 120.95 UP 120 122 123 126 119 117 114 LEAD 30-Nov-12 121.20 UP 120 122 123 126 119 117 115 LEADMINI 28-Feb-13 120.30 UP 120 121 122 125 119 117 114 LEADMINI 31-Jan-13 120.70 UP 120 122 123 125 119 117 114 LEADMINI 31-Dec-12 120.95 UP 120 122 123 126 119 117 114 LEADMINI 30-Nov-12 121.15 UP 120 122 123 126 119 117 115 MENTHAOIL 28-Feb-13 1196.50 DOWN 1198 1204 1211 1224 1191 1185 1172 MENTHAOIL 31-Jan-13 1194.90 DOWN 1198 1202 1210 1221 1190 1186 1174 MENTHAOIL 31-Dec-12 1187.50 DOWN 1191 1198 1209 1227 1180 1172 1154 MENTHAOIL 30-Nov-12 1173.40 DOWN 1177 1184 1194 1210 1167 1160 1143 NATURALGAS 28-Jan-13 205.80 UP 205 207 208 212 204 201 198 NATURALGAS 26-Dec-12 204.10 UP 203 206 207 211 202 199 196 NATURALGAS 27-Nov-12 195.70 UP 195 197 199 203 193 191 187 NICKEL 28-Feb-13 908.30 UP 906 912 916 927 902 895 884 NICKEL 31-Jan-13 897.50 UP 895 902 907 919 890 882 870 NICKEL 31-Dec-12 887.40 UP 884 893 898 911 879 871 857 NICKEL 30-Nov-12 878.80 UP 875 884 889 904 870 861 847 NICKELM 28-Feb-13 907.50 UP 907 911 914 921 904 900 893 NICKELM 31-Jan-13 898.70 UP 895 903 908 920 891 883 871 NICKELM 31-Dec-12 887.70 UP 885 893 898 911 880 872 859 NICKELM 30-Nov-12 878.90 UP 876 884 890 904 870 862 848 POTATO 15-Apr-13 698.70 UP 698 701 704 710 696 693 687 POTATO 15-Mar-13 731.00 DOWN 731 732 733 735 730 729 727 POTATO 15-May-13 729.00 UP 729 730 731 734 728 726 723 SILVER 04-May-13 63178.00 UP 63069 63409 63639 64209 62839 62499 61929 SILVER 05-Mar-13 61751.00 UP 61560 62041 62330 63100 61271 60790 60020 SILVER 05-Dec-12 59881.00 UP 59698 60182 60484 61270 59396 58912 58126 SILVER1000 31-Dec-12 60288.00 UP 60216 60507 60725 61234 59998 59707 59198 SILVER1000 30-Nov-12 59798.00 UP 59725 60250 60702 61679 59273 58748 57771 SILVERM 30-Apr-13 63309.00 UP 63132 63577 63846 64560 62863 62418 61704 SILVERM 28-Feb-13 61776.00 UP 61593 62074 62373 63153 61294 60813 60033 SILVERM 30-Nov-12 59905.00 UP 59718 60212 60519 61320 59411 58917 58116 SILVERMIC 30-Apr-13 63278.00 UP 63055 63623 63968 64881 62710 62142 61229 SILVERMIC 28-Feb-13 61761.00 UP 61579 62053 62344 63109 61288 60814 60049 Keynote Capitals Ltd. The Ruby, 9th Floor, Senapati Bapat Marg, Dadar (W), Mumbai, India – 400028 Tel: 30266000 / 22694322 www.keynotecapitals.com
  • 3.
    MCX Commodities Intra-dayTechnical Levels For - 09/11/12 Commodity Contract Close Intra Day Pivot Resistance Support Symbol Expiry 08/11/12 Trend Point R1 R2 R3 S1 S2 S3 SILVERMIC 30-Nov-12 59899.00 UP 59720 60199 60499 61278 59420 58941 58162 STEELRPR 18-Jan-13 31010.00 DOWN 31130 31320 31630 32130 30820 30630 30130 STEELRPR 20-Dec-12 30880.00 DOWN 30967 31073 31267 31567 30773 30667 30367 ZINC 28-Feb-13 106.55 UP 107 107 107 108 106 106 105 ZINC 31-Jan-13 105.70 UP 105 106 107 108 105 104 103 ZINC 31-Dec-12 104.90 UP 104 105 106 108 104 103 101 ZINC 30-Nov-12 103.85 UP 103 105 105 107 103 101 100 ZINCMINI 28-Feb-13 106.55 UP 106 107 107 108 106 105 104 ZINCMINI 31-Jan-13 105.70 UP 105 106 107 108 105 104 103 ZINCMINI 31-Dec-12 104.85 UP 104 105 106 108 104 103 101 ZINCMINI 30-Nov-12 103.80 UP 103 104 105 107 103 101 100 Sanjay Bhatia (AVP – Technical Research), Email Id sanjay@keynotecapitals.net Pivot Point: Intra- Day Trading Tool. - The key to the use of this tool is the use of Stop Loss Intra Day Trend: It is valid only till the point where Price trades above Pivot Point. For Eg. “UP” would be valid till Price remains above Pivot Point. It would become “DOWN” in event Price trades below Pivot Point. Pivot Point (PP): This is a trigger point for Intra Day Buy / Sell based on the price range of the previous day. R1: Resistance 1: 1st Resistance level over Pivot Point, R2: Resistance 2: Next Resistance level after R1. R3: Resistance 3: Next Resistance level after R2. S1: Support 1: 1st Support level after Pivot Point, S2: Support 2: Next Support level after S1. S3: Support 3: Next Support level after S2. Note: As per this tool, the trader should take BUY position just above the Pivot Point and keep the Pivot Point level as stop loss and the first target would be R1 level (Resistance 1). If R1 is crossed then R2 (Resistance 2) becomes the next target with the stop loss placed at R1 level. If R2 is crossed then R3 (Resistance 3) becomes the next target with the stop loss placed at R2 level. Similarly if price goes below the Pivot Point the trader should take a SELL position and keep the Pivot Point level as the stop loss and the first target would be S1 level (Support 1). If S1 level is breached then S2 level (Support 2) becomes the next target with the stop loss placed at S1 level. If S2 level is breached then S3 level (Support 3) becomes the next target with the stop loss placed at S2 level. Disclaimer: This document is not for public distribution and has been furnished to you solely for your information and must not be reproduced or redistributed to any other person. Persons into whose possession this document may come are required to observe these restrictions. This material is for the personal information of the authorized recipient, and we are not soliciting any action based upon it. This report is not to be construed as an offer to sell or the solicitation of an offer to buy any security in any jurisdiction where such an offer or solicitation would be illegal. It is for the general information of clients of Keynote Capitals Ltd. It does not constitute a personal recommendation or take into account the particular investment objectives, financial situations, or needs of individual clients. We have reviewed the report, and in so far as it includes current or historical information, it is believed to be reliable though its accuracy or completeness cannot be guaranteed. Neither Keynote Capitals Ltd., nor any person connected with it, accepts any liability arising from the use of this document. The recipients of this material should rely on their own investigations and take their own professional advice. Price and value of the investments referred to in this material may go up or down. Past performance is not a guide for future performance. Certain transactions -including those involving futures, options and other derivatives as well as non-investment grade securities - involve substantial risk and are not suitable for all investors. Reports based on technical analysis centers on studying charts of a stock’s price movement and trading volume, as opposed to focusing on a company’s fundamentals and as such, may not match with a report on a company’s fundamentals. Opinions expressed are our current opinions as of the date appearing on this material only. While we endeavor to update on a reasonable basis the information discussed in this material, there may be regulatory, compliance, or other reasons that prevent us from doing so. Prospective investors and others are cautioned that any forward-looking statements are not predictions and may be subject to change without notice. Our proprietary trading and investment businesses may make investment decisions that are inconsistent with the recommendations expressed herein. We and our affiliates, officers, directors, and employees world wide may: (a) from time to time, have long or short positions in, and buy or sell the securities thereof, of company (ies) mentioned herein or (b) be engaged in any other transaction involving such securities and earn brokerage or other compensation or act as a market maker in the financial instruments of the company (ies) discussed herein or act as advisor or lender / borrower to such company (ies) or have other potential conflict of interest with respect to any recommendation and related information and opinions. The analyst for this report certifies that all of the views expressed in this report accurately reflect his or her personal views about the subject company or companies and its or their securities, and no part of his or her compensation was, is or will be, directly or indirectly related to specific recommendations or views expressed in this report. No part of this material may be duplicated in any form and/or redistributed without Keynote Capitals Ltd’s., prior written consent. Keynote Capitals Ltd. The Ruby, 9th Floor, Senapati Bapat Marg, Dadar (W), Mumbai, India – 400028 Tel: 30266000 / 22694322 www.keynotecapitals.com