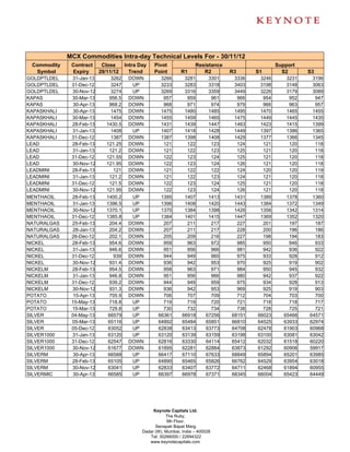
MCX Commodities Intra-day Technical Levels For - 30/11/12
 Commodity    Contract      Close      Intra Day   Pivot               Resistance                   Support
  Symbol      Expiry       29/11/12      Trend     Point        R1        R2        R3      S1        S2       S3
ALUMINI       28-Feb-13       113.35     UP            113         114        115     116     112        111     110
ALUMINI       31-Jan-13        112.9     UP            112         114        114     116     112        110     108
ALUMINI       31-Dec-12       112.55     UP            112         113        114     116     111        110     108
ALUMINI       30-Nov-12        112.9     UP            112         114        115     117     111        110     107
ALUMINIUM     28-Feb-13        113.3     UP            113         114        114     116     113        112     111
ALUMINIUM     31-Jan-13        112.9     UP            112         114        114     116     112        110     108
ALUMINIUM     31-Dec-12        112.6     UP            112         113        114     116     111        110     107
ALUMINIUM     30-Nov-12        112.9     UP            112         114        115     117     111        110     107
BRCRUDEOIL    15-Jan-13         6067     UP           6059        6092       6116    6173    6035       6002    5945
BRCRUDEOIL    13-Dec-12         6076    DOWN          6077        6107       6138    6199    6046       6016    5955
CARDAMOM      15-Mar-13       1123.3    DOWN          1127        1148       1173    1218    1102       1082    1036
CARDAMOM      15-Feb-13       1068.8    DOWN          1075        1094       1120    1165    1049       1030     985
CARDAMOM      15-Jan-13       1029.8    DOWN          1042        1066       1103    1163    1006        982     922
CARDAMOM      15-Dec-12        968.8    DOWN           977        1001       1033    1089     945        922     866
COPPER         30-Apr-13       443.1     UP            442         446        448     454     440        437     431
COPPER        28-Feb-13       439.45     UP            439         442        445     451     436        433     426
COPPER        30-Nov-12       433.35     UP            433         436        439     445     430        426     420
COPPERM        30-Apr-13         443     UP            442         445        448     453     440        437     431
COPPERM       28-Feb-13        439.5     UP            439         442        445     451     436        433     427
COPPERM       30-Nov-12       433.35     UP            433         436        439     445     430        426     420
COTTON        29-Mar-13        16640     UP          16633       16657      16673   16713   16617      16593   16553
COTTON        28-Feb-13        16480     UP          16477       16503      16527   16577   16453      16427   16377
COTTON        31-Jan-13        16370    DOWN         16373       16417      16463   16553   16327      16283   16193
COTTON        30-Nov-12        16210    DOWN         16247       16293      16377   16507   16163      16117   15987
COTTON        31-Dec-12        16270    DOWN         16280       16330      16390   16500   16220      16170   16060
CPO           30-Mar-13        456.4    DOWN           456         460        463     469     453        450     444
CPO           28-Feb-13        446.7    DOWN           448         451        455     462     444        441     434
CPO           30-Nov-12        422.8    DOWN           424         427        430     436     421        419     413
CPO           31-Jan-13        436.4    DOWN           439         442        448     457     433        430     421
CPO           31-Dec-12        428.8    DOWN           431         434        440     448     425        422     413
CRUDEOIL       19-Apr-13        5079     UP           5067        5109       5140    5213    5036       4994    4921
CRUDEOIL      20-May-13         5121    DOWN          5124        5137       5154    5184    5107       5094    5064
CRUDEOIL      19-Mar-13         5013     UP           5010        5048       5084    5158    4974       4936    4862
CRUDEOIL      19-Feb-13         4957     UP           4956        4991       5026    5096    4921       4886    4816
CRUDEOIL      21-Jan-13         4898     UP           4897        4936       4974    5051    4859       4820    4743
CRUDEOIL      18-Dec-12         4839     UP           4837        4876       4914    4991    4799       4760    4683
GOLD          05-Jun-13        32664    DOWN         32717       32833      33003   33289   32547      32431   32145
GOLD           05-Apr-13       32314    DOWN         32365       32495      32677   32989   32183      32053   31741
GOLD          05-Feb-13        31942    DOWN         31998       32142      32343   32688   31797      31653   31308
GOLD          05-Dec-12        31579    DOWN         31656       31801      32024   32392   31433      31288   30920
GOLDGUINEA    30-Nov-12        25319    DOWN         25374       25480      25642   25910   25212      25106   24838
GOLDGUINEA    31-Jan-13        25687    DOWN         25716       25796      25906   26096   25606      25526   25336
GOLDGUINEA    31-Dec-12        25494    DOWN         25533       25626      25757   25981   25402      25309   25085
GOLDM         05-Feb-13        31960    DOWN         32017       32160      32360   32703   31817      31674   31331
GOLDM         05-Jan-13        31793    DOWN         31857       31992      32192   32527   31657      31522   31187
GOLDM         05-Dec-12        31598    DOWN         31663       31794      31990   32317   31467      31336   31009
GOLDPETAL     30-Nov-12         3177    DOWN          3185        3200       3223    3261    3162       3147    3109
GOLDPETAL     31-Jan-13         3218    DOWN          3223        3234       3251    3279    3206       3195    3167
GOLDPETAL     31-Dec-12         3195    DOWN          3202        3216       3236    3270    3182       3168    3134




                                                   Keynote Capitals Ltd.
                                                         The Ruby,
                                                          9th Floor,
                                                    Senapati Bapat Marg,
                                              Dadar (W), Mumbai, India – 400028
                                                 Tel: 30266000 / 22694322
                                                 www.keynotecapitals.com
MCX Commodities Intra-day Technical Levels For - 30/11/12
 Commodity    Contract      Close      Intra Day   Pivot               Resistance                   Support
  Symbol      Expiry       29/11/12      Trend     Point        R1        R2        R3      S1        S2       S3
GOLDPTLDEL    31-Jan-13         3262    DOWN          3266        3281       3301    3336    3246       3231    3196
GOLDPTLDEL    31-Dec-12         3247     UP           3233        3283       3318    3403    3198       3148    3063
GOLDPTLDEL    30-Nov-12         3274     UP           3269        3316       3359    3449    3226       3179    3089
KAPAS         30-Mar-13        956.5    DOWN           957         959        961     966     954        952     947
KAPAS          30-Apr-13       968.2    DOWN           968         971        974     979     966        963     957
KAPASKHALI     30-Apr-13        1475    DOWN          1475        1480       1485    1495    1470       1465    1455
KAPASKHALI    30-Mar-13         1454    DOWN          1455        1459       1465    1475    1449       1445    1435
KAPASKHALI    28-Feb-13       1430.5    DOWN          1431        1439       1447    1463    1423       1415    1399
KAPASKHALI    31-Jan-13         1408     UP           1407        1418       1428    1449    1397       1386    1365
KAPASKHALI    31-Dec-12         1387    DOWN          1387        1398       1408    1429    1377       1366    1345
LEAD          28-Feb-13       121.25    DOWN           121         122        123     124     121        120     118
LEAD          31-Jan-13        121.2    DOWN           121         122        123     125     121        120     118
LEAD          31-Dec-12       121.55    DOWN           122         123        124     125     121        120     118
LEAD          30-Nov-12       121.95    DOWN           122         123        124     126     121        120     118
LEADMINI      28-Feb-13          121    DOWN           121         122        122     124     120        120     119
LEADMINI      31-Jan-13        121.2    DOWN           121         122        123     124     121        120     118
LEADMINI      31-Dec-12        121.5    DOWN           122         123        124     125     121        120     118
LEADMINI      30-Nov-12       121.95    DOWN           122         123        124     126     121        120     118
MENTHAOIL     28-Feb-13       1400.2     UP           1395        1407       1413    1431    1389       1378    1360
MENTHAOIL     31-Jan-13       1396.5     UP           1396        1408       1420    1443    1384       1372    1349
MENTHAOIL     30-Nov-12       1370.1     UP           1370        1384       1398    1426    1356       1342    1314
MENTHAOIL     31-Dec-12       1385.8     UP           1384        1401       1415    1447    1369       1352    1320
NATURALGAS    25-Feb-13        204.4    DOWN           207         211        217     227     201        197     187
NATURALGAS    28-Jan-13        204.2    DOWN           207         211        217     228     200        196     186
NATURALGAS    26-Dec-12        202.1    DOWN           205         209        216     227     198        194     183
NICKEL        28-Feb-13        954.6    DOWN           959         963        972     985     950        946     933
NICKEL        31-Jan-13        946.6    DOWN           951         956        966     981     942        936     922
NICKEL        31-Dec-12          939    DOWN           944         949        960     975     933        928     912
NICKEL        30-Nov-12        931.4    DOWN           936         942        953     970     925        919     902
NICKELM       28-Feb-13        954.5    DOWN           958         963        971     984     950        945     932
NICKELM       31-Jan-13        946.8    DOWN           951         956        966     980     942        937     922
NICKELM       31-Dec-12        939.2    DOWN           944         949        959     975     934        928     913
NICKELM       30-Nov-12        931.3    DOWN           936         942        953     969     925        919     903
POTATO         15-Apr-13       705.9    DOWN           706         707        709     712     704        703     700
POTATO        15-May-13        718.8     UP            719         719        720     721     718        718     717
POTATO        15-Mar-13        729.8     UP            730         732        734     738     728        725     721
SILVER        04-May-13        66579     UP          66361       66918      67256   68151   66023      65466   64571
SILVER        05-Mar-13        65116     UP          64892       65484      65851   66810   64525      63933   62974
SILVER        05-Dec-12        63052     UP          62838       63413      63773   64708   62478      61903   60968
SILVER1000    31-Jan-13        63120     UP          63120       63139      63159   63198   63100      63081   63042
SILVER1000    31-Dec-12        62547    DOWN         62816       63330      64114   65412   62032      61518   60220
SILVER1000    30-Nov-12        61677    DOWN         61895       62281      62884   63873   61292      60906   59917
SILVERM        30-Apr-13       66588     UP          66417       67110      67633   68849   65894      65201   63985
SILVERM       28-Feb-13        65105     UP          64890       65465      65826   66762   64529      63954   63018
SILVERM       30-Nov-12        63041     UP          62833       63407      63772   64711   62468      61894   60955
SILVERMIC      30-Apr-13       66585     UP          66397       66978      67371   68345   66004      65423   64449




                                                   Keynote Capitals Ltd.
                                                         The Ruby,
                                                          9th Floor,
                                                    Senapati Bapat Marg,
                                              Dadar (W), Mumbai, India – 400028
                                                 Tel: 30266000 / 22694322
                                                 www.keynotecapitals.com
MCX Commodities Intra-day Technical Levels For - 30/11/12
  Commodity              Contract        Close         Intra Day        Pivot                  Resistance                                   Support
   Symbol                Expiry         29/11/12         Trend          Point          R1         R2              R3             S1           S2               S3
SILVERMIC                28-Feb-13            65105       UP              64885        65460         65815          66745         64530          63955          63025
SILVERMIC                30-Nov-12            63042       UP              62833        63402         63761          64689         62474          61905          60977
STEELRPR                 20-Feb-13            31410       UP              31397        31513         31617          31837         31293          31177          30957
STEELRPR                 18-Jan-13            31160       UP              31147        31303         31447          31747         31003          30847          30547
STEELRPR                 20-Dec-12            30750      DOWN             30763        30957         31163          31563         30557          30363          29963
ZINC                     28-Feb-13            111.7       UP                111          112           113            114           111            110            109
ZINC                     31-Jan-13           111.35       UP                111          112           113            114           110            109            108
ZINC                     31-Dec-12            110.7       UP                110          112           112            114           110            109            107
ZINC                     30-Nov-12            110.2       UP                110          111           112            114           109            108            106
ZINCMINI                 28-Feb-13            111.8       UP                112          112           113            114           111            110            109
ZINCMINI                 31-Jan-13            111.3       UP                111          112           113            115           110            109            108
ZINCMINI                 31-Dec-12            110.7       UP                110          111           112            114           110            109            107
ZINCMINI                 30-Nov-12            110.2       UP                110          111           112            114           109            108            106

Sanjay Bhatia (AVP – Technical Research),
                                        Email Id sanjay@keynotecapitals.net

Pivot Point: Intra- Day Trading Tool. - The key to the use of this tool is the use of Stop Loss

 Intra Day Trend: It is valid only till the point where Price trades above Pivot Point. For Eg. “UP” would be valid till Price
remains above Pivot Point. It would become “DOWN” in event Price trades below Pivot Point.

Pivot Point (PP): This is a trigger point for Intra Day Buy / Sell based on the price range of the previous day.

R1: Resistance 1: 1st Resistance level over Pivot Point, R2: Resistance 2: Next Resistance level after R1.
R3: Resistance 3: Next Resistance level after R2.

S1: Support 1: 1st Support level after Pivot Point, S2: Support 2: Next Support level after S1.
S3: Support 3: Next Support level after S2.

Note: As per this tool, the trader should take BUY position just above the Pivot Point and keep the Pivot Point level as stop
loss and the first target would be R1 level (Resistance 1). If R1 is crossed then R2 (Resistance 2) becomes the next target
with the stop loss placed at R1 level. If R2 is crossed then R3 (Resistance 3) becomes the next target with the stop loss
placed at R2 level.

Similarly if price goes below the Pivot Point the trader should take a SELL position and keep the Pivot Point level as the
stop loss and the first target would be S1 level (Support 1). If S1 level is breached then S2 level (Support 2) becomes the
next target with the stop loss placed at S1 level. If S2 level is breached then S3 level (Support 3) becomes the next target
with the stop loss placed at S2 level.
Disclaimer: This document is not for public distribution and has been furnished to you solely for your information and must not be reproduced or
redistributed to any other person. Persons into whose possession this document may come are required to observe these restrictions. This material is
for the personal information of the authorized recipient, and we are not soliciting any action based upon it. This report is not to be construed as an offer
to sell or the solicitation of an offer to buy any security in any jurisdiction where such an offer or solicitation would be illegal. It is for the general
information of clients of Keynote Capitals Ltd. It does not constitute a personal recommendation or take into account the particular investment
objectives, financial situations, or needs of individual clients. We have reviewed the report, and in so far as it includes current or historical information, it
is believed to be reliable though its accuracy or completeness cannot be guaranteed. Neither Keynote Capitals Ltd., nor any person connected with it,
accepts any liability arising from the use of this document. The recipients of this material should rely on their own investigations and take their own
professional advice. Price and value of the investments referred to in this material may go up or down. Past performance is not a guide for future
performance. Certain transactions -including those involving futures, options and other derivatives as well as non-investment grade securities - involve
substantial risk and are not suitable for all investors. Reports based on technical analysis centers on studying charts of a stock’s price movement and
trading volume, as opposed to focusing on a company’s fundamentals and as such, may not match with a report on a company’s fundamentals.
Opinions expressed are our current opinions as of the date appearing on this material only. While we endeavor to update on a reasonable basis the
information discussed in this material, there may be regulatory, compliance, or other reasons that prevent us from doing so. Prospective investors and
others are cautioned that any forward-looking statements are not predictions and may be subject to change without notice. Our proprietary trading and
investment businesses may make investment decisions that are inconsistent with the recommendations expressed herein. We and our affiliates,
officers, directors, and employees world wide may: (a) from time to time, have long or short positions in, and buy or sell the securities thereof, of
company (ies) mentioned herein or (b) be engaged in any other transaction involving such securities and earn brokerage or other compensation or act
as a market maker in the financial instruments of the company (ies) discussed herein or act as advisor or lender / borrower to such company (ies) or
have other potential conflict of interest with respect to any recommendation and related information and opinions. The analyst for this report certifies that
all of the views expressed in this report accurately reflect his or her personal views about the subject company or companies and its or their securities,
and no part of his or her compensation was, is or will be, directly or indirectly related to specific recommendations or views expressed in this report. No
part of this material may be duplicated in any form and/or redistributed without Keynote Capitals Ltd’s., prior written consent.



                                                                      Keynote Capitals Ltd.
                                                                            The Ruby,
                                                                             9th Floor,
                                                                       Senapati Bapat Marg,
                                                                 Dadar (W), Mumbai, India – 400028
                                                                    Tel: 30266000 / 22694322
                                                                    www.keynotecapitals.com

Keynote technicals commodity intraday levels for 301112

  • 1.
    MCX Commodities Intra-dayTechnical Levels For - 30/11/12 Commodity Contract Close Intra Day Pivot Resistance Support Symbol Expiry 29/11/12 Trend Point R1 R2 R3 S1 S2 S3 ALUMINI 28-Feb-13 113.35 UP 113 114 115 116 112 111 110 ALUMINI 31-Jan-13 112.9 UP 112 114 114 116 112 110 108 ALUMINI 31-Dec-12 112.55 UP 112 113 114 116 111 110 108 ALUMINI 30-Nov-12 112.9 UP 112 114 115 117 111 110 107 ALUMINIUM 28-Feb-13 113.3 UP 113 114 114 116 113 112 111 ALUMINIUM 31-Jan-13 112.9 UP 112 114 114 116 112 110 108 ALUMINIUM 31-Dec-12 112.6 UP 112 113 114 116 111 110 107 ALUMINIUM 30-Nov-12 112.9 UP 112 114 115 117 111 110 107 BRCRUDEOIL 15-Jan-13 6067 UP 6059 6092 6116 6173 6035 6002 5945 BRCRUDEOIL 13-Dec-12 6076 DOWN 6077 6107 6138 6199 6046 6016 5955 CARDAMOM 15-Mar-13 1123.3 DOWN 1127 1148 1173 1218 1102 1082 1036 CARDAMOM 15-Feb-13 1068.8 DOWN 1075 1094 1120 1165 1049 1030 985 CARDAMOM 15-Jan-13 1029.8 DOWN 1042 1066 1103 1163 1006 982 922 CARDAMOM 15-Dec-12 968.8 DOWN 977 1001 1033 1089 945 922 866 COPPER 30-Apr-13 443.1 UP 442 446 448 454 440 437 431 COPPER 28-Feb-13 439.45 UP 439 442 445 451 436 433 426 COPPER 30-Nov-12 433.35 UP 433 436 439 445 430 426 420 COPPERM 30-Apr-13 443 UP 442 445 448 453 440 437 431 COPPERM 28-Feb-13 439.5 UP 439 442 445 451 436 433 427 COPPERM 30-Nov-12 433.35 UP 433 436 439 445 430 426 420 COTTON 29-Mar-13 16640 UP 16633 16657 16673 16713 16617 16593 16553 COTTON 28-Feb-13 16480 UP 16477 16503 16527 16577 16453 16427 16377 COTTON 31-Jan-13 16370 DOWN 16373 16417 16463 16553 16327 16283 16193 COTTON 30-Nov-12 16210 DOWN 16247 16293 16377 16507 16163 16117 15987 COTTON 31-Dec-12 16270 DOWN 16280 16330 16390 16500 16220 16170 16060 CPO 30-Mar-13 456.4 DOWN 456 460 463 469 453 450 444 CPO 28-Feb-13 446.7 DOWN 448 451 455 462 444 441 434 CPO 30-Nov-12 422.8 DOWN 424 427 430 436 421 419 413 CPO 31-Jan-13 436.4 DOWN 439 442 448 457 433 430 421 CPO 31-Dec-12 428.8 DOWN 431 434 440 448 425 422 413 CRUDEOIL 19-Apr-13 5079 UP 5067 5109 5140 5213 5036 4994 4921 CRUDEOIL 20-May-13 5121 DOWN 5124 5137 5154 5184 5107 5094 5064 CRUDEOIL 19-Mar-13 5013 UP 5010 5048 5084 5158 4974 4936 4862 CRUDEOIL 19-Feb-13 4957 UP 4956 4991 5026 5096 4921 4886 4816 CRUDEOIL 21-Jan-13 4898 UP 4897 4936 4974 5051 4859 4820 4743 CRUDEOIL 18-Dec-12 4839 UP 4837 4876 4914 4991 4799 4760 4683 GOLD 05-Jun-13 32664 DOWN 32717 32833 33003 33289 32547 32431 32145 GOLD 05-Apr-13 32314 DOWN 32365 32495 32677 32989 32183 32053 31741 GOLD 05-Feb-13 31942 DOWN 31998 32142 32343 32688 31797 31653 31308 GOLD 05-Dec-12 31579 DOWN 31656 31801 32024 32392 31433 31288 30920 GOLDGUINEA 30-Nov-12 25319 DOWN 25374 25480 25642 25910 25212 25106 24838 GOLDGUINEA 31-Jan-13 25687 DOWN 25716 25796 25906 26096 25606 25526 25336 GOLDGUINEA 31-Dec-12 25494 DOWN 25533 25626 25757 25981 25402 25309 25085 GOLDM 05-Feb-13 31960 DOWN 32017 32160 32360 32703 31817 31674 31331 GOLDM 05-Jan-13 31793 DOWN 31857 31992 32192 32527 31657 31522 31187 GOLDM 05-Dec-12 31598 DOWN 31663 31794 31990 32317 31467 31336 31009 GOLDPETAL 30-Nov-12 3177 DOWN 3185 3200 3223 3261 3162 3147 3109 GOLDPETAL 31-Jan-13 3218 DOWN 3223 3234 3251 3279 3206 3195 3167 GOLDPETAL 31-Dec-12 3195 DOWN 3202 3216 3236 3270 3182 3168 3134 Keynote Capitals Ltd. The Ruby, 9th Floor, Senapati Bapat Marg, Dadar (W), Mumbai, India – 400028 Tel: 30266000 / 22694322 www.keynotecapitals.com
  • 2.
    MCX Commodities Intra-dayTechnical Levels For - 30/11/12 Commodity Contract Close Intra Day Pivot Resistance Support Symbol Expiry 29/11/12 Trend Point R1 R2 R3 S1 S2 S3 GOLDPTLDEL 31-Jan-13 3262 DOWN 3266 3281 3301 3336 3246 3231 3196 GOLDPTLDEL 31-Dec-12 3247 UP 3233 3283 3318 3403 3198 3148 3063 GOLDPTLDEL 30-Nov-12 3274 UP 3269 3316 3359 3449 3226 3179 3089 KAPAS 30-Mar-13 956.5 DOWN 957 959 961 966 954 952 947 KAPAS 30-Apr-13 968.2 DOWN 968 971 974 979 966 963 957 KAPASKHALI 30-Apr-13 1475 DOWN 1475 1480 1485 1495 1470 1465 1455 KAPASKHALI 30-Mar-13 1454 DOWN 1455 1459 1465 1475 1449 1445 1435 KAPASKHALI 28-Feb-13 1430.5 DOWN 1431 1439 1447 1463 1423 1415 1399 KAPASKHALI 31-Jan-13 1408 UP 1407 1418 1428 1449 1397 1386 1365 KAPASKHALI 31-Dec-12 1387 DOWN 1387 1398 1408 1429 1377 1366 1345 LEAD 28-Feb-13 121.25 DOWN 121 122 123 124 121 120 118 LEAD 31-Jan-13 121.2 DOWN 121 122 123 125 121 120 118 LEAD 31-Dec-12 121.55 DOWN 122 123 124 125 121 120 118 LEAD 30-Nov-12 121.95 DOWN 122 123 124 126 121 120 118 LEADMINI 28-Feb-13 121 DOWN 121 122 122 124 120 120 119 LEADMINI 31-Jan-13 121.2 DOWN 121 122 123 124 121 120 118 LEADMINI 31-Dec-12 121.5 DOWN 122 123 124 125 121 120 118 LEADMINI 30-Nov-12 121.95 DOWN 122 123 124 126 121 120 118 MENTHAOIL 28-Feb-13 1400.2 UP 1395 1407 1413 1431 1389 1378 1360 MENTHAOIL 31-Jan-13 1396.5 UP 1396 1408 1420 1443 1384 1372 1349 MENTHAOIL 30-Nov-12 1370.1 UP 1370 1384 1398 1426 1356 1342 1314 MENTHAOIL 31-Dec-12 1385.8 UP 1384 1401 1415 1447 1369 1352 1320 NATURALGAS 25-Feb-13 204.4 DOWN 207 211 217 227 201 197 187 NATURALGAS 28-Jan-13 204.2 DOWN 207 211 217 228 200 196 186 NATURALGAS 26-Dec-12 202.1 DOWN 205 209 216 227 198 194 183 NICKEL 28-Feb-13 954.6 DOWN 959 963 972 985 950 946 933 NICKEL 31-Jan-13 946.6 DOWN 951 956 966 981 942 936 922 NICKEL 31-Dec-12 939 DOWN 944 949 960 975 933 928 912 NICKEL 30-Nov-12 931.4 DOWN 936 942 953 970 925 919 902 NICKELM 28-Feb-13 954.5 DOWN 958 963 971 984 950 945 932 NICKELM 31-Jan-13 946.8 DOWN 951 956 966 980 942 937 922 NICKELM 31-Dec-12 939.2 DOWN 944 949 959 975 934 928 913 NICKELM 30-Nov-12 931.3 DOWN 936 942 953 969 925 919 903 POTATO 15-Apr-13 705.9 DOWN 706 707 709 712 704 703 700 POTATO 15-May-13 718.8 UP 719 719 720 721 718 718 717 POTATO 15-Mar-13 729.8 UP 730 732 734 738 728 725 721 SILVER 04-May-13 66579 UP 66361 66918 67256 68151 66023 65466 64571 SILVER 05-Mar-13 65116 UP 64892 65484 65851 66810 64525 63933 62974 SILVER 05-Dec-12 63052 UP 62838 63413 63773 64708 62478 61903 60968 SILVER1000 31-Jan-13 63120 UP 63120 63139 63159 63198 63100 63081 63042 SILVER1000 31-Dec-12 62547 DOWN 62816 63330 64114 65412 62032 61518 60220 SILVER1000 30-Nov-12 61677 DOWN 61895 62281 62884 63873 61292 60906 59917 SILVERM 30-Apr-13 66588 UP 66417 67110 67633 68849 65894 65201 63985 SILVERM 28-Feb-13 65105 UP 64890 65465 65826 66762 64529 63954 63018 SILVERM 30-Nov-12 63041 UP 62833 63407 63772 64711 62468 61894 60955 SILVERMIC 30-Apr-13 66585 UP 66397 66978 67371 68345 66004 65423 64449 Keynote Capitals Ltd. The Ruby, 9th Floor, Senapati Bapat Marg, Dadar (W), Mumbai, India – 400028 Tel: 30266000 / 22694322 www.keynotecapitals.com
  • 3.
    MCX Commodities Intra-dayTechnical Levels For - 30/11/12 Commodity Contract Close Intra Day Pivot Resistance Support Symbol Expiry 29/11/12 Trend Point R1 R2 R3 S1 S2 S3 SILVERMIC 28-Feb-13 65105 UP 64885 65460 65815 66745 64530 63955 63025 SILVERMIC 30-Nov-12 63042 UP 62833 63402 63761 64689 62474 61905 60977 STEELRPR 20-Feb-13 31410 UP 31397 31513 31617 31837 31293 31177 30957 STEELRPR 18-Jan-13 31160 UP 31147 31303 31447 31747 31003 30847 30547 STEELRPR 20-Dec-12 30750 DOWN 30763 30957 31163 31563 30557 30363 29963 ZINC 28-Feb-13 111.7 UP 111 112 113 114 111 110 109 ZINC 31-Jan-13 111.35 UP 111 112 113 114 110 109 108 ZINC 31-Dec-12 110.7 UP 110 112 112 114 110 109 107 ZINC 30-Nov-12 110.2 UP 110 111 112 114 109 108 106 ZINCMINI 28-Feb-13 111.8 UP 112 112 113 114 111 110 109 ZINCMINI 31-Jan-13 111.3 UP 111 112 113 115 110 109 108 ZINCMINI 31-Dec-12 110.7 UP 110 111 112 114 110 109 107 ZINCMINI 30-Nov-12 110.2 UP 110 111 112 114 109 108 106 Sanjay Bhatia (AVP – Technical Research), Email Id sanjay@keynotecapitals.net Pivot Point: Intra- Day Trading Tool. - The key to the use of this tool is the use of Stop Loss Intra Day Trend: It is valid only till the point where Price trades above Pivot Point. For Eg. “UP” would be valid till Price remains above Pivot Point. It would become “DOWN” in event Price trades below Pivot Point. Pivot Point (PP): This is a trigger point for Intra Day Buy / Sell based on the price range of the previous day. R1: Resistance 1: 1st Resistance level over Pivot Point, R2: Resistance 2: Next Resistance level after R1. R3: Resistance 3: Next Resistance level after R2. S1: Support 1: 1st Support level after Pivot Point, S2: Support 2: Next Support level after S1. S3: Support 3: Next Support level after S2. Note: As per this tool, the trader should take BUY position just above the Pivot Point and keep the Pivot Point level as stop loss and the first target would be R1 level (Resistance 1). If R1 is crossed then R2 (Resistance 2) becomes the next target with the stop loss placed at R1 level. If R2 is crossed then R3 (Resistance 3) becomes the next target with the stop loss placed at R2 level. Similarly if price goes below the Pivot Point the trader should take a SELL position and keep the Pivot Point level as the stop loss and the first target would be S1 level (Support 1). If S1 level is breached then S2 level (Support 2) becomes the next target with the stop loss placed at S1 level. If S2 level is breached then S3 level (Support 3) becomes the next target with the stop loss placed at S2 level. Disclaimer: This document is not for public distribution and has been furnished to you solely for your information and must not be reproduced or redistributed to any other person. Persons into whose possession this document may come are required to observe these restrictions. This material is for the personal information of the authorized recipient, and we are not soliciting any action based upon it. This report is not to be construed as an offer to sell or the solicitation of an offer to buy any security in any jurisdiction where such an offer or solicitation would be illegal. It is for the general information of clients of Keynote Capitals Ltd. It does not constitute a personal recommendation or take into account the particular investment objectives, financial situations, or needs of individual clients. We have reviewed the report, and in so far as it includes current or historical information, it is believed to be reliable though its accuracy or completeness cannot be guaranteed. Neither Keynote Capitals Ltd., nor any person connected with it, accepts any liability arising from the use of this document. The recipients of this material should rely on their own investigations and take their own professional advice. Price and value of the investments referred to in this material may go up or down. Past performance is not a guide for future performance. Certain transactions -including those involving futures, options and other derivatives as well as non-investment grade securities - involve substantial risk and are not suitable for all investors. Reports based on technical analysis centers on studying charts of a stock’s price movement and trading volume, as opposed to focusing on a company’s fundamentals and as such, may not match with a report on a company’s fundamentals. Opinions expressed are our current opinions as of the date appearing on this material only. While we endeavor to update on a reasonable basis the information discussed in this material, there may be regulatory, compliance, or other reasons that prevent us from doing so. Prospective investors and others are cautioned that any forward-looking statements are not predictions and may be subject to change without notice. Our proprietary trading and investment businesses may make investment decisions that are inconsistent with the recommendations expressed herein. We and our affiliates, officers, directors, and employees world wide may: (a) from time to time, have long or short positions in, and buy or sell the securities thereof, of company (ies) mentioned herein or (b) be engaged in any other transaction involving such securities and earn brokerage or other compensation or act as a market maker in the financial instruments of the company (ies) discussed herein or act as advisor or lender / borrower to such company (ies) or have other potential conflict of interest with respect to any recommendation and related information and opinions. The analyst for this report certifies that all of the views expressed in this report accurately reflect his or her personal views about the subject company or companies and its or their securities, and no part of his or her compensation was, is or will be, directly or indirectly related to specific recommendations or views expressed in this report. No part of this material may be duplicated in any form and/or redistributed without Keynote Capitals Ltd’s., prior written consent. Keynote Capitals Ltd. The Ruby, 9th Floor, Senapati Bapat Marg, Dadar (W), Mumbai, India – 400028 Tel: 30266000 / 22694322 www.keynotecapitals.com