Nitric Acid Manufacturing

     Class Lecture By
    Engr. Ghulam Abbas
Nitric Acid
• Transparent
• Yellowish colour(due to NO2 emission)
• Hygroscopic
• Corrosive and attack all metals
• 78 C boiling point and -42C its freezing
  point
• 100 % HNO3 only stable at below 0C
Manufacturing methods
• From Chile Saltpeter
• NaNO3 and H2SO4 react to produce
  NaHSO4 and HNO3

• Electric Oxidation of Air (N2 & O2)
• N2 & O2 react (in the presence of
  electricity) to form NO and more O2
  produces NO2 and this is then mixed with
  H2O to produce HNO3
By Catalytic Oxidation of NH3
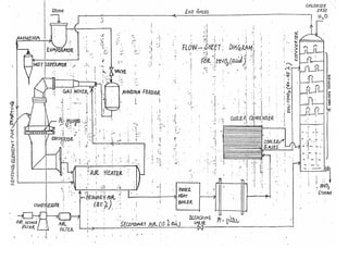
• HNO3 is produced by High pressure
  method (Dupont Plant or American Plant)
Raw Materials
• Liq NH3
• Air
• H2O
Conti..
• NH3 is produced by reaction
• N2+3H2 to 2NH3 at 500C and 200 Atm
  and Iron oxide act as catalyst.
• N2 is obtained by fixation and H2 through
  processing of Natural gas
• Air consists of 79%N and 21% O2
• H2O for absorption of Nitrogen per oxide
  and for raising steam
Catlayst
• Platinum, Rhodium alloy composed of
  90% Pt and 10%Rh
• Rhodium promotes catalytic actvity of Pt
  and called as promoter.
• Rh also act as erosion resister
• Catalyst is in the form of 80 mesh gauze
Types of Plant
• Two types
• Single pressure Plant (American / Dupont
  plants)
• Dual pressure plants also called European
  Plants.
• Earlier,oxidation-absorption,reoxidation-
  reabsorption process was operated at
  Atmopheric pressure but it was expesive
  as equipment was large. And HNO3 conc
  55-55%
Conti..
• Single pressure plants have lower capital
  cost and produced more steam
• Dual pressure unit has lower catalyst cost
  and a slight higher yield.

• But overall costs are almost competitive
HNO3 Concentration
• 61-65% HNO3 by this method
• Distillation can be used for higher conc
  upto 68.8% but not more than this as
  azeorope is formed
• Distillation in the presence of
  H2SO4(dehydrating agent) to give 70-75
  % HNO3.

Hno3 lecture

  • 1.
    Nitric Acid Manufacturing Class Lecture By Engr. Ghulam Abbas
  • 2.
    Nitric Acid • Transparent •Yellowish colour(due to NO2 emission) • Hygroscopic • Corrosive and attack all metals • 78 C boiling point and -42C its freezing point • 100 % HNO3 only stable at below 0C
  • 3.
    Manufacturing methods • FromChile Saltpeter • NaNO3 and H2SO4 react to produce NaHSO4 and HNO3 • Electric Oxidation of Air (N2 & O2) • N2 & O2 react (in the presence of electricity) to form NO and more O2 produces NO2 and this is then mixed with H2O to produce HNO3
  • 4.
    By Catalytic Oxidationof NH3 • HNO3 is produced by High pressure method (Dupont Plant or American Plant) Raw Materials • Liq NH3 • Air • H2O
  • 5.
    Conti.. • NH3 isproduced by reaction • N2+3H2 to 2NH3 at 500C and 200 Atm and Iron oxide act as catalyst. • N2 is obtained by fixation and H2 through processing of Natural gas • Air consists of 79%N and 21% O2 • H2O for absorption of Nitrogen per oxide and for raising steam
  • 6.
    Catlayst • Platinum, Rhodiumalloy composed of 90% Pt and 10%Rh • Rhodium promotes catalytic actvity of Pt and called as promoter. • Rh also act as erosion resister • Catalyst is in the form of 80 mesh gauze
  • 7.
    Types of Plant •Two types • Single pressure Plant (American / Dupont plants) • Dual pressure plants also called European Plants. • Earlier,oxidation-absorption,reoxidation- reabsorption process was operated at Atmopheric pressure but it was expesive as equipment was large. And HNO3 conc 55-55%
  • 8.
    Conti.. • Single pressureplants have lower capital cost and produced more steam • Dual pressure unit has lower catalyst cost and a slight higher yield. • But overall costs are almost competitive
  • 11.
    HNO3 Concentration • 61-65%HNO3 by this method • Distillation can be used for higher conc upto 68.8% but not more than this as azeorope is formed • Distillation in the presence of H2SO4(dehydrating agent) to give 70-75 % HNO3.