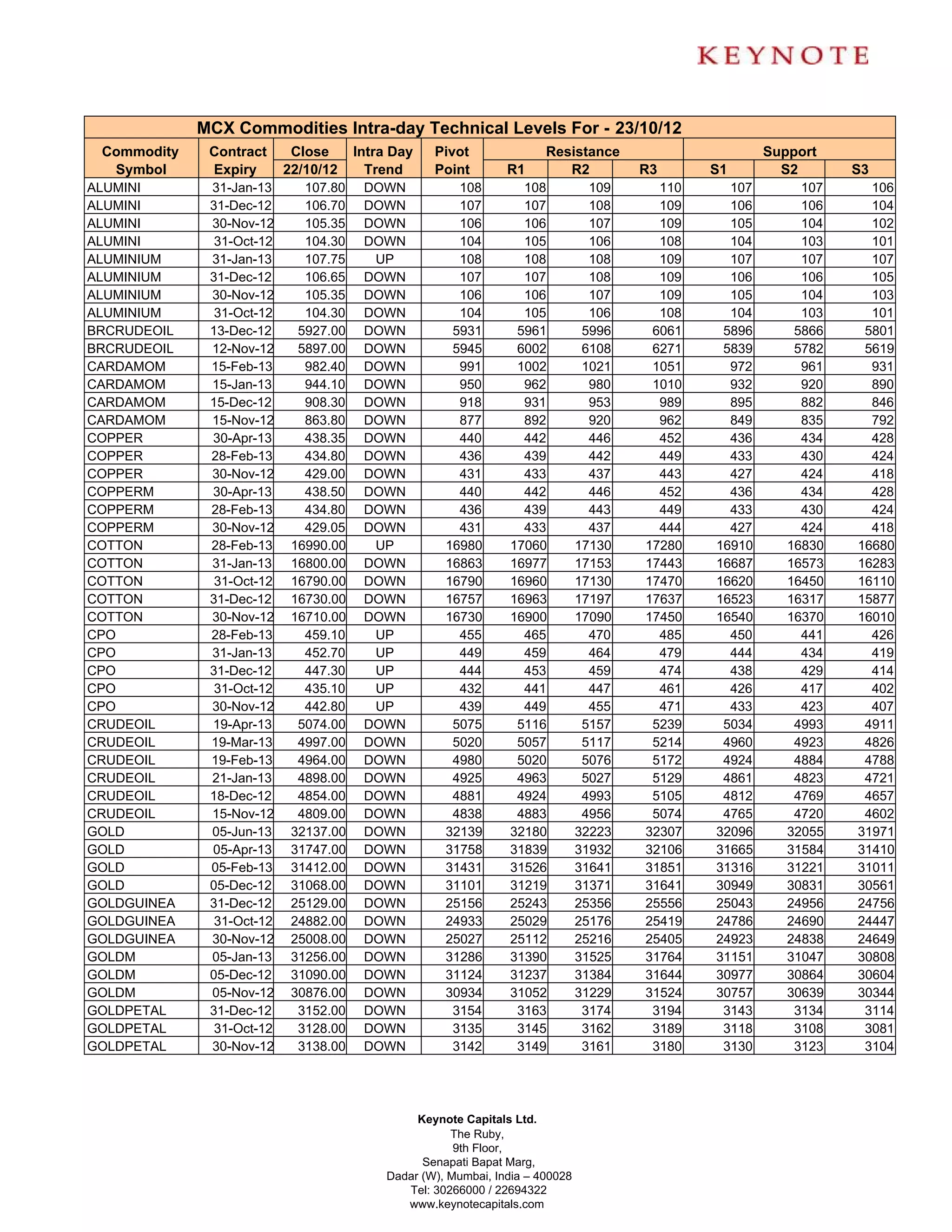
MCX Commodities Intra-day Technical Levels For - 23/10/12
 Commodity    Contract      Close      Intra Day    Pivot               Resistance                      Support
  Symbol      Expiry       22/10/12      Trend      Point        R1        R2           R3      S1        S2       S3
ALUMINI       31-Jan-13       107.80    DOWN            108         108           109     110     107        107     106
ALUMINI       31-Dec-12       106.70    DOWN            107         107           108     109     106        106     104
ALUMINI       30-Nov-12       105.35    DOWN            106         106           107     109     105        104     102
ALUMINI        31-Oct-12      104.30    DOWN            104         105           106     108     104        103     101
ALUMINIUM     31-Jan-13       107.75     UP             108         108           108     109     107        107     107
ALUMINIUM     31-Dec-12       106.65    DOWN            107         107           108     109     106        106     105
ALUMINIUM     30-Nov-12       105.35    DOWN            106         106           107     109     105        104     103
ALUMINIUM      31-Oct-12      104.30    DOWN            104         105           106     108     104        103     101
BRCRUDEOIL    13-Dec-12      5927.00    DOWN           5931        5961          5996    6061    5896       5866    5801
BRCRUDEOIL    12-Nov-12      5897.00    DOWN           5945        6002          6108    6271    5839       5782    5619
CARDAMOM      15-Feb-13       982.40    DOWN            991        1002          1021    1051     972        961     931
CARDAMOM      15-Jan-13       944.10    DOWN            950         962           980    1010     932        920     890
CARDAMOM      15-Dec-12       908.30    DOWN            918         931           953     989     895        882     846
CARDAMOM      15-Nov-12       863.80    DOWN            877         892           920     962     849        835     792
COPPER        30-Apr-13       438.35    DOWN            440         442           446     452     436        434     428
COPPER        28-Feb-13       434.80    DOWN            436         439           442     449     433        430     424
COPPER        30-Nov-12       429.00    DOWN            431         433           437     443     427        424     418
COPPERM       30-Apr-13       438.50    DOWN            440         442           446     452     436        434     428
COPPERM       28-Feb-13       434.80    DOWN            436         439           443     449     433        430     424
COPPERM       30-Nov-12       429.05    DOWN            431         433           437     444     427        424     418
COTTON        28-Feb-13     16990.00     UP           16980       17060         17130   17280   16910      16830   16680
COTTON        31-Jan-13     16800.00    DOWN          16863       16977         17153   17443   16687      16573   16283
COTTON         31-Oct-12    16790.00    DOWN          16790       16960         17130   17470   16620      16450   16110
COTTON        31-Dec-12     16730.00    DOWN          16757       16963         17197   17637   16523      16317   15877
COTTON        30-Nov-12     16710.00    DOWN          16730       16900         17090   17450   16540      16370   16010
CPO           28-Feb-13       459.10     UP             455         465           470     485     450        441     426
CPO           31-Jan-13       452.70     UP             449         459           464     479     444        434     419
CPO           31-Dec-12       447.30     UP             444         453           459     474     438        429     414
CPO            31-Oct-12      435.10     UP             432         441           447     461     426        417     402
CPO           30-Nov-12       442.80     UP             439         449           455     471     433        423     407
CRUDEOIL      19-Apr-13      5074.00    DOWN           5075        5116          5157    5239    5034       4993    4911
CRUDEOIL      19-Mar-13      4997.00    DOWN           5020        5057          5117    5214    4960       4923    4826
CRUDEOIL      19-Feb-13      4964.00    DOWN           4980        5020          5076    5172    4924       4884    4788
CRUDEOIL      21-Jan-13      4898.00    DOWN           4925        4963          5027    5129    4861       4823    4721
CRUDEOIL      18-Dec-12      4854.00    DOWN           4881        4924          4993    5105    4812       4769    4657
CRUDEOIL      15-Nov-12      4809.00    DOWN           4838        4883          4956    5074    4765       4720    4602
GOLD          05-Jun-13     32137.00    DOWN          32139       32180         32223   32307   32096      32055   31971
GOLD          05-Apr-13     31747.00    DOWN          31758       31839         31932   32106   31665      31584   31410
GOLD          05-Feb-13     31412.00    DOWN          31431       31526         31641   31851   31316      31221   31011
GOLD          05-Dec-12     31068.00    DOWN          31101       31219         31371   31641   30949      30831   30561
GOLDGUINEA    31-Dec-12     25129.00    DOWN          25156       25243         25356   25556   25043      24956   24756
GOLDGUINEA     31-Oct-12    24882.00    DOWN          24933       25029         25176   25419   24786      24690   24447
GOLDGUINEA    30-Nov-12     25008.00    DOWN          25027       25112         25216   25405   24923      24838   24649
GOLDM         05-Jan-13     31256.00    DOWN          31286       31390         31525   31764   31151      31047   30808
GOLDM         05-Dec-12     31090.00    DOWN          31124       31237         31384   31644   30977      30864   30604
GOLDM         05-Nov-12     30876.00    DOWN          30934       31052         31229   31524   30757      30639   30344
GOLDPETAL     31-Dec-12      3152.00    DOWN           3154        3163          3174    3194    3143       3134    3114
GOLDPETAL      31-Oct-12     3128.00    DOWN           3135        3145          3162    3189    3118       3108    3081
GOLDPETAL     30-Nov-12      3138.00    DOWN           3142        3149          3161    3180    3130       3123    3104




                                                 Keynote Capitals Ltd.
                                                       The Ruby,
                                                        9th Floor,
                                                  Senapati Bapat Marg,
                                            Dadar (W), Mumbai, India – 400028
                                               Tel: 30266000 / 22694322
                                               www.keynotecapitals.com
MCX Commodities Intra-day Technical Levels For - 23/10/12
 Commodity    Contract      Close      Intra Day    Pivot               Resistance                      Support
  Symbol      Expiry       22/10/12      Trend      Point        R1        R2           R3      S1        S2       S3
GOLDPTLDEL    31-Dec-12      3184.00    DOWN           3189       3217           3249    3309    3157       3129    3069
GOLDPTLDEL     31-Oct-12     3160.00    DOWN           3183       3222           3283    3383    3122       3083    2983
GOLDPTLDEL    30-Nov-12      3161.00    DOWN           3163       3180           3199    3235    3144       3127    3091
KAPAS         30-Mar-13       985.00     UP             981        997           1009    1038     968        952     923
KAPAS          30-Apr-13     1010.00     UP            1006       1022           1035    1064     993        977     948
KAPASKHALI    28-Feb-13      1472.50    DOWN           1475       1485           1497    1520    1462       1452    1430
KAPASKHALI    31-Jan-13      1451.00    DOWN           1454       1464           1477    1500    1441       1431    1408
KAPASKHALI    31-Dec-12      1442.00    DOWN           1444       1455           1467    1491    1431       1420    1397
LEAD          31-Jan-13       111.70    DOWN            112        113            114     116     111        110     108
LEAD          31-Dec-12       111.65    DOWN            112        113            115     117     111        110     107
LEAD          30-Nov-12       111.40    DOWN            112        113            115     118     110        109     107
LEAD           31-Oct-12      110.90    DOWN            112        113            115     118     110        109     106
LEADMINI      31-Jan-13       112.00    DOWN            112        113            115     117     111        110     108
LEADMINI      31-Dec-12       111.60    DOWN            112        113            115     117     111        110     107
LEADMINI      30-Nov-12       111.30    DOWN            112        113            115     119     110        109     106
LEADMINI       31-Oct-12      110.90    DOWN            112        113            115     118     110        109     106
MENTHAOIL     31-Jan-13      1155.90    DOWN           1167       1181           1206    1245    1142       1127    1088
MENTHAOIL     31-Dec-12      1151.60    DOWN           1164       1178           1205    1247    1137       1123    1082
MENTHAOIL     30-Nov-12      1141.70    DOWN           1154       1168           1194    1235    1128       1113    1073
MENTHAOIL      31-Oct-12     1129.30    DOWN           1139       1152           1176    1212    1116       1103    1067
NATURALGAS    26-Dec-12       211.30    DOWN            214        218            224     234     208        205     195
NATURALGAS    27-Nov-12       203.50    DOWN            207        210            217     228     200        196     186
NATURALGAS     26-Oct-12      186.10    DOWN            189        193            199     209     183        179     170
NICKEL        31-Jan-13       915.40    DOWN            921        928            940     959     909        902     883
NICKEL        31-Dec-12       906.80    DOWN            913        921            936     958     899        891     869
NICKEL        30-Nov-12       897.50    DOWN            905        914            931     957     888        879     853
NICKEL         31-Oct-12      888.20    DOWN            896        906            923     951     879        869     842
NICKELM       31-Jan-13       915.60    DOWN            922        929            943     964     908        901     880
NICKELM       31-Dec-12       907.90    DOWN            914        922            935     957     900        892     871
NICKELM       30-Nov-12       897.70    DOWN            906        915            932     958     889        879     853
NICKELM        31-Oct-12      888.20    DOWN            896        906            923     951     879        869     842
POTATO        15-May-13       734.10    DOWN            735        741            747     759     729        724     712
POTATO         15-Apr-13      705.80     UP             705        708            710     714     703        701     696
POTATO        15-Mar-13       735.30     UP             734        737            740     745     732        729     724
SILVER        04-May-13     62934.00    DOWN          62961      63221          63509   64057   62673      62413   61865
SILVER        05-Mar-13     61418.00    DOWN          61438      61743          62068   62698   61113      60808   60178
SILVER        05-Dec-12     59614.00    DOWN          59633      59941          60268   60903   59306      58998   58363
SILVER1000    31-Dec-12     60173.00     UP           60128      60344          60515   60902   59957      59741   59354
SILVER1000     31-Oct-12    59302.00     UP           59288      59614          59927   60566   58975      58649   58010
SILVER1000    30-Nov-12     59728.00     UP           59684      59986          60244   60804   59426      59124   58564
SILVERM        30-Apr-13    63021.00    DOWN          63034      63313          63604   64174   62743      62464   61894
SILVERM       28-Feb-13     61439.00    DOWN          61467      61752          62064   62661   61155      60870   60273
SILVERM       30-Nov-12     59637.00    DOWN          59660      59965          60294   60928   59331      59026   58392
SILVERMIC      30-Apr-13    62986.00    DOWN          63069      63415          63844   64619   62640      62294   61519
SILVERMIC     28-Feb-13     61441.00    DOWN          61480      61761          62080   62680   61161      60880   60280
SILVERMIC     30-Nov-12     59637.00    DOWN          59661      59961          60286   60911   59336      59036   58411




                                                 Keynote Capitals Ltd.
                                                       The Ruby,
                                                        9th Floor,
                                                  Senapati Bapat Marg,
                                            Dadar (W), Mumbai, India – 400028
                                               Tel: 30266000 / 22694322
                                               www.keynotecapitals.com
MCX Commodities Intra-day Technical Levels For - 23/10/12
   Commodity             Contract        Close         Intra Day        Pivot                  Resistance                                   Support
    Symbol               Expiry         22/10/12         Trend          Point          R1         R2              R3             S1           S2                 S3
ZINC                     31-Jan-13           102.80      DOWN                103          104           104            106            102          102                100
ZINC                     31-Dec-12           101.10      DOWN                102          103           104            106            100          100                 97
ZINC                     30-Nov-12            99.70      DOWN                100          101           103            105             99           98                 96
ZINC                      31-Oct-12           98.05      DOWN                 99          100           101            104             97           96                 93
ZINCMINI                 31-Jan-13           102.35      DOWN                103          104           105            107            102          101                 99
ZINCMINI                 31-Dec-12           101.20      DOWN                102          103           104            107            100          100                 97
ZINCMINI                 30-Nov-12            99.75      DOWN                101          101           103            106             99           98                 95
ZINCMINI                  31-Oct-12           98.05      DOWN                 99          100           102            105             97           96                 93




Sanjay Bhatia (AVP – Technical Research),
                                        Email Id sanjay@keynotecapitals.net

Pivot Point: Intra- Day Trading Tool. - The key to the use of this tool is the use of Stop Loss

 Intra Day Trend: It is valid only till the point where Price trades above Pivot Point. For Eg. “UP” would be valid till Price
remains above Pivot Point. It would become “DOWN” in event Price trades below Pivot Point.

Pivot Point (PP): This is a trigger point for Intra Day Buy / Sell based on the price range of the previous day.

R1: Resistance 1: 1st Resistance level over Pivot Point, R2: Resistance 2: Next Resistance level after R1.
R3: Resistance 3: Next Resistance level after R2.

S1: Support 1: 1st Support level after Pivot Point, S2: Support 2: Next Support level after S1.
S3: Support 3: Next Support level after S2.

Note: As per this tool, the trader should take BUY position just above the Pivot Point and keep the Pivot Point level as stop
loss and the first target would be R1 level (Resistance 1). If R1 is crossed then R2 (Resistance 2) becomes the next target
with the stop loss placed at R1 level. If R2 is crossed then R3 (Resistance 3) becomes the next target with the stop loss
placed at R2 level.

Similarly if price goes below the Pivot Point the trader should take a SELL position and keep the Pivot Point level as the
stop loss and the first target would be S1 level (Support 1). If S1 level is breached then S2 level (Support 2) becomes the
next target with the stop loss placed at S1 level. If S2 level is breached then S3 level (Support 3) becomes the next target
with the stop loss placed at S2 level.


Disclaimer: This document is not for public distribution and has been furnished to you solely for your information and must not be reproduced or
redistributed to any other person. Persons into whose possession this document may come are required to observe these restrictions. This material is
for the personal information of the authorized recipient, and we are not soliciting any action based upon it. This report is not to be construed as an offer
to sell or the solicitation of an offer to buy any security in any jurisdiction where such an offer or solicitation would be illegal. It is for the general
information of clients of Keynote Capitals Ltd. It does not constitute a personal recommendation or take into account the particular investment
objectives, financial situations, or needs of individual clients. We have reviewed the report, and in so far as it includes current or historical information,
it is believed to be reliable though its accuracy or completeness cannot be guaranteed. Neither Keynote Capitals Ltd., nor any person connected with
it, accepts any liability arising from the use of this document. The recipients of this material should rely on their own investigations and take their own
professional advice. Price and value of the investments referred to in this material may go up or down. Past performance is not a guide for future
performance. Certain transactions -including those involving futures, options and other derivatives as well as non-investment grade securities - involve
substantial risk and are not suitable for all investors. Reports based on technical analysis centers on studying charts of a stock’s price movement and
trading volume, as opposed to focusing on a company’s fundamentals and as such, may not match with a report on a company’s fundamentals.
Opinions expressed are our current opinions as of the date appearing on this material only. While we endeavor to update on a reasonable basis the
information discussed in this material, there may be regulatory, compliance, or other reasons that prevent us from doing so. Prospective investors and
others are cautioned that any forward-looking statements are not predictions and may be subject to change without notice. Our proprietary trading and
investment businesses may make investment decisions that are inconsistent with the recommendations expressed herein. We and our affiliates,
officers, directors, and employees world wide may: (a) from time to time, have long or short positions in, and buy or sell the securities thereof, of
company (ies) mentioned herein or (b) be engaged in any other transaction involving such securities and earn brokerage or other compensation or act
as a market maker in the financial instruments of the company (ies) discussed herein or act as advisor or lender / borrower to such company (ies) or
have other potential conflict of interest with respect to any recommendation and related information and opinions. The analyst for this report certifies
that all of the views expressed in this report accurately reflect his or her personal views about the subject company or companies and its or their
securities, and no part of his or her compensation was, is or will be, directly or indirectly related to specific recommendations or views expressed in this
report. No part of this material may be duplicated in any form and/or redistributed without Keynote Capitals Ltd’s., prior written consent.




                                                                   Keynote Capitals Ltd.
                                                                         The Ruby,
                                                                          9th Floor,
                                                                    Senapati Bapat Marg,
                                                              Dadar (W), Mumbai, India – 400028
                                                                 Tel: 30266000 / 22694322
                                                                 www.keynotecapitals.com

Keynote technicals commodity intraday levels for 231012

  • 1.
    MCX Commodities Intra-dayTechnical Levels For - 23/10/12 Commodity Contract Close Intra Day Pivot Resistance Support Symbol Expiry 22/10/12 Trend Point R1 R2 R3 S1 S2 S3 ALUMINI 31-Jan-13 107.80 DOWN 108 108 109 110 107 107 106 ALUMINI 31-Dec-12 106.70 DOWN 107 107 108 109 106 106 104 ALUMINI 30-Nov-12 105.35 DOWN 106 106 107 109 105 104 102 ALUMINI 31-Oct-12 104.30 DOWN 104 105 106 108 104 103 101 ALUMINIUM 31-Jan-13 107.75 UP 108 108 108 109 107 107 107 ALUMINIUM 31-Dec-12 106.65 DOWN 107 107 108 109 106 106 105 ALUMINIUM 30-Nov-12 105.35 DOWN 106 106 107 109 105 104 103 ALUMINIUM 31-Oct-12 104.30 DOWN 104 105 106 108 104 103 101 BRCRUDEOIL 13-Dec-12 5927.00 DOWN 5931 5961 5996 6061 5896 5866 5801 BRCRUDEOIL 12-Nov-12 5897.00 DOWN 5945 6002 6108 6271 5839 5782 5619 CARDAMOM 15-Feb-13 982.40 DOWN 991 1002 1021 1051 972 961 931 CARDAMOM 15-Jan-13 944.10 DOWN 950 962 980 1010 932 920 890 CARDAMOM 15-Dec-12 908.30 DOWN 918 931 953 989 895 882 846 CARDAMOM 15-Nov-12 863.80 DOWN 877 892 920 962 849 835 792 COPPER 30-Apr-13 438.35 DOWN 440 442 446 452 436 434 428 COPPER 28-Feb-13 434.80 DOWN 436 439 442 449 433 430 424 COPPER 30-Nov-12 429.00 DOWN 431 433 437 443 427 424 418 COPPERM 30-Apr-13 438.50 DOWN 440 442 446 452 436 434 428 COPPERM 28-Feb-13 434.80 DOWN 436 439 443 449 433 430 424 COPPERM 30-Nov-12 429.05 DOWN 431 433 437 444 427 424 418 COTTON 28-Feb-13 16990.00 UP 16980 17060 17130 17280 16910 16830 16680 COTTON 31-Jan-13 16800.00 DOWN 16863 16977 17153 17443 16687 16573 16283 COTTON 31-Oct-12 16790.00 DOWN 16790 16960 17130 17470 16620 16450 16110 COTTON 31-Dec-12 16730.00 DOWN 16757 16963 17197 17637 16523 16317 15877 COTTON 30-Nov-12 16710.00 DOWN 16730 16900 17090 17450 16540 16370 16010 CPO 28-Feb-13 459.10 UP 455 465 470 485 450 441 426 CPO 31-Jan-13 452.70 UP 449 459 464 479 444 434 419 CPO 31-Dec-12 447.30 UP 444 453 459 474 438 429 414 CPO 31-Oct-12 435.10 UP 432 441 447 461 426 417 402 CPO 30-Nov-12 442.80 UP 439 449 455 471 433 423 407 CRUDEOIL 19-Apr-13 5074.00 DOWN 5075 5116 5157 5239 5034 4993 4911 CRUDEOIL 19-Mar-13 4997.00 DOWN 5020 5057 5117 5214 4960 4923 4826 CRUDEOIL 19-Feb-13 4964.00 DOWN 4980 5020 5076 5172 4924 4884 4788 CRUDEOIL 21-Jan-13 4898.00 DOWN 4925 4963 5027 5129 4861 4823 4721 CRUDEOIL 18-Dec-12 4854.00 DOWN 4881 4924 4993 5105 4812 4769 4657 CRUDEOIL 15-Nov-12 4809.00 DOWN 4838 4883 4956 5074 4765 4720 4602 GOLD 05-Jun-13 32137.00 DOWN 32139 32180 32223 32307 32096 32055 31971 GOLD 05-Apr-13 31747.00 DOWN 31758 31839 31932 32106 31665 31584 31410 GOLD 05-Feb-13 31412.00 DOWN 31431 31526 31641 31851 31316 31221 31011 GOLD 05-Dec-12 31068.00 DOWN 31101 31219 31371 31641 30949 30831 30561 GOLDGUINEA 31-Dec-12 25129.00 DOWN 25156 25243 25356 25556 25043 24956 24756 GOLDGUINEA 31-Oct-12 24882.00 DOWN 24933 25029 25176 25419 24786 24690 24447 GOLDGUINEA 30-Nov-12 25008.00 DOWN 25027 25112 25216 25405 24923 24838 24649 GOLDM 05-Jan-13 31256.00 DOWN 31286 31390 31525 31764 31151 31047 30808 GOLDM 05-Dec-12 31090.00 DOWN 31124 31237 31384 31644 30977 30864 30604 GOLDM 05-Nov-12 30876.00 DOWN 30934 31052 31229 31524 30757 30639 30344 GOLDPETAL 31-Dec-12 3152.00 DOWN 3154 3163 3174 3194 3143 3134 3114 GOLDPETAL 31-Oct-12 3128.00 DOWN 3135 3145 3162 3189 3118 3108 3081 GOLDPETAL 30-Nov-12 3138.00 DOWN 3142 3149 3161 3180 3130 3123 3104 Keynote Capitals Ltd. The Ruby, 9th Floor, Senapati Bapat Marg, Dadar (W), Mumbai, India – 400028 Tel: 30266000 / 22694322 www.keynotecapitals.com
  • 2.
    MCX Commodities Intra-dayTechnical Levels For - 23/10/12 Commodity Contract Close Intra Day Pivot Resistance Support Symbol Expiry 22/10/12 Trend Point R1 R2 R3 S1 S2 S3 GOLDPTLDEL 31-Dec-12 3184.00 DOWN 3189 3217 3249 3309 3157 3129 3069 GOLDPTLDEL 31-Oct-12 3160.00 DOWN 3183 3222 3283 3383 3122 3083 2983 GOLDPTLDEL 30-Nov-12 3161.00 DOWN 3163 3180 3199 3235 3144 3127 3091 KAPAS 30-Mar-13 985.00 UP 981 997 1009 1038 968 952 923 KAPAS 30-Apr-13 1010.00 UP 1006 1022 1035 1064 993 977 948 KAPASKHALI 28-Feb-13 1472.50 DOWN 1475 1485 1497 1520 1462 1452 1430 KAPASKHALI 31-Jan-13 1451.00 DOWN 1454 1464 1477 1500 1441 1431 1408 KAPASKHALI 31-Dec-12 1442.00 DOWN 1444 1455 1467 1491 1431 1420 1397 LEAD 31-Jan-13 111.70 DOWN 112 113 114 116 111 110 108 LEAD 31-Dec-12 111.65 DOWN 112 113 115 117 111 110 107 LEAD 30-Nov-12 111.40 DOWN 112 113 115 118 110 109 107 LEAD 31-Oct-12 110.90 DOWN 112 113 115 118 110 109 106 LEADMINI 31-Jan-13 112.00 DOWN 112 113 115 117 111 110 108 LEADMINI 31-Dec-12 111.60 DOWN 112 113 115 117 111 110 107 LEADMINI 30-Nov-12 111.30 DOWN 112 113 115 119 110 109 106 LEADMINI 31-Oct-12 110.90 DOWN 112 113 115 118 110 109 106 MENTHAOIL 31-Jan-13 1155.90 DOWN 1167 1181 1206 1245 1142 1127 1088 MENTHAOIL 31-Dec-12 1151.60 DOWN 1164 1178 1205 1247 1137 1123 1082 MENTHAOIL 30-Nov-12 1141.70 DOWN 1154 1168 1194 1235 1128 1113 1073 MENTHAOIL 31-Oct-12 1129.30 DOWN 1139 1152 1176 1212 1116 1103 1067 NATURALGAS 26-Dec-12 211.30 DOWN 214 218 224 234 208 205 195 NATURALGAS 27-Nov-12 203.50 DOWN 207 210 217 228 200 196 186 NATURALGAS 26-Oct-12 186.10 DOWN 189 193 199 209 183 179 170 NICKEL 31-Jan-13 915.40 DOWN 921 928 940 959 909 902 883 NICKEL 31-Dec-12 906.80 DOWN 913 921 936 958 899 891 869 NICKEL 30-Nov-12 897.50 DOWN 905 914 931 957 888 879 853 NICKEL 31-Oct-12 888.20 DOWN 896 906 923 951 879 869 842 NICKELM 31-Jan-13 915.60 DOWN 922 929 943 964 908 901 880 NICKELM 31-Dec-12 907.90 DOWN 914 922 935 957 900 892 871 NICKELM 30-Nov-12 897.70 DOWN 906 915 932 958 889 879 853 NICKELM 31-Oct-12 888.20 DOWN 896 906 923 951 879 869 842 POTATO 15-May-13 734.10 DOWN 735 741 747 759 729 724 712 POTATO 15-Apr-13 705.80 UP 705 708 710 714 703 701 696 POTATO 15-Mar-13 735.30 UP 734 737 740 745 732 729 724 SILVER 04-May-13 62934.00 DOWN 62961 63221 63509 64057 62673 62413 61865 SILVER 05-Mar-13 61418.00 DOWN 61438 61743 62068 62698 61113 60808 60178 SILVER 05-Dec-12 59614.00 DOWN 59633 59941 60268 60903 59306 58998 58363 SILVER1000 31-Dec-12 60173.00 UP 60128 60344 60515 60902 59957 59741 59354 SILVER1000 31-Oct-12 59302.00 UP 59288 59614 59927 60566 58975 58649 58010 SILVER1000 30-Nov-12 59728.00 UP 59684 59986 60244 60804 59426 59124 58564 SILVERM 30-Apr-13 63021.00 DOWN 63034 63313 63604 64174 62743 62464 61894 SILVERM 28-Feb-13 61439.00 DOWN 61467 61752 62064 62661 61155 60870 60273 SILVERM 30-Nov-12 59637.00 DOWN 59660 59965 60294 60928 59331 59026 58392 SILVERMIC 30-Apr-13 62986.00 DOWN 63069 63415 63844 64619 62640 62294 61519 SILVERMIC 28-Feb-13 61441.00 DOWN 61480 61761 62080 62680 61161 60880 60280 SILVERMIC 30-Nov-12 59637.00 DOWN 59661 59961 60286 60911 59336 59036 58411 Keynote Capitals Ltd. The Ruby, 9th Floor, Senapati Bapat Marg, Dadar (W), Mumbai, India – 400028 Tel: 30266000 / 22694322 www.keynotecapitals.com
  • 3.
    MCX Commodities Intra-dayTechnical Levels For - 23/10/12 Commodity Contract Close Intra Day Pivot Resistance Support Symbol Expiry 22/10/12 Trend Point R1 R2 R3 S1 S2 S3 ZINC 31-Jan-13 102.80 DOWN 103 104 104 106 102 102 100 ZINC 31-Dec-12 101.10 DOWN 102 103 104 106 100 100 97 ZINC 30-Nov-12 99.70 DOWN 100 101 103 105 99 98 96 ZINC 31-Oct-12 98.05 DOWN 99 100 101 104 97 96 93 ZINCMINI 31-Jan-13 102.35 DOWN 103 104 105 107 102 101 99 ZINCMINI 31-Dec-12 101.20 DOWN 102 103 104 107 100 100 97 ZINCMINI 30-Nov-12 99.75 DOWN 101 101 103 106 99 98 95 ZINCMINI 31-Oct-12 98.05 DOWN 99 100 102 105 97 96 93 Sanjay Bhatia (AVP – Technical Research), Email Id sanjay@keynotecapitals.net Pivot Point: Intra- Day Trading Tool. - The key to the use of this tool is the use of Stop Loss Intra Day Trend: It is valid only till the point where Price trades above Pivot Point. For Eg. “UP” would be valid till Price remains above Pivot Point. It would become “DOWN” in event Price trades below Pivot Point. Pivot Point (PP): This is a trigger point for Intra Day Buy / Sell based on the price range of the previous day. R1: Resistance 1: 1st Resistance level over Pivot Point, R2: Resistance 2: Next Resistance level after R1. R3: Resistance 3: Next Resistance level after R2. S1: Support 1: 1st Support level after Pivot Point, S2: Support 2: Next Support level after S1. S3: Support 3: Next Support level after S2. Note: As per this tool, the trader should take BUY position just above the Pivot Point and keep the Pivot Point level as stop loss and the first target would be R1 level (Resistance 1). If R1 is crossed then R2 (Resistance 2) becomes the next target with the stop loss placed at R1 level. If R2 is crossed then R3 (Resistance 3) becomes the next target with the stop loss placed at R2 level. Similarly if price goes below the Pivot Point the trader should take a SELL position and keep the Pivot Point level as the stop loss and the first target would be S1 level (Support 1). If S1 level is breached then S2 level (Support 2) becomes the next target with the stop loss placed at S1 level. If S2 level is breached then S3 level (Support 3) becomes the next target with the stop loss placed at S2 level. Disclaimer: This document is not for public distribution and has been furnished to you solely for your information and must not be reproduced or redistributed to any other person. Persons into whose possession this document may come are required to observe these restrictions. This material is for the personal information of the authorized recipient, and we are not soliciting any action based upon it. This report is not to be construed as an offer to sell or the solicitation of an offer to buy any security in any jurisdiction where such an offer or solicitation would be illegal. It is for the general information of clients of Keynote Capitals Ltd. It does not constitute a personal recommendation or take into account the particular investment objectives, financial situations, or needs of individual clients. We have reviewed the report, and in so far as it includes current or historical information, it is believed to be reliable though its accuracy or completeness cannot be guaranteed. Neither Keynote Capitals Ltd., nor any person connected with it, accepts any liability arising from the use of this document. The recipients of this material should rely on their own investigations and take their own professional advice. Price and value of the investments referred to in this material may go up or down. Past performance is not a guide for future performance. Certain transactions -including those involving futures, options and other derivatives as well as non-investment grade securities - involve substantial risk and are not suitable for all investors. Reports based on technical analysis centers on studying charts of a stock’s price movement and trading volume, as opposed to focusing on a company’s fundamentals and as such, may not match with a report on a company’s fundamentals. Opinions expressed are our current opinions as of the date appearing on this material only. While we endeavor to update on a reasonable basis the information discussed in this material, there may be regulatory, compliance, or other reasons that prevent us from doing so. Prospective investors and others are cautioned that any forward-looking statements are not predictions and may be subject to change without notice. Our proprietary trading and investment businesses may make investment decisions that are inconsistent with the recommendations expressed herein. We and our affiliates, officers, directors, and employees world wide may: (a) from time to time, have long or short positions in, and buy or sell the securities thereof, of company (ies) mentioned herein or (b) be engaged in any other transaction involving such securities and earn brokerage or other compensation or act as a market maker in the financial instruments of the company (ies) discussed herein or act as advisor or lender / borrower to such company (ies) or have other potential conflict of interest with respect to any recommendation and related information and opinions. The analyst for this report certifies that all of the views expressed in this report accurately reflect his or her personal views about the subject company or companies and its or their securities, and no part of his or her compensation was, is or will be, directly or indirectly related to specific recommendations or views expressed in this report. No part of this material may be duplicated in any form and/or redistributed without Keynote Capitals Ltd’s., prior written consent. Keynote Capitals Ltd. The Ruby, 9th Floor, Senapati Bapat Marg, Dadar (W), Mumbai, India – 400028 Tel: 30266000 / 22694322 www.keynotecapitals.com