• Introduction
• Electric field & potential difference
• Potential at a charged conductor in a group of
charged conductor
• Capacitance of single phase 2 wire transmission
line
Content
Introduction
• When an A.C, voltages applied on transmission
line the charge on the conductor at any point
increase & decreases with increase & decreases
in the instantaneous value of the voltage.
• This result in flowing of current between
conductor.
• This charging current is also flow when
transmission line is open circuited.
• This charging current causes the voltage drop
along the transmission line .
• The capacitor effect mainly observed above 100 kv
& 150 km length which is treated as long
transmission line.
• Below this voltage level the capacitance effect is
negligible.
Electric field & potential difference
• The electric field E at a given point is defined as the force
F that would be exerted on a stationary test particle of
unit charge by electromagnetic force.
• SI unit are newtons per coulomb ( N/C ).
• Electric potential is defined as the work done
in moving a unit positive charge from infinity
to that point.
• Potential difference is the difference in
electric potential energy between two points
per unit electric charge.
• Potential difference is measured in units of
volts ( joule/coulomb ).
Potential at a charged conductor in a group of charged
conductor
• We consider a group of long straight conductors
A,B,C,D…N having charges QA, QB...QN refer in fig.
• Potential at A due to its own charge (QA)
= ………………. (1)
• Potential at conductor A due to charge (QB)
= ………………. (2)
• Potential at conductor A due to charge (QC)
= ………………. (3)
• Overall potential difference between conductor
and infinite neutral plane is
• VA = (1)+(2)+(3)+...
• VA = + + +...
• VA =
Capacitance of single phase 2 wire transmission line
• Consider a single-phase transmission line.
• It consists of two parallel conductor A & B,
having radius r meters at a distance D meters.
• Let their respective charge be +Q & -Q coulombs
per meter length.
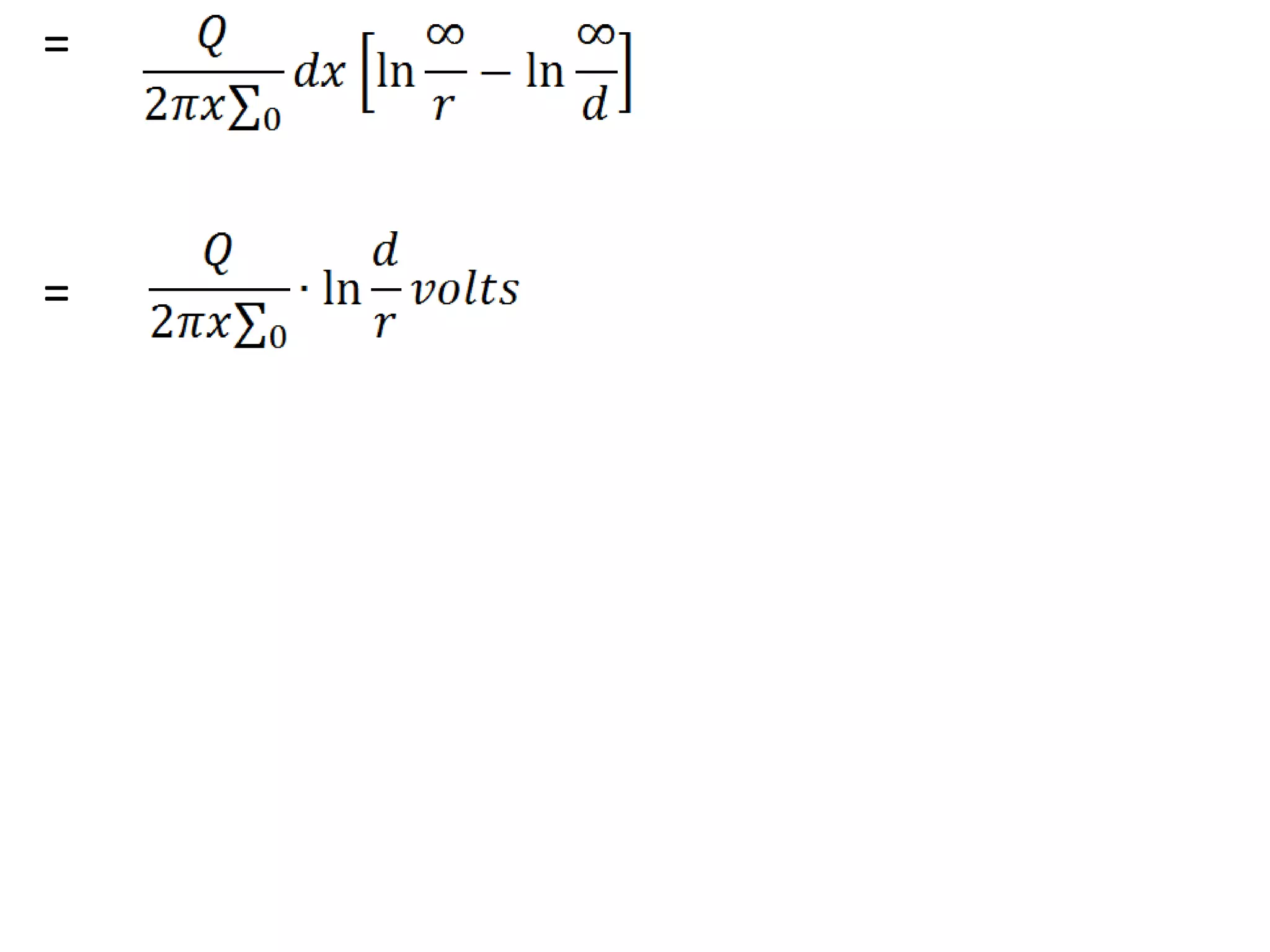
• The total potential difference between
conductor A & neutral infinite plan is
=
=
• potential difference between conductor B & A
• Both these potentials are write the same neutral plane
potential difference between the conductor is
MCQ’s
(i) If the length of the line is decreased, its capacitance is…….
(ii) If capacitance between two conductors of a 3-phase line is 4 µF,
then capacitance of each conductor to neutral is ..................
(iii) ………..condition the capacitance current is also arrives.
Answer
(i) decrease
(ii) 8 µF
(iii) No load condition
Introduction electrical field of a long straight conductor potential difference between two conductor of a group of parallel conductor capacitance of a two wire line

Introduction electrical field of a long straight conductor potential difference between two conductor of a group of parallel conductor capacitance of a two wire line

  • 2.
    • Introduction • Electricfield & potential difference • Potential at a charged conductor in a group of charged conductor • Capacitance of single phase 2 wire transmission line Content
  • 3.
  • 4.
    • When anA.C, voltages applied on transmission line the charge on the conductor at any point increase & decreases with increase & decreases in the instantaneous value of the voltage. • This result in flowing of current between conductor. • This charging current is also flow when transmission line is open circuited.
  • 5.
    • This chargingcurrent causes the voltage drop along the transmission line . • The capacitor effect mainly observed above 100 kv & 150 km length which is treated as long transmission line. • Below this voltage level the capacitance effect is negligible.
  • 6.
    Electric field &potential difference • The electric field E at a given point is defined as the force F that would be exerted on a stationary test particle of unit charge by electromagnetic force. • SI unit are newtons per coulomb ( N/C ).
  • 7.
    • Electric potentialis defined as the work done in moving a unit positive charge from infinity to that point. • Potential difference is the difference in electric potential energy between two points per unit electric charge. • Potential difference is measured in units of volts ( joule/coulomb ).
  • 8.
    Potential at acharged conductor in a group of charged conductor
  • 9.
    • We considera group of long straight conductors A,B,C,D…N having charges QA, QB...QN refer in fig. • Potential at A due to its own charge (QA) = ………………. (1)
  • 10.
    • Potential atconductor A due to charge (QB) = ………………. (2) • Potential at conductor A due to charge (QC) = ………………. (3)
  • 11.
    • Overall potentialdifference between conductor and infinite neutral plane is • VA = (1)+(2)+(3)+... • VA = + + +... • VA =
  • 12.
    Capacitance of singlephase 2 wire transmission line
  • 13.
    • Consider asingle-phase transmission line. • It consists of two parallel conductor A & B, having radius r meters at a distance D meters. • Let their respective charge be +Q & -Q coulombs per meter length. • The total potential difference between conductor A & neutral infinite plan is
  • 14.
  • 15.
    • potential differencebetween conductor B & A
  • 16.
    • Both thesepotentials are write the same neutral plane potential difference between the conductor is
  • 17.
    MCQ’s (i) If thelength of the line is decreased, its capacitance is……. (ii) If capacitance between two conductors of a 3-phase line is 4 µF, then capacitance of each conductor to neutral is .................. (iii) ………..condition the capacitance current is also arrives.
  • 18.
    Answer (i) decrease (ii) 8µF (iii) No load condition