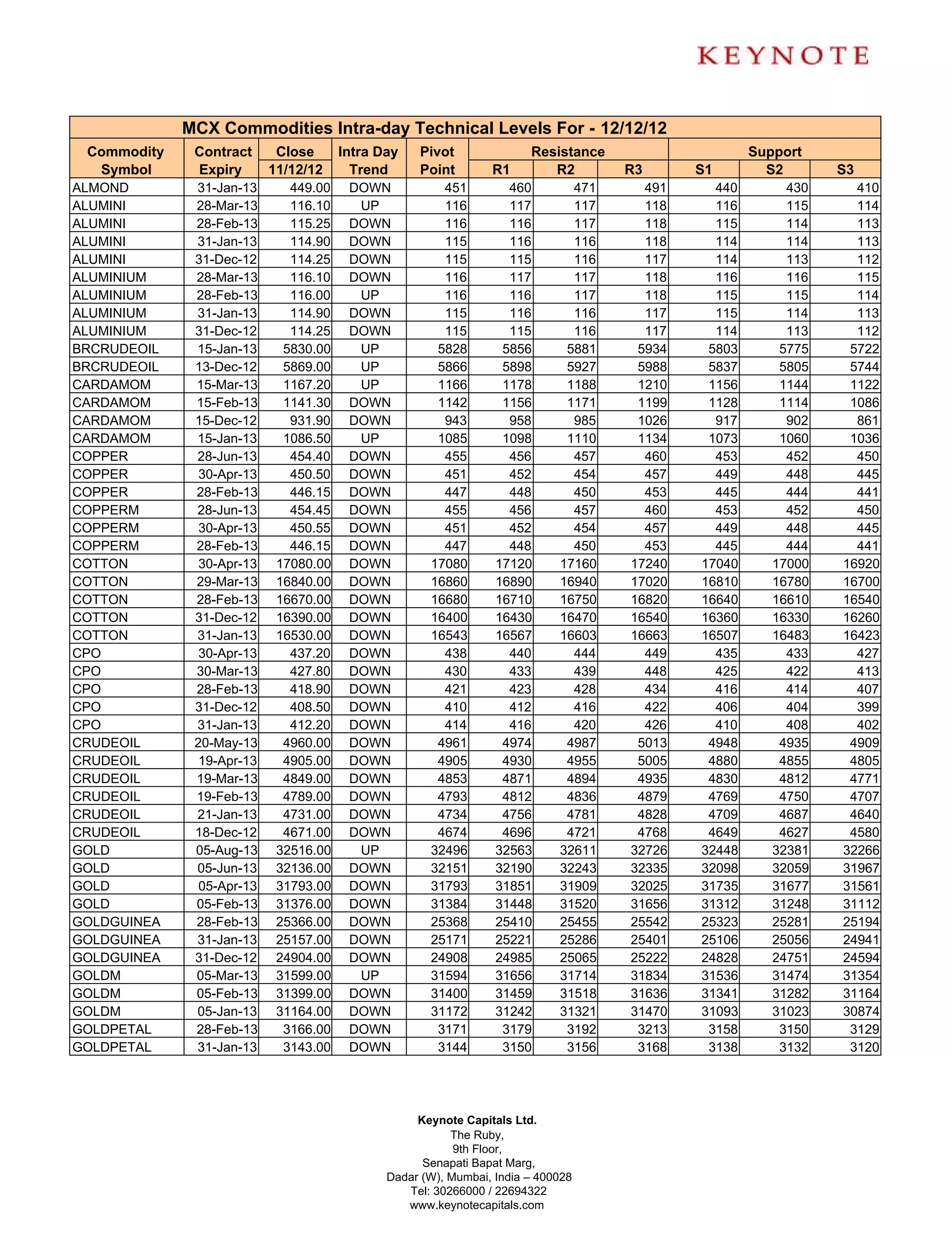
MCX Commodities Intra-day Technical Levels For - 12/12/12
 Commodity    Contract      Close      Intra Day   Pivot               Resistance                   Support
  Symbol      Expiry       11/12/12      Trend     Point        R1        R2        R3      S1        S2       S3
ALMOND        31-Jan-13       449.00    DOWN           451         460        471     491     440        430     410
ALUMINI       28-Mar-13       116.10     UP            116         117        117     118     116        115     114
ALUMINI       28-Feb-13       115.25    DOWN           116         116        117     118     115        114     113
ALUMINI       31-Jan-13       114.90    DOWN           115         116        116     118     114        114     113
ALUMINI       31-Dec-12       114.25    DOWN           115         115        116     117     114        113     112
ALUMINIUM     28-Mar-13       116.10    DOWN           116         117        117     118     116        116     115
ALUMINIUM     28-Feb-13       116.00     UP            116         116        117     118     115        115     114
ALUMINIUM     31-Jan-13       114.90    DOWN           115         116        116     117     115        114     113
ALUMINIUM     31-Dec-12       114.25    DOWN           115         115        116     117     114        113     112
BRCRUDEOIL    15-Jan-13      5830.00     UP           5828        5856       5881    5934    5803       5775    5722
BRCRUDEOIL    13-Dec-12      5869.00     UP           5866        5898       5927    5988    5837       5805    5744
CARDAMOM      15-Mar-13      1167.20     UP           1166        1178       1188    1210    1156       1144    1122
CARDAMOM      15-Feb-13      1141.30    DOWN          1142        1156       1171    1199    1128       1114    1086
CARDAMOM      15-Dec-12       931.90    DOWN           943         958        985    1026     917        902     861
CARDAMOM      15-Jan-13      1086.50     UP           1085        1098       1110    1134    1073       1060    1036
COPPER        28-Jun-13       454.40    DOWN           455         456        457     460     453        452     450
COPPER         30-Apr-13      450.50    DOWN           451         452        454     457     449        448     445
COPPER        28-Feb-13       446.15    DOWN           447         448        450     453     445        444     441
COPPERM       28-Jun-13       454.45    DOWN           455         456        457     460     453        452     450
COPPERM        30-Apr-13      450.55    DOWN           451         452        454     457     449        448     445
COPPERM       28-Feb-13       446.15    DOWN           447         448        450     453     445        444     441
COTTON         30-Apr-13    17080.00    DOWN         17080       17120      17160   17240   17040      17000   16920
COTTON        29-Mar-13     16840.00    DOWN         16860       16890      16940   17020   16810      16780   16700
COTTON        28-Feb-13     16670.00    DOWN         16680       16710      16750   16820   16640      16610   16540
COTTON        31-Dec-12     16390.00    DOWN         16400       16430      16470   16540   16360      16330   16260
COTTON        31-Jan-13     16530.00    DOWN         16543       16567      16603   16663   16507      16483   16423
CPO            30-Apr-13      437.20    DOWN           438         440        444     449     435        433     427
CPO           30-Mar-13       427.80    DOWN           430         433        439     448     425        422     413
CPO           28-Feb-13       418.90    DOWN           421         423        428     434     416        414     407
CPO           31-Dec-12       408.50    DOWN           410         412        416     422     406        404     399
CPO           31-Jan-13       412.20    DOWN           414         416        420     426     410        408     402
CRUDEOIL      20-May-13      4960.00    DOWN          4961        4974       4987    5013    4948       4935    4909
CRUDEOIL       19-Apr-13     4905.00    DOWN          4905        4930       4955    5005    4880       4855    4805
CRUDEOIL      19-Mar-13      4849.00    DOWN          4853        4871       4894    4935    4830       4812    4771
CRUDEOIL      19-Feb-13      4789.00    DOWN          4793        4812       4836    4879    4769       4750    4707
CRUDEOIL      21-Jan-13      4731.00    DOWN          4734        4756       4781    4828    4709       4687    4640
CRUDEOIL      18-Dec-12      4671.00    DOWN          4674        4696       4721    4768    4649       4627    4580
GOLD          05-Aug-13     32516.00     UP          32496       32563      32611   32726   32448      32381   32266
GOLD          05-Jun-13     32136.00    DOWN         32151       32190      32243   32335   32098      32059   31967
GOLD           05-Apr-13    31793.00    DOWN         31793       31851      31909   32025   31735      31677   31561
GOLD          05-Feb-13     31376.00    DOWN         31384       31448      31520   31656   31312      31248   31112
GOLDGUINEA    28-Feb-13     25366.00    DOWN         25368       25410      25455   25542   25323      25281   25194
GOLDGUINEA    31-Jan-13     25157.00    DOWN         25171       25221      25286   25401   25106      25056   24941
GOLDGUINEA    31-Dec-12     24904.00    DOWN         24908       24985      25065   25222   24828      24751   24594
GOLDM         05-Mar-13     31599.00     UP          31594       31656      31714   31834   31536      31474   31354
GOLDM         05-Feb-13     31399.00    DOWN         31400       31459      31518   31636   31341      31282   31164
GOLDM         05-Jan-13     31164.00    DOWN         31172       31242      31321   31470   31093      31023   30874
GOLDPETAL     28-Feb-13      3166.00    DOWN          3171        3179       3192    3213    3158       3150    3129
GOLDPETAL     31-Jan-13      3143.00    DOWN          3144        3150       3156    3168    3138       3132    3120




                                                   Keynote Capitals Ltd.
                                                         The Ruby,
                                                          9th Floor,
                                                    Senapati Bapat Marg,
                                              Dadar (W), Mumbai, India – 400028
                                                 Tel: 30266000 / 22694322
                                                 www.keynotecapitals.com
MCX Commodities Intra-day Technical Levels For - 12/12/12
 Commodity    Contract       Close      Intra Day   Pivot               Resistance                   Support
  Symbol      Expiry        11/12/12      Trend     Point        R1        R2        R3      S1        S2       S3
GOLDPETAL     31-Dec-12       3116.00     UP           3114        3126       3137    3160    3103       3091    3068
GOLDPTLDEL    31-Jan-13       3193.00     UP           3192        3200       3208    3224    3184       3176    3160
GOLDPTLDEL    28-Feb-13       3198.00    DOWN          3198        3207       3215    3232    3190       3181    3164
GOLDPTLDEL    31-Dec-12       3183.00    DOWN          3184        3201       3218    3252    3167       3150    3116
KAPAS         30-Mar-13        973.50    DOWN           974         978        982     989     970        966     959
KAPAS          30-Apr-13       986.50     UP            986         990        993    1000     983        979     972
KAPASKHALI     30-Apr-13      1516.00    DOWN          1517        1519       1522    1527    1514       1512    1507
KAPASKHALI    30-Mar-13       1486.00     UP           1486        1491       1495    1505    1481       1476    1467
KAPASKHALI    28-Feb-13       1460.50     UP           1457        1466       1472    1487    1451       1442    1427
KAPASKHALI    31-Dec-12       1403.50     UP           1400        1409       1415    1430    1394       1385    1370
KAPASKHALI    31-Jan-13       1429.00     UP           1426        1435       1441    1456    1420       1411    1396
LEAD          28-Mar-13        124.70     UP            124         125        126     127     124        123     122
LEAD          28-Feb-13        124.40    DOWN           124         125        126     127     124        123     122
LEAD          31-Jan-13        124.35    DOWN           124         125        126     128     124        123     121
LEAD          31-Dec-12        124.05    DOWN           124         125        126     128     123        122     121
LEADMINI      28-Mar-13        124.35     UP            124         125        126     127     124        123     121
LEADMINI      28-Feb-13        124.30    DOWN           124         125        126     127     124        123     122
LEADMINI      31-Jan-13        124.30    DOWN           124         125        126     128     124        123     121
LEADMINI      31-Dec-12        124.00    DOWN           124         125        126     128     123        122     120
MENTHAOIL     30-Mar-13       1477.50    DOWN          1483        1494       1511    1539    1466       1454    1426
MENTHAOIL     28-Feb-13       1480.80    DOWN          1485        1500       1519    1552    1466       1452    1419
MENTHAOIL     31-Jan-13       1470.10    DOWN          1480        1501       1532    1584    1449       1428    1376
MENTHAOIL     31-Dec-12       1452.00    DOWN          1462        1484       1515    1568    1431       1409    1356
NATURALGAS    25-Feb-13        191.70    DOWN           192         195        197     203     189        187     181
NATURALGAS    28-Jan-13        190.20    DOWN           191         193        196     201     188        185     180
NATURALGAS    26-Dec-12        187.50    DOWN           188         190        193     199     185        182     177
NICKEL        28-Mar-13        986.80     UP            985         990        993    1000     982        978     971
NICKEL        28-Feb-13        979.80     UP            979         983        987     995     975        970     962
NICKEL        31-Jan-13        973.50     UP            972         977        981     990     968        963     954
NICKEL        31-Dec-12        966.90     UP            965         971        975     984     961        956     947
NICKELM       28-Mar-13        983.00    DOWN           984         990        997    1010     977        971     958
NICKELM       28-Feb-13        979.30     UP            978         982        985     993     975        971     964
NICKELM       31-Jan-13        973.40     UP            972         977        981     990     968        963     954
NICKELM       31-Dec-12        966.90     UP            967         973        980     992     960        954     941
POTATO        15-May-13        698.40     UP            697         702        706     715     693        688     678
POTATO         15-Apr-13       697.40     UP            696         702        706     715     692        686     677
POTATO        15-Mar-13        727.70     UP            726         731        735     744     722        717     708
SILVER          05-Jul-13    65148.00    DOWN         65165       65355      65561   65957   64959      64769   64373
SILVER        04-May-13      63741.00    DOWN         63804       64097      64454   65104   63447      63154   62504
SILVER        05-Mar-13      62324.00    DOWN         62425       62749      63173   63921   62001      61677   60929
SILVER1000    28-Feb-13      62530.00     UP          62530       62900      63271   64012   62159      61789   61048
SILVER1000    31-Jan-13      61710.00    DOWN         62034       62955      64200   66366   60789      59868   57702
SILVER1000    31-Dec-12      60897.00    DOWN         61148       61747      62596   64044   60299      59700   58252
SILVERM       29-Jun-13      65127.00    DOWN         65224       65448      65769   66314   64903      64679   64134
SILVERM        30-Apr-13     63759.00    DOWN         63856       64162      64565   65274   63453      63147   62438
SILVERM       28-Feb-13      62343.00    DOWN         62449       62774      63205   63961   62018      61693   60937




                                                    Keynote Capitals Ltd.
                                                          The Ruby,
                                                           9th Floor,
                                                     Senapati Bapat Marg,
                                               Dadar (W), Mumbai, India – 400028
                                                  Tel: 30266000 / 22694322
                                                  www.keynotecapitals.com
MCX Commodities Intra-day Technical Levels For - 12/12/12
  Commodity              Contract        Close         Intra Day        Pivot                  Resistance                                   Support
   Symbol                Expiry         11/12/12         Trend          Point          R1         R2              R3             S1           S2               S3
SILVERMIC                29-Jun-13        65149.00       DOWN             65215        65490         65831          66447         64874          64599          63983
SILVERMIC                30-Apr-13        63755.00       DOWN             63852        64153         64552          65252         63453          63152          62452
SILVERMIC                28-Feb-13        62342.00       DOWN             62456        62786         63230          64004         62012          61682          60908
STEELRPR                 20-Feb-13        30900.00        UP              30863        31077         31253          31643         30687          30473          30083
STEELRPR                 18-Jan-13        30430.00        UP              30363        30557         30683          31003         30237          30043          29723
STEELRPR                 20-Dec-12        30060.00        UP              29973        30177         30293          30613         29857          29653          29333
ZINC                     28-Mar-13          113.95        UP                114          114           115            116           113            113            112
ZINC                     28-Feb-13          113.25       DOWN               114          114           115            116           113            112            111
ZINC                     31-Jan-13          112.60       DOWN               113          114           114            116           112            112            110
ZINC                     31-Dec-12          111.90       DOWN               112          113           114            115           111            111            109
ZINCMINI                 28-Mar-13          113.80       DOWN               114          114           115            116           113            113            112
ZINCMINI                 28-Feb-13          113.05       DOWN               113          114           115            116           113            112            111
ZINCMINI                 31-Jan-13          112.60       DOWN               113          113           114            116           112            112            110
ZINCMINI                 31-Dec-12          111.90       DOWN               112          113           114            115           111            111            109
Sanjay Bhatia (AVP – Technical Research),
                                        Email Id sanjay@keynotecapitals.net

Pivot Point: Intra- Day Trading Tool. - The key to the use of this tool is the use of Stop Loss

 Intra Day Trend: It is valid only till the point where Price trades above Pivot Point. For Eg. “UP” would be valid till Price
remains above Pivot Point. It would become “DOWN” in event Price trades below Pivot Point.

Pivot Point (PP): This is a trigger point for Intra Day Buy / Sell based on the price range of the previous day.

R1: Resistance 1: 1st Resistance level over Pivot Point, R2: Resistance 2: Next Resistance level after R1.
R3: Resistance 3: Next Resistance level after R2.

S1: Support 1: 1st Support level after Pivot Point, S2: Support 2: Next Support level after S1.
S3: Support 3: Next Support level after S2.

Note: As per this tool, the trader should take BUY position just above the Pivot Point and keep the Pivot Point level as stop
loss and the first target would be R1 level (Resistance 1). If R1 is crossed then R2 (Resistance 2) becomes the next target
with the stop loss placed at R1 level. If R2 is crossed then R3 (Resistance 3) becomes the next target with the stop loss
placed at R2 level.

Similarly if price goes below the Pivot Point the trader should take a SELL position and keep the Pivot Point level as the
stop loss and the first target would be S1 level (Support 1). If S1 level is breached then S2 level (Support 2) becomes the
next target with the stop loss placed at S1 level. If S2 level is breached then S3 level (Support 3) becomes the next target
with the stop loss placed at S2 level.
Disclaimer: This document is not for public distribution and has been furnished to you solely for your information and must not be reproduced or
redistributed to any other person. Persons into whose possession this document may come are required to observe these restrictions. This material is
for the personal information of the authorized recipient, and we are not soliciting any action based upon it. This report is not to be construed as an offer
to sell or the solicitation of an offer to buy any security in any jurisdiction where such an offer or solicitation would be illegal. It is for the general
information of clients of Keynote Capitals Ltd. It does not constitute a personal recommendation or take into account the particular investment
objectives, financial situations, or needs of individual clients. We have reviewed the report, and in so far as it includes current or historical information, it
is believed to be reliable though its accuracy or completeness cannot be guaranteed. Neither Keynote Capitals Ltd., nor any person connected with it,
accepts any liability arising from the use of this document. The recipients of this material should rely on their own investigations and take their own
professional advice. Price and value of the investments referred to in this material may go up or down. Past performance is not a guide for future
performance. Certain transactions -including those involving futures, options and other derivatives as well as non-investment grade securities - involve
substantial risk and are not suitable for all investors. Reports based on technical analysis centers on studying charts of a stock’s price movement and
trading volume, as opposed to focusing on a company’s fundamentals and as such, may not match with a report on a company’s fundamentals.
Opinions expressed are our current opinions as of the date appearing on this material only. While we endeavor to update on a reasonable basis the
information discussed in this material, there may be regulatory, compliance, or other reasons that prevent us from doing so. Prospective investors and
others are cautioned that any forward-looking statements are not predictions and may be subject to change without notice. Our proprietary trading and
investment businesses may make investment decisions that are inconsistent with the recommendations expressed herein. We and our affiliates,
officers, directors, and employees world wide may: (a) from time to time, have long or short positions in, and buy or sell the securities thereof, of
company (ies) mentioned herein or (b) be engaged in any other transaction involving such securities and earn brokerage or other compensation or act
as a market maker in the financial instruments of the company (ies) discussed herein or act as advisor or lender / borrower to such company (ies) or
have other potential conflict of interest with respect to any recommendation and related information and opinions. The analyst for this report certifies that
all of the views expressed in this report accurately reflect his or her personal views about the subject company or companies and its or their securities,
and no part of his or her compensation was, is or will be, directly or indirectly related to specific recommendations or views expressed in this report. No
part of this material may be duplicated in any form and/or redistributed without Keynote Capitals Ltd’s., prior written consent.



                                                                      Keynote Capitals Ltd.
                                                                            The Ruby,
                                                                             9th Floor,
                                                                       Senapati Bapat Marg,
                                                                 Dadar (W), Mumbai, India – 400028
                                                                    Tel: 30266000 / 22694322
                                                                    www.keynotecapitals.com

Keynote technicals commodity intraday levels for 121212

  • 1.
    MCX Commodities Intra-dayTechnical Levels For - 12/12/12 Commodity Contract Close Intra Day Pivot Resistance Support Symbol Expiry 11/12/12 Trend Point R1 R2 R3 S1 S2 S3 ALMOND 31-Jan-13 449.00 DOWN 451 460 471 491 440 430 410 ALUMINI 28-Mar-13 116.10 UP 116 117 117 118 116 115 114 ALUMINI 28-Feb-13 115.25 DOWN 116 116 117 118 115 114 113 ALUMINI 31-Jan-13 114.90 DOWN 115 116 116 118 114 114 113 ALUMINI 31-Dec-12 114.25 DOWN 115 115 116 117 114 113 112 ALUMINIUM 28-Mar-13 116.10 DOWN 116 117 117 118 116 116 115 ALUMINIUM 28-Feb-13 116.00 UP 116 116 117 118 115 115 114 ALUMINIUM 31-Jan-13 114.90 DOWN 115 116 116 117 115 114 113 ALUMINIUM 31-Dec-12 114.25 DOWN 115 115 116 117 114 113 112 BRCRUDEOIL 15-Jan-13 5830.00 UP 5828 5856 5881 5934 5803 5775 5722 BRCRUDEOIL 13-Dec-12 5869.00 UP 5866 5898 5927 5988 5837 5805 5744 CARDAMOM 15-Mar-13 1167.20 UP 1166 1178 1188 1210 1156 1144 1122 CARDAMOM 15-Feb-13 1141.30 DOWN 1142 1156 1171 1199 1128 1114 1086 CARDAMOM 15-Dec-12 931.90 DOWN 943 958 985 1026 917 902 861 CARDAMOM 15-Jan-13 1086.50 UP 1085 1098 1110 1134 1073 1060 1036 COPPER 28-Jun-13 454.40 DOWN 455 456 457 460 453 452 450 COPPER 30-Apr-13 450.50 DOWN 451 452 454 457 449 448 445 COPPER 28-Feb-13 446.15 DOWN 447 448 450 453 445 444 441 COPPERM 28-Jun-13 454.45 DOWN 455 456 457 460 453 452 450 COPPERM 30-Apr-13 450.55 DOWN 451 452 454 457 449 448 445 COPPERM 28-Feb-13 446.15 DOWN 447 448 450 453 445 444 441 COTTON 30-Apr-13 17080.00 DOWN 17080 17120 17160 17240 17040 17000 16920 COTTON 29-Mar-13 16840.00 DOWN 16860 16890 16940 17020 16810 16780 16700 COTTON 28-Feb-13 16670.00 DOWN 16680 16710 16750 16820 16640 16610 16540 COTTON 31-Dec-12 16390.00 DOWN 16400 16430 16470 16540 16360 16330 16260 COTTON 31-Jan-13 16530.00 DOWN 16543 16567 16603 16663 16507 16483 16423 CPO 30-Apr-13 437.20 DOWN 438 440 444 449 435 433 427 CPO 30-Mar-13 427.80 DOWN 430 433 439 448 425 422 413 CPO 28-Feb-13 418.90 DOWN 421 423 428 434 416 414 407 CPO 31-Dec-12 408.50 DOWN 410 412 416 422 406 404 399 CPO 31-Jan-13 412.20 DOWN 414 416 420 426 410 408 402 CRUDEOIL 20-May-13 4960.00 DOWN 4961 4974 4987 5013 4948 4935 4909 CRUDEOIL 19-Apr-13 4905.00 DOWN 4905 4930 4955 5005 4880 4855 4805 CRUDEOIL 19-Mar-13 4849.00 DOWN 4853 4871 4894 4935 4830 4812 4771 CRUDEOIL 19-Feb-13 4789.00 DOWN 4793 4812 4836 4879 4769 4750 4707 CRUDEOIL 21-Jan-13 4731.00 DOWN 4734 4756 4781 4828 4709 4687 4640 CRUDEOIL 18-Dec-12 4671.00 DOWN 4674 4696 4721 4768 4649 4627 4580 GOLD 05-Aug-13 32516.00 UP 32496 32563 32611 32726 32448 32381 32266 GOLD 05-Jun-13 32136.00 DOWN 32151 32190 32243 32335 32098 32059 31967 GOLD 05-Apr-13 31793.00 DOWN 31793 31851 31909 32025 31735 31677 31561 GOLD 05-Feb-13 31376.00 DOWN 31384 31448 31520 31656 31312 31248 31112 GOLDGUINEA 28-Feb-13 25366.00 DOWN 25368 25410 25455 25542 25323 25281 25194 GOLDGUINEA 31-Jan-13 25157.00 DOWN 25171 25221 25286 25401 25106 25056 24941 GOLDGUINEA 31-Dec-12 24904.00 DOWN 24908 24985 25065 25222 24828 24751 24594 GOLDM 05-Mar-13 31599.00 UP 31594 31656 31714 31834 31536 31474 31354 GOLDM 05-Feb-13 31399.00 DOWN 31400 31459 31518 31636 31341 31282 31164 GOLDM 05-Jan-13 31164.00 DOWN 31172 31242 31321 31470 31093 31023 30874 GOLDPETAL 28-Feb-13 3166.00 DOWN 3171 3179 3192 3213 3158 3150 3129 GOLDPETAL 31-Jan-13 3143.00 DOWN 3144 3150 3156 3168 3138 3132 3120 Keynote Capitals Ltd. The Ruby, 9th Floor, Senapati Bapat Marg, Dadar (W), Mumbai, India – 400028 Tel: 30266000 / 22694322 www.keynotecapitals.com
  • 2.
    MCX Commodities Intra-dayTechnical Levels For - 12/12/12 Commodity Contract Close Intra Day Pivot Resistance Support Symbol Expiry 11/12/12 Trend Point R1 R2 R3 S1 S2 S3 GOLDPETAL 31-Dec-12 3116.00 UP 3114 3126 3137 3160 3103 3091 3068 GOLDPTLDEL 31-Jan-13 3193.00 UP 3192 3200 3208 3224 3184 3176 3160 GOLDPTLDEL 28-Feb-13 3198.00 DOWN 3198 3207 3215 3232 3190 3181 3164 GOLDPTLDEL 31-Dec-12 3183.00 DOWN 3184 3201 3218 3252 3167 3150 3116 KAPAS 30-Mar-13 973.50 DOWN 974 978 982 989 970 966 959 KAPAS 30-Apr-13 986.50 UP 986 990 993 1000 983 979 972 KAPASKHALI 30-Apr-13 1516.00 DOWN 1517 1519 1522 1527 1514 1512 1507 KAPASKHALI 30-Mar-13 1486.00 UP 1486 1491 1495 1505 1481 1476 1467 KAPASKHALI 28-Feb-13 1460.50 UP 1457 1466 1472 1487 1451 1442 1427 KAPASKHALI 31-Dec-12 1403.50 UP 1400 1409 1415 1430 1394 1385 1370 KAPASKHALI 31-Jan-13 1429.00 UP 1426 1435 1441 1456 1420 1411 1396 LEAD 28-Mar-13 124.70 UP 124 125 126 127 124 123 122 LEAD 28-Feb-13 124.40 DOWN 124 125 126 127 124 123 122 LEAD 31-Jan-13 124.35 DOWN 124 125 126 128 124 123 121 LEAD 31-Dec-12 124.05 DOWN 124 125 126 128 123 122 121 LEADMINI 28-Mar-13 124.35 UP 124 125 126 127 124 123 121 LEADMINI 28-Feb-13 124.30 DOWN 124 125 126 127 124 123 122 LEADMINI 31-Jan-13 124.30 DOWN 124 125 126 128 124 123 121 LEADMINI 31-Dec-12 124.00 DOWN 124 125 126 128 123 122 120 MENTHAOIL 30-Mar-13 1477.50 DOWN 1483 1494 1511 1539 1466 1454 1426 MENTHAOIL 28-Feb-13 1480.80 DOWN 1485 1500 1519 1552 1466 1452 1419 MENTHAOIL 31-Jan-13 1470.10 DOWN 1480 1501 1532 1584 1449 1428 1376 MENTHAOIL 31-Dec-12 1452.00 DOWN 1462 1484 1515 1568 1431 1409 1356 NATURALGAS 25-Feb-13 191.70 DOWN 192 195 197 203 189 187 181 NATURALGAS 28-Jan-13 190.20 DOWN 191 193 196 201 188 185 180 NATURALGAS 26-Dec-12 187.50 DOWN 188 190 193 199 185 182 177 NICKEL 28-Mar-13 986.80 UP 985 990 993 1000 982 978 971 NICKEL 28-Feb-13 979.80 UP 979 983 987 995 975 970 962 NICKEL 31-Jan-13 973.50 UP 972 977 981 990 968 963 954 NICKEL 31-Dec-12 966.90 UP 965 971 975 984 961 956 947 NICKELM 28-Mar-13 983.00 DOWN 984 990 997 1010 977 971 958 NICKELM 28-Feb-13 979.30 UP 978 982 985 993 975 971 964 NICKELM 31-Jan-13 973.40 UP 972 977 981 990 968 963 954 NICKELM 31-Dec-12 966.90 UP 967 973 980 992 960 954 941 POTATO 15-May-13 698.40 UP 697 702 706 715 693 688 678 POTATO 15-Apr-13 697.40 UP 696 702 706 715 692 686 677 POTATO 15-Mar-13 727.70 UP 726 731 735 744 722 717 708 SILVER 05-Jul-13 65148.00 DOWN 65165 65355 65561 65957 64959 64769 64373 SILVER 04-May-13 63741.00 DOWN 63804 64097 64454 65104 63447 63154 62504 SILVER 05-Mar-13 62324.00 DOWN 62425 62749 63173 63921 62001 61677 60929 SILVER1000 28-Feb-13 62530.00 UP 62530 62900 63271 64012 62159 61789 61048 SILVER1000 31-Jan-13 61710.00 DOWN 62034 62955 64200 66366 60789 59868 57702 SILVER1000 31-Dec-12 60897.00 DOWN 61148 61747 62596 64044 60299 59700 58252 SILVERM 29-Jun-13 65127.00 DOWN 65224 65448 65769 66314 64903 64679 64134 SILVERM 30-Apr-13 63759.00 DOWN 63856 64162 64565 65274 63453 63147 62438 SILVERM 28-Feb-13 62343.00 DOWN 62449 62774 63205 63961 62018 61693 60937 Keynote Capitals Ltd. The Ruby, 9th Floor, Senapati Bapat Marg, Dadar (W), Mumbai, India – 400028 Tel: 30266000 / 22694322 www.keynotecapitals.com
  • 3.
    MCX Commodities Intra-dayTechnical Levels For - 12/12/12 Commodity Contract Close Intra Day Pivot Resistance Support Symbol Expiry 11/12/12 Trend Point R1 R2 R3 S1 S2 S3 SILVERMIC 29-Jun-13 65149.00 DOWN 65215 65490 65831 66447 64874 64599 63983 SILVERMIC 30-Apr-13 63755.00 DOWN 63852 64153 64552 65252 63453 63152 62452 SILVERMIC 28-Feb-13 62342.00 DOWN 62456 62786 63230 64004 62012 61682 60908 STEELRPR 20-Feb-13 30900.00 UP 30863 31077 31253 31643 30687 30473 30083 STEELRPR 18-Jan-13 30430.00 UP 30363 30557 30683 31003 30237 30043 29723 STEELRPR 20-Dec-12 30060.00 UP 29973 30177 30293 30613 29857 29653 29333 ZINC 28-Mar-13 113.95 UP 114 114 115 116 113 113 112 ZINC 28-Feb-13 113.25 DOWN 114 114 115 116 113 112 111 ZINC 31-Jan-13 112.60 DOWN 113 114 114 116 112 112 110 ZINC 31-Dec-12 111.90 DOWN 112 113 114 115 111 111 109 ZINCMINI 28-Mar-13 113.80 DOWN 114 114 115 116 113 113 112 ZINCMINI 28-Feb-13 113.05 DOWN 113 114 115 116 113 112 111 ZINCMINI 31-Jan-13 112.60 DOWN 113 113 114 116 112 112 110 ZINCMINI 31-Dec-12 111.90 DOWN 112 113 114 115 111 111 109 Sanjay Bhatia (AVP – Technical Research), Email Id sanjay@keynotecapitals.net Pivot Point: Intra- Day Trading Tool. - The key to the use of this tool is the use of Stop Loss Intra Day Trend: It is valid only till the point where Price trades above Pivot Point. For Eg. “UP” would be valid till Price remains above Pivot Point. It would become “DOWN” in event Price trades below Pivot Point. Pivot Point (PP): This is a trigger point for Intra Day Buy / Sell based on the price range of the previous day. R1: Resistance 1: 1st Resistance level over Pivot Point, R2: Resistance 2: Next Resistance level after R1. R3: Resistance 3: Next Resistance level after R2. S1: Support 1: 1st Support level after Pivot Point, S2: Support 2: Next Support level after S1. S3: Support 3: Next Support level after S2. Note: As per this tool, the trader should take BUY position just above the Pivot Point and keep the Pivot Point level as stop loss and the first target would be R1 level (Resistance 1). If R1 is crossed then R2 (Resistance 2) becomes the next target with the stop loss placed at R1 level. If R2 is crossed then R3 (Resistance 3) becomes the next target with the stop loss placed at R2 level. Similarly if price goes below the Pivot Point the trader should take a SELL position and keep the Pivot Point level as the stop loss and the first target would be S1 level (Support 1). If S1 level is breached then S2 level (Support 2) becomes the next target with the stop loss placed at S1 level. If S2 level is breached then S3 level (Support 3) becomes the next target with the stop loss placed at S2 level. Disclaimer: This document is not for public distribution and has been furnished to you solely for your information and must not be reproduced or redistributed to any other person. Persons into whose possession this document may come are required to observe these restrictions. This material is for the personal information of the authorized recipient, and we are not soliciting any action based upon it. This report is not to be construed as an offer to sell or the solicitation of an offer to buy any security in any jurisdiction where such an offer or solicitation would be illegal. It is for the general information of clients of Keynote Capitals Ltd. It does not constitute a personal recommendation or take into account the particular investment objectives, financial situations, or needs of individual clients. We have reviewed the report, and in so far as it includes current or historical information, it is believed to be reliable though its accuracy or completeness cannot be guaranteed. Neither Keynote Capitals Ltd., nor any person connected with it, accepts any liability arising from the use of this document. The recipients of this material should rely on their own investigations and take their own professional advice. Price and value of the investments referred to in this material may go up or down. Past performance is not a guide for future performance. Certain transactions -including those involving futures, options and other derivatives as well as non-investment grade securities - involve substantial risk and are not suitable for all investors. Reports based on technical analysis centers on studying charts of a stock’s price movement and trading volume, as opposed to focusing on a company’s fundamentals and as such, may not match with a report on a company’s fundamentals. Opinions expressed are our current opinions as of the date appearing on this material only. While we endeavor to update on a reasonable basis the information discussed in this material, there may be regulatory, compliance, or other reasons that prevent us from doing so. Prospective investors and others are cautioned that any forward-looking statements are not predictions and may be subject to change without notice. Our proprietary trading and investment businesses may make investment decisions that are inconsistent with the recommendations expressed herein. We and our affiliates, officers, directors, and employees world wide may: (a) from time to time, have long or short positions in, and buy or sell the securities thereof, of company (ies) mentioned herein or (b) be engaged in any other transaction involving such securities and earn brokerage or other compensation or act as a market maker in the financial instruments of the company (ies) discussed herein or act as advisor or lender / borrower to such company (ies) or have other potential conflict of interest with respect to any recommendation and related information and opinions. The analyst for this report certifies that all of the views expressed in this report accurately reflect his or her personal views about the subject company or companies and its or their securities, and no part of his or her compensation was, is or will be, directly or indirectly related to specific recommendations or views expressed in this report. No part of this material may be duplicated in any form and/or redistributed without Keynote Capitals Ltd’s., prior written consent. Keynote Capitals Ltd. The Ruby, 9th Floor, Senapati Bapat Marg, Dadar (W), Mumbai, India – 400028 Tel: 30266000 / 22694322 www.keynotecapitals.com