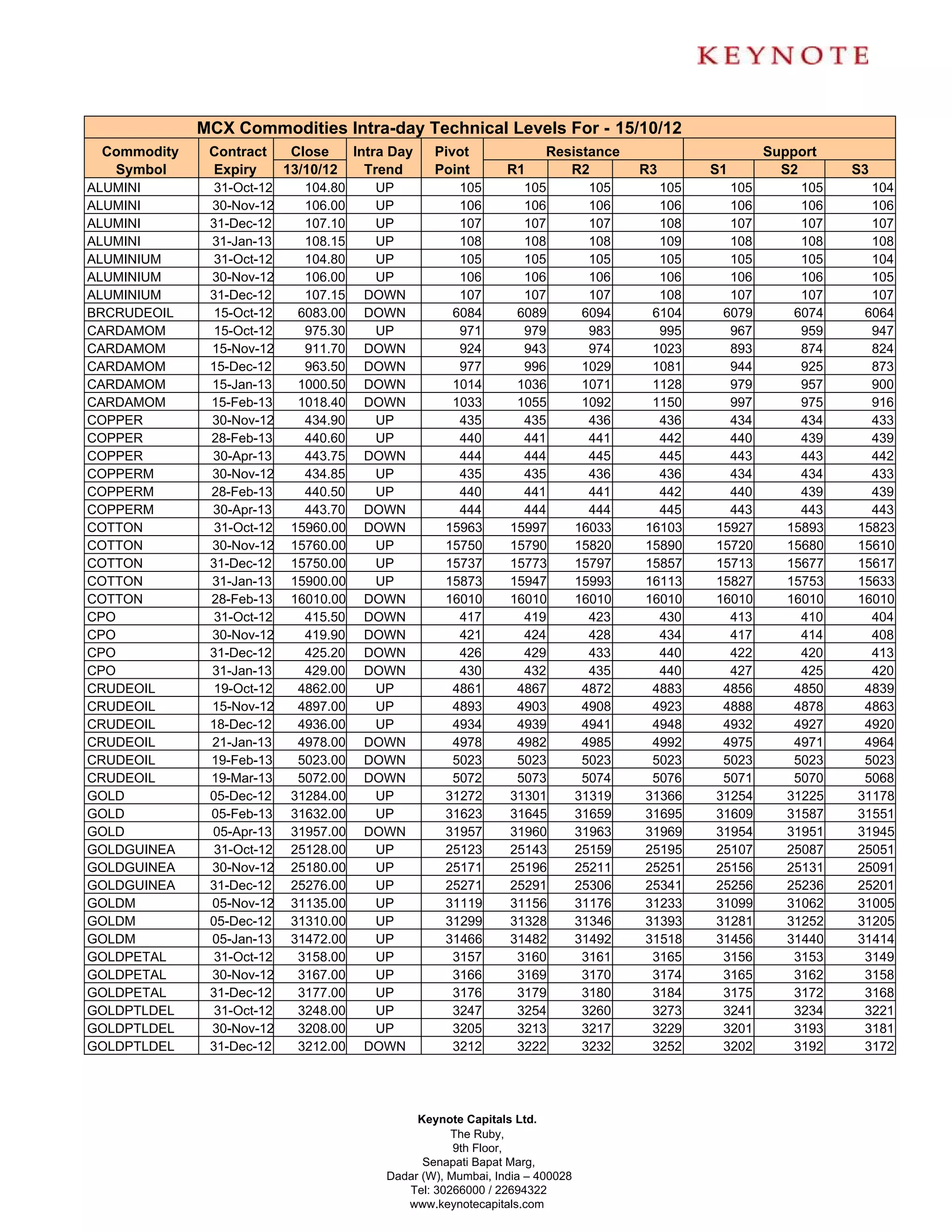
MCX Commodities Intra-day Technical Levels For - 15/10/12
 Commodity    Contract      Close      Intra Day    Pivot               Resistance                      Support
  Symbol      Expiry       13/10/12      Trend      Point        R1        R2           R3      S1        S2       S3
ALUMINI        31-Oct-12      104.80     UP             105         105           105     105     105        105     104
ALUMINI       30-Nov-12       106.00     UP             106         106           106     106     106        106     106
ALUMINI       31-Dec-12       107.10     UP             107         107           107     108     107        107     107
ALUMINI       31-Jan-13       108.15     UP             108         108           108     109     108        108     108
ALUMINIUM      31-Oct-12      104.80     UP             105         105           105     105     105        105     104
ALUMINIUM     30-Nov-12       106.00     UP             106         106           106     106     106        106     105
ALUMINIUM     31-Dec-12       107.15    DOWN            107         107           107     108     107        107     107
BRCRUDEOIL     15-Oct-12     6083.00    DOWN           6084        6089          6094    6104    6079       6074    6064
CARDAMOM       15-Oct-12      975.30     UP             971         979           983     995     967        959     947
CARDAMOM      15-Nov-12       911.70    DOWN            924         943           974    1023     893        874     824
CARDAMOM      15-Dec-12       963.50    DOWN            977         996          1029    1081     944        925     873
CARDAMOM      15-Jan-13      1000.50    DOWN           1014        1036          1071    1128     979        957     900
CARDAMOM      15-Feb-13      1018.40    DOWN           1033        1055          1092    1150     997        975     916
COPPER        30-Nov-12       434.90     UP             435         435           436     436     434        434     433
COPPER        28-Feb-13       440.60     UP             440         441           441     442     440        439     439
COPPER        30-Apr-13       443.75    DOWN            444         444           445     445     443        443     442
COPPERM       30-Nov-12       434.85     UP             435         435           436     436     434        434     433
COPPERM       28-Feb-13       440.50     UP             440         441           441     442     440        439     439
COPPERM       30-Apr-13       443.70    DOWN            444         444           444     445     443        443     443
COTTON         31-Oct-12    15960.00    DOWN          15963       15997         16033   16103   15927      15893   15823
COTTON        30-Nov-12     15760.00     UP           15750       15790         15820   15890   15720      15680   15610
COTTON        31-Dec-12     15750.00     UP           15737       15773         15797   15857   15713      15677   15617
COTTON        31-Jan-13     15900.00     UP           15873       15947         15993   16113   15827      15753   15633
COTTON        28-Feb-13     16010.00    DOWN          16010       16010         16010   16010   16010      16010   16010
CPO            31-Oct-12      415.50    DOWN            417         419           423     430     413        410     404
CPO           30-Nov-12       419.90    DOWN            421         424           428     434     417        414     408
CPO           31-Dec-12       425.20    DOWN            426         429           433     440     422        420     413
CPO           31-Jan-13       429.00    DOWN            430         432           435     440     427        425     420
CRUDEOIL       19-Oct-12     4862.00     UP            4861        4867          4872    4883    4856       4850    4839
CRUDEOIL      15-Nov-12      4897.00     UP            4893        4903          4908    4923    4888       4878    4863
CRUDEOIL      18-Dec-12      4936.00     UP            4934        4939          4941    4948    4932       4927    4920
CRUDEOIL      21-Jan-13      4978.00    DOWN           4978        4982          4985    4992    4975       4971    4964
CRUDEOIL      19-Feb-13      5023.00    DOWN           5023        5023          5023    5023    5023       5023    5023
CRUDEOIL      19-Mar-13      5072.00    DOWN           5072        5073          5074    5076    5071       5070    5068
GOLD          05-Dec-12     31284.00     UP           31272       31301         31319   31366   31254      31225   31178
GOLD          05-Feb-13     31632.00     UP           31623       31645         31659   31695   31609      31587   31551
GOLD          05-Apr-13     31957.00    DOWN          31957       31960         31963   31969   31954      31951   31945
GOLDGUINEA     31-Oct-12    25128.00     UP           25123       25143         25159   25195   25107      25087   25051
GOLDGUINEA    30-Nov-12     25180.00     UP           25171       25196         25211   25251   25156      25131   25091
GOLDGUINEA    31-Dec-12     25276.00     UP           25271       25291         25306   25341   25256      25236   25201
GOLDM         05-Nov-12     31135.00     UP           31119       31156         31176   31233   31099      31062   31005
GOLDM         05-Dec-12     31310.00     UP           31299       31328         31346   31393   31281      31252   31205
GOLDM         05-Jan-13     31472.00     UP           31466       31482         31492   31518   31456      31440   31414
GOLDPETAL      31-Oct-12     3158.00     UP            3157        3160          3161    3165    3156       3153    3149
GOLDPETAL     30-Nov-12      3167.00     UP            3166        3169          3170    3174    3165       3162    3158
GOLDPETAL     31-Dec-12      3177.00     UP            3176        3179          3180    3184    3175       3172    3168
GOLDPTLDEL     31-Oct-12     3248.00     UP            3247        3254          3260    3273    3241       3234    3221
GOLDPTLDEL    30-Nov-12      3208.00     UP            3205        3213          3217    3229    3201       3193    3181
GOLDPTLDEL    31-Dec-12      3212.00    DOWN           3212        3222          3232    3252    3202       3192    3172




                                                 Keynote Capitals Ltd.
                                                       The Ruby,
                                                        9th Floor,
                                                  Senapati Bapat Marg,
                                            Dadar (W), Mumbai, India – 400028
                                               Tel: 30266000 / 22694322
                                               www.keynotecapitals.com
MCX Commodities Intra-day Technical Levels For - 15/10/12
 Commodity    Contract      Close      Intra Day    Pivot               Resistance                      Support
  Symbol      Expiry       13/10/12      Trend      Point        R1        R2           R3      S1        S2       S3
KAPAS         30-Mar-13       909.50     UP             908        916            923     937     901        893     879
KAPAS          30-Apr-13      930.70    DOWN            931        936            942     954     925        919     908
KAPASKHALI    31-Dec-12      1399.50     UP            1398       1408           1416    1434    1390       1380    1362
KAPASKHALI    31-Jan-13      1413.50     UP            1411       1421           1429    1447    1403       1393    1375
KAPASKHALI    28-Feb-13      1435.00     UP            1433       1442           1448    1464    1426       1417    1402
KAPASKHALI    30-Mar-13      1442.50    DOWN           1443       1445           1448    1453    1440       1438    1433
KAPASKHALI     30-Apr-13     1455.00    DOWN           1455       1455           1455    1455    1455       1455    1455
LEAD           31-Oct-12      113.45     UP             113        114            114     114     113        113     113
LEAD          30-Nov-12       113.55    DOWN            114        114            114     114     113        113     113
LEAD          31-Dec-12       113.70    DOWN            114        114            114     114     114        114     114
LEAD          31-Jan-13       113.90    DOWN            114        114            114     114     114        114     114
LEADMINI       31-Oct-12      113.45     UP             113        114            114     114     113        113     113
LEADMINI      30-Nov-12       113.55    DOWN            114        114            114     114     113        113     113
LEADMINI      31-Dec-12       113.75     UP             114        114            114     114     114        114     113
LEADMINI      31-Jan-13       113.85    DOWN            114        114            114     114     114        114     113
MENTHAOIL      31-Oct-12     1173.10    DOWN           1174       1183           1193    1212    1164       1155    1136
MENTHAOIL     30-Nov-12      1187.70    DOWN           1190       1199           1210    1230    1179       1170    1150
MENTHAOIL     31-Dec-12      1198.50    DOWN           1201       1208           1218    1235    1191       1183    1166
MENTHAOIL     31-Jan-13      1200.60    DOWN           1205       1214           1227    1249    1192       1183    1161
NATURALGAS     26-Oct-12      190.90     UP             191        191            191     192     191        190     190
NATURALGAS    27-Nov-12       205.20    DOWN            205        206            206     207     205        204     203
NATURALGAS    26-Dec-12       212.20    DOWN            212        213            213     213     212        212     211
NICKEL         31-Oct-12      909.40    DOWN            910        911            914     917     908        906     902
NICKEL        30-Nov-12       917.00    DOWN            917        919            921     924     915        914     910
NICKEL        31-Dec-12       923.70    DOWN            924        926            928     931     922        921     918
NICKEL        31-Jan-13       931.70     UP             931        932            933     935     931        930     928
NICKELM        31-Oct-12      909.50    DOWN            910        912            914     917     908        906     902
NICKELM       30-Nov-12       917.20     UP             917        919            921     924     915        914     910
NICKELM       31-Dec-12       924.70    DOWN            925        926            928     932     923        921     918
NICKELM       31-Jan-13       929.60     UP             929        933            936     944     925        921     914
POTATO         15-Oct-12      807.80    DOWN            808        808            808     808     808        808     808
POTATO        15-Mar-13       734.60     UP             732        739            743     753     728        722     712
POTATO         15-Apr-13      698.50     UP             695        702            706     717     691        684     674
POTATOTRWR     15-Oct-12      873.00     UP             873        875            878     883     870        868     863
SILVER        05-Dec-12     61198.00     UP           61185      61260          61322   61459   61123      61048   60911
SILVER        05-Mar-13     62906.00     UP           62896      62960          63013   63130   62843      62779   62662
SILVER        04-May-13     64406.00    DOWN          64419      64437          64469   64519   64387      64369   64319
SILVER1000     31-Oct-12    60667.00    DOWN          60712      60873          61080   61448   60505      60344   59976
SILVER1000    30-Nov-12     61232.00    DOWN          61296      61443          61654   62012   61085      60938   60580
SILVERM       30-Nov-12     61219.00     UP           61191      61306          61394   61597   61103      60988   60785
SILVERM       28-Feb-13     62935.00     UP           62932      63004          63072   63212   62864      62792   62652
SILVERM        30-Apr-13    64483.00     UP           64458      64532          64580   64702   64410      64336   64214
SILVERMIC     30-Nov-12     61222.00     UP           61214      61408          61593   61972   61029      60835   60456
SILVERMIC     28-Feb-13     62940.00     UP           62918      63032          63123   63328   62827      62713   62508
SILVERMIC      30-Apr-13    64470.00     UP           64464      64539          64609   64754   64394      64319   64174
ZINC           31-Oct-12      101.40     UP             101        102            102     102     101        101     101




                                                 Keynote Capitals Ltd.
                                                       The Ruby,
                                                        9th Floor,
                                                  Senapati Bapat Marg,
                                            Dadar (W), Mumbai, India – 400028
                                               Tel: 30266000 / 22694322
                                               www.keynotecapitals.com
MCX Commodities Intra-day Technical Levels For - 15/10/12
   Commodity             Contract        Close         Intra Day        Pivot                  Resistance                                   Support
    Symbol               Expiry         13/10/12         Trend          Point          R1         R2              R3             S1           S2                 S3
ZINC                     30-Nov-12           102.65       UP                 103          103           103            103            103          102                102
ZINC                     31-Dec-12           103.60      DOWN                104          104           104            104            104          104                103
ZINCMINI                  31-Oct-12          101.40       UP                 101          102           102            102            101          101                101
ZINCMINI                 30-Nov-12           102.70       UP                 103          103           103            103            103          102                102
ZINCMINI                 31-Dec-12           103.65      DOWN                104          104           104            104            104          103                103
ZINCMINI                 31-Jan-13           104.35      DOWN                104          104           105            105            104          104                104




Sanjay Bhatia (AVP – Technical Research),
                                        Email Id sanjay@keynotecapitals.net

Pivot Point: Intra- Day Trading Tool. - The key to the use of this tool is the use of Stop Loss

 Intra Day Trend: It is valid only till the point where Price trades above Pivot Point. For Eg. “UP” would be valid till Price
remains above Pivot Point. It would become “DOWN” in event Price trades below Pivot Point.

Pivot Point (PP): This is a trigger point for Intra Day Buy / Sell based on the price range of the previous day.

R1: Resistance 1: 1st Resistance level over Pivot Point, R2: Resistance 2: Next Resistance level after R1.
R3: Resistance 3: Next Resistance level after R2.

S1: Support 1: 1st Support level after Pivot Point, S2: Support 2: Next Support level after S1.
S3: Support 3: Next Support level after S2.

Note: As per this tool, the trader should take BUY position just above the Pivot Point and keep the Pivot Point level as stop
loss and the first target would be R1 level (Resistance 1). If R1 is crossed then R2 (Resistance 2) becomes the next target
with the stop loss placed at R1 level. If R2 is crossed then R3 (Resistance 3) becomes the next target with the stop loss
placed at R2 level.

Similarly if price goes below the Pivot Point the trader should take a SELL position and keep the Pivot Point level as the
stop loss and the first target would be S1 level (Support 1). If S1 level is breached then S2 level (Support 2) becomes the
next target with the stop loss placed at S1 level. If S2 level is breached then S3 level (Support 3) becomes the next target
with the stop loss placed at S2 level.
Disclaimer: This document is not for public distribution and has been furnished to you solely for your information and must not be reproduced or
redistributed to any other person. Persons into whose possession this document may come are required to observe these restrictions. This material is
for the personal information of the authorized recipient, and we are not soliciting any action based upon it. This report is not to be construed as an offer
to sell or the solicitation of an offer to buy any security in any jurisdiction where such an offer or solicitation would be illegal. It is for the general
information of clients of Keynote Capitals Ltd. It does not constitute a personal recommendation or take into account the particular investment
objectives, financial situations, or needs of individual clients. We have reviewed the report, and in so far as it includes current or historical information,
it is believed to be reliable though its accuracy or completeness cannot be guaranteed. Neither Keynote Capitals Ltd., nor any person connected with
it, accepts any liability arising from the use of this document. The recipients of this material should rely on their own investigations and take their own
professional advice. Price and value of the investments referred to in this material may go up or down. Past performance is not a guide for future
performance. Certain transactions -including those involving futures, options and other derivatives as well as non-investment grade securities - involve
substantial risk and are not suitable for all investors. Reports based on technical analysis centers on studying charts of a stock’s price movement and
trading volume, as opposed to focusing on a company’s fundamentals and as such, may not match with a report on a company’s fundamentals.
Opinions expressed are our current opinions as of the date appearing on this material only. While we endeavor to update on a reasonable basis the
information discussed in this material, there may be regulatory, compliance, or other reasons that prevent us from doing so. Prospective investors and
others are cautioned that any forward-looking statements are not predictions and may be subject to change without notice. Our proprietary trading and
investment businesses may make investment decisions that are inconsistent with the recommendations expressed herein. We and our affiliates,
officers, directors, and employees world wide may: (a) from time to time, have long or short positions in, and buy or sell the securities thereof, of
company (ies) mentioned herein or (b) be engaged in any other transaction involving such securities and earn brokerage or other compensation or act
as a market maker in the financial instruments of the company (ies) discussed herein or act as advisor or lender / borrower to such company (ies) or
have other potential conflict of interest with respect to any recommendation and related information and opinions. The analyst for this report certifies
that all of the views expressed in this report accurately reflect his or her personal views about the subject company or companies and its or their
securities, and no part of his or her compensation was, is or will be, directly or indirectly related to specific recommendations or views expressed in this
report. No part of this material may be duplicated in any form and/or redistributed without Keynote Capitals Ltd’s., prior written consent.




                                                                   Keynote Capitals Ltd.
                                                                         The Ruby,
                                                                          9th Floor,
                                                                    Senapati Bapat Marg,
                                                              Dadar (W), Mumbai, India – 400028
                                                                 Tel: 30266000 / 22694322
                                                                 www.keynotecapitals.com

Keynote technicals commodity intraday levels for 151012

  • 1.
    MCX Commodities Intra-dayTechnical Levels For - 15/10/12 Commodity Contract Close Intra Day Pivot Resistance Support Symbol Expiry 13/10/12 Trend Point R1 R2 R3 S1 S2 S3 ALUMINI 31-Oct-12 104.80 UP 105 105 105 105 105 105 104 ALUMINI 30-Nov-12 106.00 UP 106 106 106 106 106 106 106 ALUMINI 31-Dec-12 107.10 UP 107 107 107 108 107 107 107 ALUMINI 31-Jan-13 108.15 UP 108 108 108 109 108 108 108 ALUMINIUM 31-Oct-12 104.80 UP 105 105 105 105 105 105 104 ALUMINIUM 30-Nov-12 106.00 UP 106 106 106 106 106 106 105 ALUMINIUM 31-Dec-12 107.15 DOWN 107 107 107 108 107 107 107 BRCRUDEOIL 15-Oct-12 6083.00 DOWN 6084 6089 6094 6104 6079 6074 6064 CARDAMOM 15-Oct-12 975.30 UP 971 979 983 995 967 959 947 CARDAMOM 15-Nov-12 911.70 DOWN 924 943 974 1023 893 874 824 CARDAMOM 15-Dec-12 963.50 DOWN 977 996 1029 1081 944 925 873 CARDAMOM 15-Jan-13 1000.50 DOWN 1014 1036 1071 1128 979 957 900 CARDAMOM 15-Feb-13 1018.40 DOWN 1033 1055 1092 1150 997 975 916 COPPER 30-Nov-12 434.90 UP 435 435 436 436 434 434 433 COPPER 28-Feb-13 440.60 UP 440 441 441 442 440 439 439 COPPER 30-Apr-13 443.75 DOWN 444 444 445 445 443 443 442 COPPERM 30-Nov-12 434.85 UP 435 435 436 436 434 434 433 COPPERM 28-Feb-13 440.50 UP 440 441 441 442 440 439 439 COPPERM 30-Apr-13 443.70 DOWN 444 444 444 445 443 443 443 COTTON 31-Oct-12 15960.00 DOWN 15963 15997 16033 16103 15927 15893 15823 COTTON 30-Nov-12 15760.00 UP 15750 15790 15820 15890 15720 15680 15610 COTTON 31-Dec-12 15750.00 UP 15737 15773 15797 15857 15713 15677 15617 COTTON 31-Jan-13 15900.00 UP 15873 15947 15993 16113 15827 15753 15633 COTTON 28-Feb-13 16010.00 DOWN 16010 16010 16010 16010 16010 16010 16010 CPO 31-Oct-12 415.50 DOWN 417 419 423 430 413 410 404 CPO 30-Nov-12 419.90 DOWN 421 424 428 434 417 414 408 CPO 31-Dec-12 425.20 DOWN 426 429 433 440 422 420 413 CPO 31-Jan-13 429.00 DOWN 430 432 435 440 427 425 420 CRUDEOIL 19-Oct-12 4862.00 UP 4861 4867 4872 4883 4856 4850 4839 CRUDEOIL 15-Nov-12 4897.00 UP 4893 4903 4908 4923 4888 4878 4863 CRUDEOIL 18-Dec-12 4936.00 UP 4934 4939 4941 4948 4932 4927 4920 CRUDEOIL 21-Jan-13 4978.00 DOWN 4978 4982 4985 4992 4975 4971 4964 CRUDEOIL 19-Feb-13 5023.00 DOWN 5023 5023 5023 5023 5023 5023 5023 CRUDEOIL 19-Mar-13 5072.00 DOWN 5072 5073 5074 5076 5071 5070 5068 GOLD 05-Dec-12 31284.00 UP 31272 31301 31319 31366 31254 31225 31178 GOLD 05-Feb-13 31632.00 UP 31623 31645 31659 31695 31609 31587 31551 GOLD 05-Apr-13 31957.00 DOWN 31957 31960 31963 31969 31954 31951 31945 GOLDGUINEA 31-Oct-12 25128.00 UP 25123 25143 25159 25195 25107 25087 25051 GOLDGUINEA 30-Nov-12 25180.00 UP 25171 25196 25211 25251 25156 25131 25091 GOLDGUINEA 31-Dec-12 25276.00 UP 25271 25291 25306 25341 25256 25236 25201 GOLDM 05-Nov-12 31135.00 UP 31119 31156 31176 31233 31099 31062 31005 GOLDM 05-Dec-12 31310.00 UP 31299 31328 31346 31393 31281 31252 31205 GOLDM 05-Jan-13 31472.00 UP 31466 31482 31492 31518 31456 31440 31414 GOLDPETAL 31-Oct-12 3158.00 UP 3157 3160 3161 3165 3156 3153 3149 GOLDPETAL 30-Nov-12 3167.00 UP 3166 3169 3170 3174 3165 3162 3158 GOLDPETAL 31-Dec-12 3177.00 UP 3176 3179 3180 3184 3175 3172 3168 GOLDPTLDEL 31-Oct-12 3248.00 UP 3247 3254 3260 3273 3241 3234 3221 GOLDPTLDEL 30-Nov-12 3208.00 UP 3205 3213 3217 3229 3201 3193 3181 GOLDPTLDEL 31-Dec-12 3212.00 DOWN 3212 3222 3232 3252 3202 3192 3172 Keynote Capitals Ltd. The Ruby, 9th Floor, Senapati Bapat Marg, Dadar (W), Mumbai, India – 400028 Tel: 30266000 / 22694322 www.keynotecapitals.com
  • 2.
    MCX Commodities Intra-dayTechnical Levels For - 15/10/12 Commodity Contract Close Intra Day Pivot Resistance Support Symbol Expiry 13/10/12 Trend Point R1 R2 R3 S1 S2 S3 KAPAS 30-Mar-13 909.50 UP 908 916 923 937 901 893 879 KAPAS 30-Apr-13 930.70 DOWN 931 936 942 954 925 919 908 KAPASKHALI 31-Dec-12 1399.50 UP 1398 1408 1416 1434 1390 1380 1362 KAPASKHALI 31-Jan-13 1413.50 UP 1411 1421 1429 1447 1403 1393 1375 KAPASKHALI 28-Feb-13 1435.00 UP 1433 1442 1448 1464 1426 1417 1402 KAPASKHALI 30-Mar-13 1442.50 DOWN 1443 1445 1448 1453 1440 1438 1433 KAPASKHALI 30-Apr-13 1455.00 DOWN 1455 1455 1455 1455 1455 1455 1455 LEAD 31-Oct-12 113.45 UP 113 114 114 114 113 113 113 LEAD 30-Nov-12 113.55 DOWN 114 114 114 114 113 113 113 LEAD 31-Dec-12 113.70 DOWN 114 114 114 114 114 114 114 LEAD 31-Jan-13 113.90 DOWN 114 114 114 114 114 114 114 LEADMINI 31-Oct-12 113.45 UP 113 114 114 114 113 113 113 LEADMINI 30-Nov-12 113.55 DOWN 114 114 114 114 113 113 113 LEADMINI 31-Dec-12 113.75 UP 114 114 114 114 114 114 113 LEADMINI 31-Jan-13 113.85 DOWN 114 114 114 114 114 114 113 MENTHAOIL 31-Oct-12 1173.10 DOWN 1174 1183 1193 1212 1164 1155 1136 MENTHAOIL 30-Nov-12 1187.70 DOWN 1190 1199 1210 1230 1179 1170 1150 MENTHAOIL 31-Dec-12 1198.50 DOWN 1201 1208 1218 1235 1191 1183 1166 MENTHAOIL 31-Jan-13 1200.60 DOWN 1205 1214 1227 1249 1192 1183 1161 NATURALGAS 26-Oct-12 190.90 UP 191 191 191 192 191 190 190 NATURALGAS 27-Nov-12 205.20 DOWN 205 206 206 207 205 204 203 NATURALGAS 26-Dec-12 212.20 DOWN 212 213 213 213 212 212 211 NICKEL 31-Oct-12 909.40 DOWN 910 911 914 917 908 906 902 NICKEL 30-Nov-12 917.00 DOWN 917 919 921 924 915 914 910 NICKEL 31-Dec-12 923.70 DOWN 924 926 928 931 922 921 918 NICKEL 31-Jan-13 931.70 UP 931 932 933 935 931 930 928 NICKELM 31-Oct-12 909.50 DOWN 910 912 914 917 908 906 902 NICKELM 30-Nov-12 917.20 UP 917 919 921 924 915 914 910 NICKELM 31-Dec-12 924.70 DOWN 925 926 928 932 923 921 918 NICKELM 31-Jan-13 929.60 UP 929 933 936 944 925 921 914 POTATO 15-Oct-12 807.80 DOWN 808 808 808 808 808 808 808 POTATO 15-Mar-13 734.60 UP 732 739 743 753 728 722 712 POTATO 15-Apr-13 698.50 UP 695 702 706 717 691 684 674 POTATOTRWR 15-Oct-12 873.00 UP 873 875 878 883 870 868 863 SILVER 05-Dec-12 61198.00 UP 61185 61260 61322 61459 61123 61048 60911 SILVER 05-Mar-13 62906.00 UP 62896 62960 63013 63130 62843 62779 62662 SILVER 04-May-13 64406.00 DOWN 64419 64437 64469 64519 64387 64369 64319 SILVER1000 31-Oct-12 60667.00 DOWN 60712 60873 61080 61448 60505 60344 59976 SILVER1000 30-Nov-12 61232.00 DOWN 61296 61443 61654 62012 61085 60938 60580 SILVERM 30-Nov-12 61219.00 UP 61191 61306 61394 61597 61103 60988 60785 SILVERM 28-Feb-13 62935.00 UP 62932 63004 63072 63212 62864 62792 62652 SILVERM 30-Apr-13 64483.00 UP 64458 64532 64580 64702 64410 64336 64214 SILVERMIC 30-Nov-12 61222.00 UP 61214 61408 61593 61972 61029 60835 60456 SILVERMIC 28-Feb-13 62940.00 UP 62918 63032 63123 63328 62827 62713 62508 SILVERMIC 30-Apr-13 64470.00 UP 64464 64539 64609 64754 64394 64319 64174 ZINC 31-Oct-12 101.40 UP 101 102 102 102 101 101 101 Keynote Capitals Ltd. The Ruby, 9th Floor, Senapati Bapat Marg, Dadar (W), Mumbai, India – 400028 Tel: 30266000 / 22694322 www.keynotecapitals.com
  • 3.
    MCX Commodities Intra-dayTechnical Levels For - 15/10/12 Commodity Contract Close Intra Day Pivot Resistance Support Symbol Expiry 13/10/12 Trend Point R1 R2 R3 S1 S2 S3 ZINC 30-Nov-12 102.65 UP 103 103 103 103 103 102 102 ZINC 31-Dec-12 103.60 DOWN 104 104 104 104 104 104 103 ZINCMINI 31-Oct-12 101.40 UP 101 102 102 102 101 101 101 ZINCMINI 30-Nov-12 102.70 UP 103 103 103 103 103 102 102 ZINCMINI 31-Dec-12 103.65 DOWN 104 104 104 104 104 103 103 ZINCMINI 31-Jan-13 104.35 DOWN 104 104 105 105 104 104 104 Sanjay Bhatia (AVP – Technical Research), Email Id sanjay@keynotecapitals.net Pivot Point: Intra- Day Trading Tool. - The key to the use of this tool is the use of Stop Loss Intra Day Trend: It is valid only till the point where Price trades above Pivot Point. For Eg. “UP” would be valid till Price remains above Pivot Point. It would become “DOWN” in event Price trades below Pivot Point. Pivot Point (PP): This is a trigger point for Intra Day Buy / Sell based on the price range of the previous day. R1: Resistance 1: 1st Resistance level over Pivot Point, R2: Resistance 2: Next Resistance level after R1. R3: Resistance 3: Next Resistance level after R2. S1: Support 1: 1st Support level after Pivot Point, S2: Support 2: Next Support level after S1. S3: Support 3: Next Support level after S2. Note: As per this tool, the trader should take BUY position just above the Pivot Point and keep the Pivot Point level as stop loss and the first target would be R1 level (Resistance 1). If R1 is crossed then R2 (Resistance 2) becomes the next target with the stop loss placed at R1 level. If R2 is crossed then R3 (Resistance 3) becomes the next target with the stop loss placed at R2 level. Similarly if price goes below the Pivot Point the trader should take a SELL position and keep the Pivot Point level as the stop loss and the first target would be S1 level (Support 1). If S1 level is breached then S2 level (Support 2) becomes the next target with the stop loss placed at S1 level. If S2 level is breached then S3 level (Support 3) becomes the next target with the stop loss placed at S2 level. Disclaimer: This document is not for public distribution and has been furnished to you solely for your information and must not be reproduced or redistributed to any other person. Persons into whose possession this document may come are required to observe these restrictions. This material is for the personal information of the authorized recipient, and we are not soliciting any action based upon it. This report is not to be construed as an offer to sell or the solicitation of an offer to buy any security in any jurisdiction where such an offer or solicitation would be illegal. It is for the general information of clients of Keynote Capitals Ltd. It does not constitute a personal recommendation or take into account the particular investment objectives, financial situations, or needs of individual clients. We have reviewed the report, and in so far as it includes current or historical information, it is believed to be reliable though its accuracy or completeness cannot be guaranteed. Neither Keynote Capitals Ltd., nor any person connected with it, accepts any liability arising from the use of this document. The recipients of this material should rely on their own investigations and take their own professional advice. Price and value of the investments referred to in this material may go up or down. Past performance is not a guide for future performance. Certain transactions -including those involving futures, options and other derivatives as well as non-investment grade securities - involve substantial risk and are not suitable for all investors. Reports based on technical analysis centers on studying charts of a stock’s price movement and trading volume, as opposed to focusing on a company’s fundamentals and as such, may not match with a report on a company’s fundamentals. Opinions expressed are our current opinions as of the date appearing on this material only. While we endeavor to update on a reasonable basis the information discussed in this material, there may be regulatory, compliance, or other reasons that prevent us from doing so. Prospective investors and others are cautioned that any forward-looking statements are not predictions and may be subject to change without notice. Our proprietary trading and investment businesses may make investment decisions that are inconsistent with the recommendations expressed herein. We and our affiliates, officers, directors, and employees world wide may: (a) from time to time, have long or short positions in, and buy or sell the securities thereof, of company (ies) mentioned herein or (b) be engaged in any other transaction involving such securities and earn brokerage or other compensation or act as a market maker in the financial instruments of the company (ies) discussed herein or act as advisor or lender / borrower to such company (ies) or have other potential conflict of interest with respect to any recommendation and related information and opinions. The analyst for this report certifies that all of the views expressed in this report accurately reflect his or her personal views about the subject company or companies and its or their securities, and no part of his or her compensation was, is or will be, directly or indirectly related to specific recommendations or views expressed in this report. No part of this material may be duplicated in any form and/or redistributed without Keynote Capitals Ltd’s., prior written consent. Keynote Capitals Ltd. The Ruby, 9th Floor, Senapati Bapat Marg, Dadar (W), Mumbai, India – 400028 Tel: 30266000 / 22694322 www.keynotecapitals.com