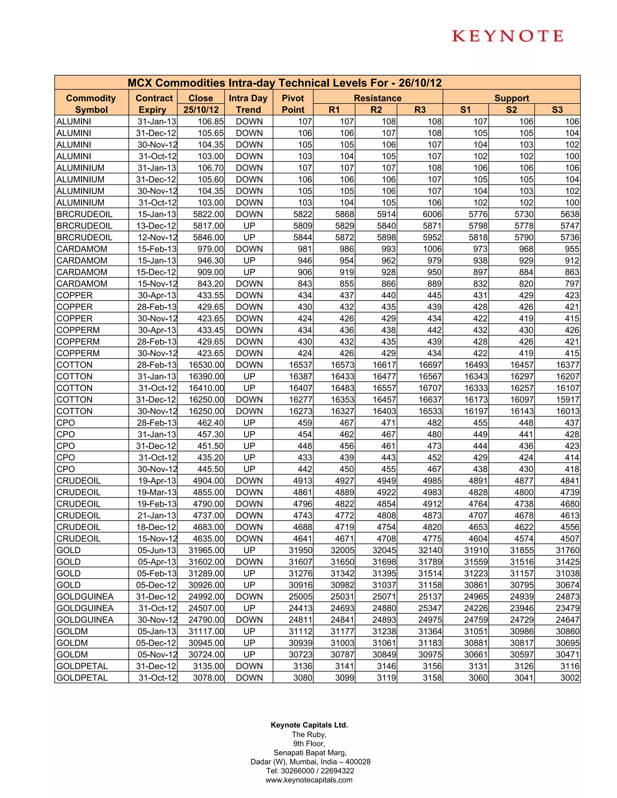
MCX Commodities Intra-day Technical Levels For - 26/10/12
 Commodity    Contract      Close      Intra Day    Pivot               Resistance                      Support
  Symbol      Expiry       25/10/12      Trend      Point        R1        R2           R3      S1        S2       S3
ALUMINI       31-Jan-13       106.85    DOWN            107         107           108     108     107        106     106
ALUMINI       31-Dec-12       105.65    DOWN            106         106           107     108     105        105     104
ALUMINI       30-Nov-12       104.35    DOWN            105         105           106     107     104        103     102
ALUMINI        31-Oct-12      103.00    DOWN            103         104           105     107     102        102     100
ALUMINIUM     31-Jan-13       106.70    DOWN            107         107           107     108     106        106     106
ALUMINIUM     31-Dec-12       105.60    DOWN            106         106           106     107     105        105     104
ALUMINIUM     30-Nov-12       104.35    DOWN            105         105           106     107     104        103     102
ALUMINIUM      31-Oct-12      103.00    DOWN            103         104           105     106     102        102     100
BRCRUDEOIL    15-Jan-13      5822.00    DOWN           5822        5868          5914    6006    5776       5730    5638
BRCRUDEOIL    13-Dec-12      5817.00     UP            5809        5829          5840    5871    5798       5778    5747
BRCRUDEOIL    12-Nov-12      5846.00     UP            5844        5872          5898    5952    5818       5790    5736
CARDAMOM      15-Feb-13       979.00    DOWN            981         986           993    1006     973        968     955
CARDAMOM      15-Jan-13       946.30     UP             946         954           962     979     938        929     912
CARDAMOM      15-Dec-12       909.00     UP             906         919           928     950     897        884     863
CARDAMOM      15-Nov-12       843.20    DOWN            843         855           866     889     832        820     797
COPPER        30-Apr-13       433.55    DOWN            434         437           440     445     431        429     423
COPPER        28-Feb-13       429.65    DOWN            430         432           435     439     428        426     421
COPPER        30-Nov-12       423.65    DOWN            424         426           429     434     422        419     415
COPPERM       30-Apr-13       433.45    DOWN            434         436           438     442     432        430     426
COPPERM       28-Feb-13       429.65    DOWN            430         432           435     439     428        426     421
COPPERM       30-Nov-12       423.65    DOWN            424         426           429     434     422        419     415
COTTON        28-Feb-13     16530.00    DOWN          16537       16573         16617   16697   16493      16457   16377
COTTON        31-Jan-13     16390.00     UP           16387       16433         16477   16567   16343      16297   16207
COTTON         31-Oct-12    16410.00     UP           16407       16483         16557   16707   16333      16257   16107
COTTON        31-Dec-12     16250.00    DOWN          16277       16353         16457   16637   16173      16097   15917
COTTON        30-Nov-12     16250.00    DOWN          16273       16327         16403   16533   16197      16143   16013
CPO           28-Feb-13       462.40     UP             459         467           471     482     455        448     437
CPO           31-Jan-13       457.30     UP             454         462           467     480     449        441     428
CPO           31-Dec-12       451.50     UP             448         456           461     473     444        436     423
CPO            31-Oct-12      435.20     UP             433         439           443     452     429        424     414
CPO           30-Nov-12       445.50     UP             442         450           455     467     438        430     418
CRUDEOIL      19-Apr-13      4904.00    DOWN           4913        4927          4949    4985    4891       4877    4841
CRUDEOIL      19-Mar-13      4855.00    DOWN           4861        4889          4922    4983    4828       4800    4739
CRUDEOIL      19-Feb-13      4790.00    DOWN           4796        4822          4854    4912    4764       4738    4680
CRUDEOIL      21-Jan-13      4737.00    DOWN           4743        4772          4808    4873    4707       4678    4613
CRUDEOIL      18-Dec-12      4683.00    DOWN           4688        4719          4754    4820    4653       4622    4556
CRUDEOIL      15-Nov-12      4635.00    DOWN           4641        4671          4708    4775    4604       4574    4507
GOLD          05-Jun-13     31965.00     UP           31950       32005         32045   32140   31910      31855   31760
GOLD          05-Apr-13     31602.00    DOWN          31607       31650         31698   31789   31559      31516   31425
GOLD          05-Feb-13     31289.00     UP           31276       31342         31395   31514   31223      31157   31038
GOLD          05-Dec-12     30926.00     UP           30916       30982         31037   31158   30861      30795   30674
GOLDGUINEA    31-Dec-12     24992.00    DOWN          25005       25031         25071   25137   24965      24939   24873
GOLDGUINEA     31-Oct-12    24507.00     UP           24413       24693         24880   25347   24226      23946   23479
GOLDGUINEA    30-Nov-12     24790.00    DOWN          24811       24841         24893   24975   24759      24729   24647
GOLDM         05-Jan-13     31117.00     UP           31112       31177         31238   31364   31051      30986   30860
GOLDM         05-Dec-12     30945.00     UP           30939       31003         31061   31183   30881      30817   30695
GOLDM         05-Nov-12     30724.00     UP           30723       30787         30849   30975   30661      30597   30471
GOLDPETAL     31-Dec-12      3135.00    DOWN           3136        3141          3146    3156    3131       3126    3116
GOLDPETAL      31-Oct-12     3078.00    DOWN           3080        3099          3119    3158    3060       3041    3002




                                                 Keynote Capitals Ltd.
                                                       The Ruby,
                                                        9th Floor,
                                                  Senapati Bapat Marg,
                                            Dadar (W), Mumbai, India – 400028
                                               Tel: 30266000 / 22694322
                                               www.keynotecapitals.com
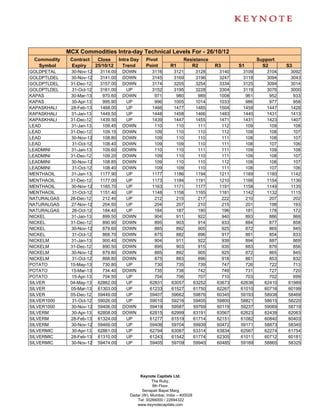
MCX Commodities Intra-day Technical Levels For - 26/10/12
 Commodity    Contract      Close      Intra Day    Pivot               Resistance                      Support
  Symbol      Expiry       25/10/12      Trend      Point        R1        R2           R3      S1        S2       S3
GOLDPETAL     30-Nov-12      3114.00    DOWN           3116       3121           3128    3140    3109       3104    3092
GOLDPTLDEL    30-Nov-12      3141.00    DOWN           3145       3169           3196    3247    3118       3094    3043
GOLDPTLDEL    31-Dec-12      3157.00    DOWN           3174       3205           3254    3334    3125       3094    3014
GOLDPTLDEL     31-Oct-12     3161.00     UP            3152       3195           3228    3304    3119       3076    3000
KAPAS         30-Mar-13       970.60    DOWN            971        980            989    1008     961        952     933
KAPAS          30-Apr-13      995.90     UP             996       1005           1014    1033     986        977     958
KAPASKHALI    28-Feb-13      1468.00     UP            1466       1477           1485    1504    1458       1447    1428
KAPASKHALI    31-Jan-13      1449.50     UP            1448       1458           1466    1483    1440       1431    1413
KAPASKHALI    31-Dec-12      1439.50     UP            1439       1447           1455    1471    1431       1423    1407
LEAD          31-Jan-13       109.45    DOWN            110        110            111     112     109        109     108
LEAD          31-Dec-12       109.15    DOWN            109        110            110     112     109        108     107
LEAD          30-Nov-12       108.80    DOWN            109        110            110     111     108        108     107
LEAD           31-Oct-12      108.40    DOWN            109        109            110     111     108        107     106
LEADMINI      31-Jan-13       109.60    DOWN            110        110            111     111     109        109     108
LEADMINI      31-Dec-12       109.20    DOWN            109        110            110     111     109        108     107
LEADMINI      30-Nov-12       108.85    DOWN            109        110            110     112     108        108     107
LEADMINI       31-Oct-12      108.40    DOWN            109        109            110     111     108        107     106
MENTHAOIL     31-Jan-13      1177.90     UP            1177       1186           1194    1211    1169       1160    1142
MENTHAOIL     31-Dec-12      1177.00     UP            1173       1184           1191    1210    1166       1154    1136
MENTHAOIL     30-Nov-12      1165.70     UP            1163       1171           1177    1191    1158       1149    1135
MENTHAOIL      31-Oct-12     1151.40     UP            1148       1158           1165    1181    1142       1132    1115
NATURALGAS    26-Dec-12       212.40     UP             212        215            217     222     210        207     202
NATURALGAS    27-Nov-12       204.50     UP             204        207            210     215     201        198     193
NATURALGAS     26-Oct-12      184.40     UP             184        187            190     196     181        178     172
NICKEL        31-Jan-13       899.50    DOWN            904        911            922     940     893        886     868
NICKEL        31-Dec-12       890.90    DOWN            895        903            914     933     884        877     858
NICKEL        30-Nov-12       879.60    DOWN            885        892            905     925     872        865     845
NICKEL         31-Oct-12      868.70    DOWN            875        882            896     917     861        854     833
NICKELM       31-Jan-13       900.40    DOWN            904        911            922     939     894        887     869
NICKELM       31-Dec-12       890.50    DOWN            895        903            915     935     883        876     856
NICKELM       30-Nov-12       879.80    DOWN            885        892            905     925     872        865     845
NICKELM        31-Oct-12      868.80    DOWN            875        883            896     918     861        853     832
POTATO        15-May-13       730.80     UP             730        735            739     747     726        722     713
POTATO        15-Mar-13       734.40    DOWN            735        738            742     749     731        727     720
POTATO         15-Apr-13      704.50     UP             704        706            707     710     703        702     699
SILVER        04-May-13     62862.00     UP           62831      63057          63252   63673   62636      62410   61989
SILVER        05-Mar-13     61303.00     UP           61233      61527          61750   62267   61010      60716   60199
SILVER        05-Dec-12     59449.00     UP           59407      59662          59876   60345   59193      58938   58469
SILVER1000     31-Oct-12    59026.00     UP           59010      59216          59405   59800   58821      58615   58220
SILVER1000    30-Nov-12     59406.00    DOWN          59419      59587          59769   60119   59237      59069   58719
SILVERM        30-Apr-13    62808.00    DOWN          62815      62999          63191   63567   62623      62439   62063
SILVERM       28-Feb-13     61324.00     UP           61277      61519          61714   62151   61082      60840   60403
SILVERM       30-Nov-12     59469.00     UP           59406      59704          59939   60472   59171      58873   58340
SILVERMIC      30-Apr-13    62861.00     UP           62794      63087          63314   63834   62567      62274   61754
SILVERMIC     28-Feb-13     61310.00     UP           61243      61542          61774   62305   61011      60712   60181
SILVERMIC     30-Nov-12     59474.00     UP           59405      59709          59945   60485   59169      58865   58325




                                                 Keynote Capitals Ltd.
                                                       The Ruby,
                                                        9th Floor,
                                                  Senapati Bapat Marg,
                                            Dadar (W), Mumbai, India – 400028
                                               Tel: 30266000 / 22694322
                                               www.keynotecapitals.com
MCX Commodities Intra-day Technical Levels For - 26/10/12
   Commodity             Contract        Close         Intra Day       Pivot                  Resistance                                   Support
    Symbol               Expiry         25/10/12         Trend         Point          R1         R2               R3            S1           S2                  S3
STEELRPR                 18-Jan-13        31540.00        UP              31493        31697        31853          32213          31337         31133            30773
STEELRPR                 20-Dec-12        31320.00        UP              31237        31493        31667          32097          31063         30807            30377
ZINC                     31-Jan-13          102.35       DOWN               102          103          103            104            102           101              100
ZINC                     31-Dec-12          100.55       DOWN               101          101          102            104            100            99               98
ZINC                     30-Nov-12           99.00       DOWN                99          100          101            103             98            98               96
ZINC                      31-Oct-12          97.30       DOWN                98           98          100            101             97            96               94
ZINCMINI                 31-Jan-13          101.80       DOWN               102          103          103            105            101           101              100
ZINCMINI                 31-Dec-12          100.45       DOWN               101          101          103            104            100            99               98
ZINCMINI                 30-Nov-12           99.00       DOWN                99          100          101            103             98            98               96
ZINCMINI                  31-Oct-12          97.30       DOWN                98           98          100            101             97            96               94

Sanjay Bhatia (AVP – Technical Research),
                                        Email Id sanjay@keynotecapitals.net

Pivot Point: Intra- Day Trading Tool. - The key to the use of this tool is the use of Stop Loss

 Intra Day Trend: It is valid only till the point where Price trades above Pivot Point. For Eg. “UP” would be valid till Price
remains above Pivot Point. It would become “DOWN” in event Price trades below Pivot Point.

Pivot Point (PP): This is a trigger point for Intra Day Buy / Sell based on the price range of the previous day.

R1: Resistance 1: 1st Resistance level over Pivot Point, R2: Resistance 2: Next Resistance level after R1.
R3: Resistance 3: Next Resistance level after R2.

S1: Support 1: 1st Support level after Pivot Point, S2: Support 2: Next Support level after S1.
S3: Support 3: Next Support level after S2.

Note: As per this tool, the trader should take BUY position just above the Pivot Point and keep the Pivot Point level as stop
loss and the first target would be R1 level (Resistance 1). If R1 is crossed then R2 (Resistance 2) becomes the next target
with the stop loss placed at R1 level. If R2 is crossed then R3 (Resistance 3) becomes the next target with the stop loss
placed at R2 level.

Similarly if price goes below the Pivot Point the trader should take a SELL position and keep the Pivot Point level as the
stop loss and the first target would be S1 level (Support 1). If S1 level is breached then S2 level (Support 2) becomes the
next target with the stop loss placed at S1 level. If S2 level is breached then S3 level (Support 3) becomes the next target
with the stop loss placed at S2 level.


Disclaimer: This document is not for public distribution and has been furnished to you solely for your information and must not be reproduced or
redistributed to any other person. Persons into whose possession this document may come are required to observe these restrictions. This material is
for the personal information of the authorized recipient, and we are not soliciting any action based upon it. This report is not to be construed as an offer
to sell or the solicitation of an offer to buy any security in any jurisdiction where such an offer or solicitation would be illegal. It is for the general
information of clients of Keynote Capitals Ltd. It does not constitute a personal recommendation or take into account the particular investment
objectives, financial situations, or needs of individual clients. We have reviewed the report, and in so far as it includes current or historical information,
it is believed to be reliable though its accuracy or completeness cannot be guaranteed. Neither Keynote Capitals Ltd., nor any person connected with
it, accepts any liability arising from the use of this document. The recipients of this material should rely on their own investigations and take their own
professional advice. Price and value of the investments referred to in this material may go up or down. Past performance is not a guide for future
performance. Certain transactions -including those involving futures, options and other derivatives as well as non-investment grade securities - involve
substantial risk and are not suitable for all investors. Reports based on technical analysis centers on studying charts of a stock’s price movement and
trading volume, as opposed to focusing on a company’s fundamentals and as such, may not match with a report on a company’s fundamentals.
Opinions expressed are our current opinions as of the date appearing on this material only. While we endeavor to update on a reasonable basis the
information discussed in this material, there may be regulatory, compliance, or other reasons that prevent us from doing so. Prospective investors and
others are cautioned that any forward-looking statements are not predictions and may be subject to change without notice. Our proprietary trading and
investment businesses may make investment decisions that are inconsistent with the recommendations expressed herein. We and our affiliates,
officers, directors, and employees world wide may: (a) from time to time, have long or short positions in, and buy or sell the securities thereof, of
company (ies) mentioned herein or (b) be engaged in any other transaction involving such securities and earn brokerage or other compensation or act
as a market maker in the financial instruments of the company (ies) discussed herein or act as advisor or lender / borrower to such company (ies) or
have other potential conflict of interest with respect to any recommendation and related information and opinions. The analyst for this report certifies
that all of the views expressed in this report accurately reflect his or her personal views about the subject company or companies and its or their
securities, and no part of his or her compensation was, is or will be, directly or indirectly related to specific recommendations or views expressed in this
report. No part of this material may be duplicated in any form and/or redistributed without Keynote Capitals Ltd’s., prior written consent.




                                                                   Keynote Capitals Ltd.
                                                                         The Ruby,
                                                                          9th Floor,
                                                                    Senapati Bapat Marg,
                                                              Dadar (W), Mumbai, India – 400028
                                                                 Tel: 30266000 / 22694322
                                                                 www.keynotecapitals.com

Keynote technicals commodity intraday levels for 261012

  • 1.
    MCX Commodities Intra-dayTechnical Levels For - 26/10/12 Commodity Contract Close Intra Day Pivot Resistance Support Symbol Expiry 25/10/12 Trend Point R1 R2 R3 S1 S2 S3 ALUMINI 31-Jan-13 106.85 DOWN 107 107 108 108 107 106 106 ALUMINI 31-Dec-12 105.65 DOWN 106 106 107 108 105 105 104 ALUMINI 30-Nov-12 104.35 DOWN 105 105 106 107 104 103 102 ALUMINI 31-Oct-12 103.00 DOWN 103 104 105 107 102 102 100 ALUMINIUM 31-Jan-13 106.70 DOWN 107 107 107 108 106 106 106 ALUMINIUM 31-Dec-12 105.60 DOWN 106 106 106 107 105 105 104 ALUMINIUM 30-Nov-12 104.35 DOWN 105 105 106 107 104 103 102 ALUMINIUM 31-Oct-12 103.00 DOWN 103 104 105 106 102 102 100 BRCRUDEOIL 15-Jan-13 5822.00 DOWN 5822 5868 5914 6006 5776 5730 5638 BRCRUDEOIL 13-Dec-12 5817.00 UP 5809 5829 5840 5871 5798 5778 5747 BRCRUDEOIL 12-Nov-12 5846.00 UP 5844 5872 5898 5952 5818 5790 5736 CARDAMOM 15-Feb-13 979.00 DOWN 981 986 993 1006 973 968 955 CARDAMOM 15-Jan-13 946.30 UP 946 954 962 979 938 929 912 CARDAMOM 15-Dec-12 909.00 UP 906 919 928 950 897 884 863 CARDAMOM 15-Nov-12 843.20 DOWN 843 855 866 889 832 820 797 COPPER 30-Apr-13 433.55 DOWN 434 437 440 445 431 429 423 COPPER 28-Feb-13 429.65 DOWN 430 432 435 439 428 426 421 COPPER 30-Nov-12 423.65 DOWN 424 426 429 434 422 419 415 COPPERM 30-Apr-13 433.45 DOWN 434 436 438 442 432 430 426 COPPERM 28-Feb-13 429.65 DOWN 430 432 435 439 428 426 421 COPPERM 30-Nov-12 423.65 DOWN 424 426 429 434 422 419 415 COTTON 28-Feb-13 16530.00 DOWN 16537 16573 16617 16697 16493 16457 16377 COTTON 31-Jan-13 16390.00 UP 16387 16433 16477 16567 16343 16297 16207 COTTON 31-Oct-12 16410.00 UP 16407 16483 16557 16707 16333 16257 16107 COTTON 31-Dec-12 16250.00 DOWN 16277 16353 16457 16637 16173 16097 15917 COTTON 30-Nov-12 16250.00 DOWN 16273 16327 16403 16533 16197 16143 16013 CPO 28-Feb-13 462.40 UP 459 467 471 482 455 448 437 CPO 31-Jan-13 457.30 UP 454 462 467 480 449 441 428 CPO 31-Dec-12 451.50 UP 448 456 461 473 444 436 423 CPO 31-Oct-12 435.20 UP 433 439 443 452 429 424 414 CPO 30-Nov-12 445.50 UP 442 450 455 467 438 430 418 CRUDEOIL 19-Apr-13 4904.00 DOWN 4913 4927 4949 4985 4891 4877 4841 CRUDEOIL 19-Mar-13 4855.00 DOWN 4861 4889 4922 4983 4828 4800 4739 CRUDEOIL 19-Feb-13 4790.00 DOWN 4796 4822 4854 4912 4764 4738 4680 CRUDEOIL 21-Jan-13 4737.00 DOWN 4743 4772 4808 4873 4707 4678 4613 CRUDEOIL 18-Dec-12 4683.00 DOWN 4688 4719 4754 4820 4653 4622 4556 CRUDEOIL 15-Nov-12 4635.00 DOWN 4641 4671 4708 4775 4604 4574 4507 GOLD 05-Jun-13 31965.00 UP 31950 32005 32045 32140 31910 31855 31760 GOLD 05-Apr-13 31602.00 DOWN 31607 31650 31698 31789 31559 31516 31425 GOLD 05-Feb-13 31289.00 UP 31276 31342 31395 31514 31223 31157 31038 GOLD 05-Dec-12 30926.00 UP 30916 30982 31037 31158 30861 30795 30674 GOLDGUINEA 31-Dec-12 24992.00 DOWN 25005 25031 25071 25137 24965 24939 24873 GOLDGUINEA 31-Oct-12 24507.00 UP 24413 24693 24880 25347 24226 23946 23479 GOLDGUINEA 30-Nov-12 24790.00 DOWN 24811 24841 24893 24975 24759 24729 24647 GOLDM 05-Jan-13 31117.00 UP 31112 31177 31238 31364 31051 30986 30860 GOLDM 05-Dec-12 30945.00 UP 30939 31003 31061 31183 30881 30817 30695 GOLDM 05-Nov-12 30724.00 UP 30723 30787 30849 30975 30661 30597 30471 GOLDPETAL 31-Dec-12 3135.00 DOWN 3136 3141 3146 3156 3131 3126 3116 GOLDPETAL 31-Oct-12 3078.00 DOWN 3080 3099 3119 3158 3060 3041 3002 Keynote Capitals Ltd. The Ruby, 9th Floor, Senapati Bapat Marg, Dadar (W), Mumbai, India – 400028 Tel: 30266000 / 22694322 www.keynotecapitals.com
  • 2.
    MCX Commodities Intra-dayTechnical Levels For - 26/10/12 Commodity Contract Close Intra Day Pivot Resistance Support Symbol Expiry 25/10/12 Trend Point R1 R2 R3 S1 S2 S3 GOLDPETAL 30-Nov-12 3114.00 DOWN 3116 3121 3128 3140 3109 3104 3092 GOLDPTLDEL 30-Nov-12 3141.00 DOWN 3145 3169 3196 3247 3118 3094 3043 GOLDPTLDEL 31-Dec-12 3157.00 DOWN 3174 3205 3254 3334 3125 3094 3014 GOLDPTLDEL 31-Oct-12 3161.00 UP 3152 3195 3228 3304 3119 3076 3000 KAPAS 30-Mar-13 970.60 DOWN 971 980 989 1008 961 952 933 KAPAS 30-Apr-13 995.90 UP 996 1005 1014 1033 986 977 958 KAPASKHALI 28-Feb-13 1468.00 UP 1466 1477 1485 1504 1458 1447 1428 KAPASKHALI 31-Jan-13 1449.50 UP 1448 1458 1466 1483 1440 1431 1413 KAPASKHALI 31-Dec-12 1439.50 UP 1439 1447 1455 1471 1431 1423 1407 LEAD 31-Jan-13 109.45 DOWN 110 110 111 112 109 109 108 LEAD 31-Dec-12 109.15 DOWN 109 110 110 112 109 108 107 LEAD 30-Nov-12 108.80 DOWN 109 110 110 111 108 108 107 LEAD 31-Oct-12 108.40 DOWN 109 109 110 111 108 107 106 LEADMINI 31-Jan-13 109.60 DOWN 110 110 111 111 109 109 108 LEADMINI 31-Dec-12 109.20 DOWN 109 110 110 111 109 108 107 LEADMINI 30-Nov-12 108.85 DOWN 109 110 110 112 108 108 107 LEADMINI 31-Oct-12 108.40 DOWN 109 109 110 111 108 107 106 MENTHAOIL 31-Jan-13 1177.90 UP 1177 1186 1194 1211 1169 1160 1142 MENTHAOIL 31-Dec-12 1177.00 UP 1173 1184 1191 1210 1166 1154 1136 MENTHAOIL 30-Nov-12 1165.70 UP 1163 1171 1177 1191 1158 1149 1135 MENTHAOIL 31-Oct-12 1151.40 UP 1148 1158 1165 1181 1142 1132 1115 NATURALGAS 26-Dec-12 212.40 UP 212 215 217 222 210 207 202 NATURALGAS 27-Nov-12 204.50 UP 204 207 210 215 201 198 193 NATURALGAS 26-Oct-12 184.40 UP 184 187 190 196 181 178 172 NICKEL 31-Jan-13 899.50 DOWN 904 911 922 940 893 886 868 NICKEL 31-Dec-12 890.90 DOWN 895 903 914 933 884 877 858 NICKEL 30-Nov-12 879.60 DOWN 885 892 905 925 872 865 845 NICKEL 31-Oct-12 868.70 DOWN 875 882 896 917 861 854 833 NICKELM 31-Jan-13 900.40 DOWN 904 911 922 939 894 887 869 NICKELM 31-Dec-12 890.50 DOWN 895 903 915 935 883 876 856 NICKELM 30-Nov-12 879.80 DOWN 885 892 905 925 872 865 845 NICKELM 31-Oct-12 868.80 DOWN 875 883 896 918 861 853 832 POTATO 15-May-13 730.80 UP 730 735 739 747 726 722 713 POTATO 15-Mar-13 734.40 DOWN 735 738 742 749 731 727 720 POTATO 15-Apr-13 704.50 UP 704 706 707 710 703 702 699 SILVER 04-May-13 62862.00 UP 62831 63057 63252 63673 62636 62410 61989 SILVER 05-Mar-13 61303.00 UP 61233 61527 61750 62267 61010 60716 60199 SILVER 05-Dec-12 59449.00 UP 59407 59662 59876 60345 59193 58938 58469 SILVER1000 31-Oct-12 59026.00 UP 59010 59216 59405 59800 58821 58615 58220 SILVER1000 30-Nov-12 59406.00 DOWN 59419 59587 59769 60119 59237 59069 58719 SILVERM 30-Apr-13 62808.00 DOWN 62815 62999 63191 63567 62623 62439 62063 SILVERM 28-Feb-13 61324.00 UP 61277 61519 61714 62151 61082 60840 60403 SILVERM 30-Nov-12 59469.00 UP 59406 59704 59939 60472 59171 58873 58340 SILVERMIC 30-Apr-13 62861.00 UP 62794 63087 63314 63834 62567 62274 61754 SILVERMIC 28-Feb-13 61310.00 UP 61243 61542 61774 62305 61011 60712 60181 SILVERMIC 30-Nov-12 59474.00 UP 59405 59709 59945 60485 59169 58865 58325 Keynote Capitals Ltd. The Ruby, 9th Floor, Senapati Bapat Marg, Dadar (W), Mumbai, India – 400028 Tel: 30266000 / 22694322 www.keynotecapitals.com
  • 3.
    MCX Commodities Intra-dayTechnical Levels For - 26/10/12 Commodity Contract Close Intra Day Pivot Resistance Support Symbol Expiry 25/10/12 Trend Point R1 R2 R3 S1 S2 S3 STEELRPR 18-Jan-13 31540.00 UP 31493 31697 31853 32213 31337 31133 30773 STEELRPR 20-Dec-12 31320.00 UP 31237 31493 31667 32097 31063 30807 30377 ZINC 31-Jan-13 102.35 DOWN 102 103 103 104 102 101 100 ZINC 31-Dec-12 100.55 DOWN 101 101 102 104 100 99 98 ZINC 30-Nov-12 99.00 DOWN 99 100 101 103 98 98 96 ZINC 31-Oct-12 97.30 DOWN 98 98 100 101 97 96 94 ZINCMINI 31-Jan-13 101.80 DOWN 102 103 103 105 101 101 100 ZINCMINI 31-Dec-12 100.45 DOWN 101 101 103 104 100 99 98 ZINCMINI 30-Nov-12 99.00 DOWN 99 100 101 103 98 98 96 ZINCMINI 31-Oct-12 97.30 DOWN 98 98 100 101 97 96 94 Sanjay Bhatia (AVP – Technical Research), Email Id sanjay@keynotecapitals.net Pivot Point: Intra- Day Trading Tool. - The key to the use of this tool is the use of Stop Loss Intra Day Trend: It is valid only till the point where Price trades above Pivot Point. For Eg. “UP” would be valid till Price remains above Pivot Point. It would become “DOWN” in event Price trades below Pivot Point. Pivot Point (PP): This is a trigger point for Intra Day Buy / Sell based on the price range of the previous day. R1: Resistance 1: 1st Resistance level over Pivot Point, R2: Resistance 2: Next Resistance level after R1. R3: Resistance 3: Next Resistance level after R2. S1: Support 1: 1st Support level after Pivot Point, S2: Support 2: Next Support level after S1. S3: Support 3: Next Support level after S2. Note: As per this tool, the trader should take BUY position just above the Pivot Point and keep the Pivot Point level as stop loss and the first target would be R1 level (Resistance 1). If R1 is crossed then R2 (Resistance 2) becomes the next target with the stop loss placed at R1 level. If R2 is crossed then R3 (Resistance 3) becomes the next target with the stop loss placed at R2 level. Similarly if price goes below the Pivot Point the trader should take a SELL position and keep the Pivot Point level as the stop loss and the first target would be S1 level (Support 1). If S1 level is breached then S2 level (Support 2) becomes the next target with the stop loss placed at S1 level. If S2 level is breached then S3 level (Support 3) becomes the next target with the stop loss placed at S2 level. Disclaimer: This document is not for public distribution and has been furnished to you solely for your information and must not be reproduced or redistributed to any other person. Persons into whose possession this document may come are required to observe these restrictions. This material is for the personal information of the authorized recipient, and we are not soliciting any action based upon it. This report is not to be construed as an offer to sell or the solicitation of an offer to buy any security in any jurisdiction where such an offer or solicitation would be illegal. It is for the general information of clients of Keynote Capitals Ltd. It does not constitute a personal recommendation or take into account the particular investment objectives, financial situations, or needs of individual clients. We have reviewed the report, and in so far as it includes current or historical information, it is believed to be reliable though its accuracy or completeness cannot be guaranteed. Neither Keynote Capitals Ltd., nor any person connected with it, accepts any liability arising from the use of this document. The recipients of this material should rely on their own investigations and take their own professional advice. Price and value of the investments referred to in this material may go up or down. Past performance is not a guide for future performance. Certain transactions -including those involving futures, options and other derivatives as well as non-investment grade securities - involve substantial risk and are not suitable for all investors. Reports based on technical analysis centers on studying charts of a stock’s price movement and trading volume, as opposed to focusing on a company’s fundamentals and as such, may not match with a report on a company’s fundamentals. Opinions expressed are our current opinions as of the date appearing on this material only. While we endeavor to update on a reasonable basis the information discussed in this material, there may be regulatory, compliance, or other reasons that prevent us from doing so. Prospective investors and others are cautioned that any forward-looking statements are not predictions and may be subject to change without notice. Our proprietary trading and investment businesses may make investment decisions that are inconsistent with the recommendations expressed herein. We and our affiliates, officers, directors, and employees world wide may: (a) from time to time, have long or short positions in, and buy or sell the securities thereof, of company (ies) mentioned herein or (b) be engaged in any other transaction involving such securities and earn brokerage or other compensation or act as a market maker in the financial instruments of the company (ies) discussed herein or act as advisor or lender / borrower to such company (ies) or have other potential conflict of interest with respect to any recommendation and related information and opinions. The analyst for this report certifies that all of the views expressed in this report accurately reflect his or her personal views about the subject company or companies and its or their securities, and no part of his or her compensation was, is or will be, directly or indirectly related to specific recommendations or views expressed in this report. No part of this material may be duplicated in any form and/or redistributed without Keynote Capitals Ltd’s., prior written consent. Keynote Capitals Ltd. The Ruby, 9th Floor, Senapati Bapat Marg, Dadar (W), Mumbai, India – 400028 Tel: 30266000 / 22694322 www.keynotecapitals.com