Dr Ajay N Phirke
• Communication systems with light as the carrier
and optical fiber as communication medium
• Optical fiber is used to contain and guide light
waves
– Typically made of glass or plastic
– Propagation of light in atmosphere is
impractical
• This is similar to cable guiding electromagnetic
waves
• Capacity comparison
– Microwave at 10 GHz
– Light at 100 Tera Hz (1014 )
Dr Ajay N Phirke
• 1880 Alexander G. Bell
– Photo phone, transmit sound waves over beam
of light
• 1930: TV image through uncoated fiber cables
– Few years later image through a single glass fiber
• 1951: Flexible fiberscope: Medical applications
• 1956: The term “fiber optics” used for the first
time
• 1958: Paper on Laser & Maser
History
Dr Ajay N Phirke
• 1960: Laser invented
• 1967: New Communications medium: cladded
fiber
• 1960s: Extremely lossy fiber:
– More than 1000 dB /km
• 1970: Corning Glass Work NY, Fiber with loss of
less than 2 dB/km
• 70s & 80s : High quality sources and detectors
• Late 80s : Loss as low as 0.16 dB/km
• 1990: Deployment of SONET
(Synchronous Optical Network, a standard for
connectingfiber-optic transmission systems )
Dr Ajay N Phirke
• Long distance signal transmission (over
100 km)
• Large bandwidth, light weight and small
diameter
• Long length (2,4, 12 km)
• Easy installation and upgrades
• No conductivity
• Security
• Designed for future applications needs
Dr Ajay N Phirke
• Capacity: much wider bandwidth (10 GHz)
• Crosstalk immunity
• Immunity to static interference
– Lightening
– Electric motor
– Florescent light
• Higher environment immunity
– Weather, temperature, etc.
Dr Ajay N Phirke
Disadvantages
• Higher initial cost in installation
• Interfacing cost
• Strength
– Lower tensile strength
• Remote electric power
• More expensive to repair/maintain
– Tools: Specialized and sophisticated
Dr Ajay N Phirke
• Light frequency is
divided into three
general bands
• Remember:
– When dealing with light
we use wavelength:
• l=c/f
• c=300E6 m/sec
Light Spectrum
Dr Ajay N Phirke
For long links, repeaters are needed to compensate for signal lossDr Ajay N Phirke
• Light source:
– Amount of light emitted is
proportional to the drive
current
– Two common types:
• LED (Light Emitting
Diode)
• ILD (Injection Laser
Diode)
• Source–to-fiber-coupler
(similar to a lens):
– A mechanical interface to
couple the light emitted by
the source into the optical
fiber
 Light detector:
 PIN (p-type-intrinsic-n-type)
 APD (avalanche photo diode)
 Both convert light energy into
current
Dr Ajay N Phirke
Plastic jacketGlass or plastic
claddingFiber core
Dr Ajay N Phirke
Dr Ajay N Phirke
• Core
– Glass or plastic with a higher index
of refraction than the cladding
– Carries the signal
• Cladding
– Glass or plastic with a lower index
of refraction than the core
• Buffer
– Protects the fiber from damage
and moisture
• Jacket
– Holds one or more fibers in a cable
Dr Ajay N Phirke
• Plastic core and cladding
• Glass core with plastic cladding PCS
(Plastic-Clad Silicon)
• Glass core and glass cladding SCS:
Silica-clad silica
• Under research: non silicate: Zinc-
chloride
– 1000 time as efficient as glass
Dr Ajay N Phirke
Plastic Fiber
• Used for short distances
• Higher attenuation, but easy to install
• Better withstand stress
• Less expensive
• 60% less weight
Dr Ajay N Phirke
Glass fibers :
The glass fibers are generally fabricated by
fusing mixtures of metal oxides and silica
glasses.
Silica has a refractive index of 1.458 at 850
nm. To produce two similar materials having
slightly different indices of refraction for the
core and cladding, either fluorine or various
oxides such as B2O3, GeO2 or P2O3 are added
to silica.
Examples:
SiO2 core; P2O3 – SiO2 cladding
GeO2 – SiO2 core; SiO2 cladding
P2O5 – SiO2 core; SiO2 claddingDr Ajay N Phirke
Plastic fibers :
 The plastic fibers are typically made of plastics and are
of low cost.
 Although they exhibit considerably greater signal
attenuation than glass fibers, the plastic fibers can be
handled without special care due to its toughness and
durability.
 Due to its high refractive index differences between the
core and cladding materials, plastic fibers yield high
numerical aperture and large angle of acceptance.
 A polymethyl methacrylate core (n1 = 1.59) and a cladding made of its co-
polymer
(n2 = 1.40).
 A polysterene core (n1 = 1.60) and a methylmetha crylate cladding (n1 =
1.49).
Dr Ajay N Phirke
• When the Light Ray pass from a higher index material to a
lower index material, light refraction occurs.
• When light incidents at interface between the core and
the cladding has differents angles some power are
refracting back and some power enter into the cladding
 As the angle is increases larger than
the target no more light enter into the
Cladding layer and all the light reflect
back into the core. This is called “Total
Internal Reflection”.
Core
Cladding
Dr Ajay N Phirke
Refraction & Total Internal Reflection
Dr Ajay N Phirke
n decreases step by step from one layer
to next upper layer; very thin layers.
Continuous decrease in n gives a ray
path changing continuously.
TIR TIR
(a) A ray in thinly stratifed medium becomes refracted as it passes from one
layer to the next upper layer with lower n and eventually its angle satisfies TIR.
(b) In a medium where n decreases continuously the path of the ray bends
continuously.
(a) (b)
© 1999 S.O. Kasap, Optoelectronics (Prentice Hall)
Total Internal Reflection
Dr Ajay N Phirke
Refraction
 Refraction is the change in
direction of a wave due to a change
in its speed
 Refraction of light is the most
commonly seen example
 Any type of wave can refract
when it interacts with a
medium
 Refraction is described by
Snell's law, which states that
the angle of incidence is related
to the angle of refraction by :
 The index of refraction is
defined as the speed of light in
vacuum divided by the speed of
light in the medium: n=c/v
Dr Ajay N Phirke
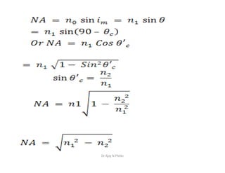
Numerical Aperture
• The numerical aperture of the fiber is
closely related to the critical angle and
is often used in the specification for
optical fiber and the components that
work with it
• The numerical aperture is given by the
formula:
•
The Numerical Aperture (NA) is a measure of how much light can be collected by an
optical system such as an optical fibre or a microscope lens.
The NA is related to the acceptance angle a, which indicates the size of a cone of light
that can be accepted by the fibre.
NA = naSin a = (n1
2 – n2
2)1/2
Where n1 = refractive index of core
n2 = refractive index of cladding
na = refractive index of air (1.00)
Dr Ajay N Phirke
cladding
n1
n2
core
n2
cladding
air
a
n2
n1
core
The acceptance angle (i) is the largest incident angle ray that can be
coupled into a guided ray within the fiber
The Numerical Aperture (NA) is the sin(i) this is defined analogously to
that for a lens
Dr Ajay N Phirke
Consider an optical fibre having a core of refractive index n1 and cladding of refractive
index n2.
let the incident light makes an angle i with the core axis as shown in figure .
Then the light gets refracted at an angle θ and fall on the core-cladding interface at an
angle where,
By Snell’s law at the point of entrance of light in to the optical fiber we get,
Dr Ajay N Phirke
When light travels from core to cladding it moves from denser to rarer medium
and so it may be totally reflected back to the core medium if  ‘ exceeds the
critical angle 'c. The critical angle is that angle of incidence in denser medium
(n1) for which angle of refraction become 90°. Using Snell’s laws at core cladding
interface,
or
Therefore, for light to be propagated within the core of optical fiber as guided
wave, the angle of incidence at core-cladding interface should be greater than 'c.
As i increases,  increases and so ' decreases. Therefore, there is maximum value
of angle of incidence beyond which, it does not propagate rather it is refracted in
to cladding medium . This maximum value of i say im is called maximum angle of
acceptance and n0 sin im is termed as the numerical aperture (NA).Dr Ajay N Phirke
Dr Ajay N Phirke
Fiber Types
• Modes of operation (the path
which the light is traveling on)
• Index profile
–Step
–Graded
Dr Ajay N Phirke
Types Of Optical Fiber
Single-mode step-index Fiber
Multimode step-index Fiber
Multimode graded-index Fiber
n1 core
n2 cladding
no air
n2 cladding
n1 core
Variable
n
no air
Light
ray
Index profile
Dr Ajay N Phirke
Remember: A micron (short for micrometer) is one-millionth of a meter
Dr Ajay N Phirke
Single mode Fiber
• Single mode fiber has a core diameter of 8 to
9 microns, which only allows one light path or
mode
– Images from arcelect.com (Link Ch 2a)
Index of
refraction
Best for high speeds and long distances
Used by telephone companies and CATVDr Ajay N Phirke
Single mode fibers:
In a fiber, if only one mode is transmitted through it, then it is said
to be a single mode fiber.
A typical single mode fiber may have a core radius of 3 μm and a
numerical aperture of 0.1 at a wavelength of 0.8 μm.
The condition for the single mode operation is given by the V
number of the fiber which is defined as such that V ≤
2.405.
Here, n1 = refractive index of the core; a = radius of the core; λ =
wavelength of the light propagating through the fiber; Δ = relative
refractive indices difference.
 

2π2 1an
V 
Dr Ajay N Phirke
The single mode fiber has the following characteristics:
 Only one path is available.
 V-number is less than 2.405
 Core diameter is small
 No dispersion
 Higher band width (1000 MHz)
 Used for long haul communication
 Fabrication is difficult and costly
Dr Ajay N Phirke
SINGLE MODE FIBER MULTI MODE FIBER
Dr Ajay N Phirke
 Multi mode fibers :
 If more than one mode is transmitted through optical
fiber, then it is said to be a multimode fiber.
 The larger core radii of multimode fibers make it easier to
launch optical power into the fiber and facilitate the end to
end connection of similar powers.
 Some of the basic properties of multimode optical fibers are
listed below :
 More than one path is available
 V-number is greater than 2.405
Dr Ajay N Phirke
Countd.
• Core diameter is higher
• Higher dispersion
• Lower bandwidth (50MHz)
• Used for short distance communication
• Fabrication is less difficult and not costly
Optical fibers based on refractive index profile :
Based on the refractive index profile of the core and cladding,
the optical fibers are classified into two types:
Step index fiber
Graded index fiber.
Dr Ajay N Phirke
Basic Step index Fiber Structure
Dr Ajay N Phirke
Step index fiber :
 In a step index fiber, the refractive index changes in a
step fashion, from the centre of the fiber, the core, to
the outer shell, the cladding.
 It is high in the core and lower in the cladding. The light
in the fiber propagates by bouncing back and forth
from core-cladding interface.
 The step index fibers propagate both single and
multimode signals within the fiber core.
 The light rays propagating through it are in the form of
meridinal rays which will cross the fiber core axis
during every reflection at the core – cladding boundary
and are propagating in a zig – zag manner.
Dr Ajay N Phirke
Step index single mode fibers :
 The light energy in a single-mode fiber is
concentrated in one mode only.
 This is accomplished by reducing  and or the core
diameter to a point where the V is less than 2.4.
 In other words, the fiber is designed to have a V number
between 0 and 2.4.
 This relatively small value means that the fiber radius
and , the relative refractive index difference, must be
small.
 No intermodal dispersion exists in single mode fibers
because only one mode exists.
Dr Ajay N Phirke
Contd.
• With careful choice of material, dimensions and l,
the total dispersion can be made extremely small,
less than 0.1 ps /(km  nm), making this fiber
suitable for use with high data rates.
• In a single-mode fiber, a part of the light propagates
in the cladding.
• The cladding is thick and has low loss.
• Typically, for a core diameter of 10 m, the cladding
diameter is about 120 m.
• Handling and manufacturing of single mode step
index fiber is more difficult.
Dr Ajay N Phirke
Step Index single mode (10 / 70)
Characteristics
• Very small core diameter
• Low numerical aperture
• Low attenuation
• Very High Bandwidth
• Very high capacity
• Very expensive
• Need laser as a source
Appl: Sea cable
Dr Ajay N Phirke
Step index multimode fibers :
 A multimode step index fiber is shown.
 In such fibers light propagates in many modes.
 The total number of modes MN increases with increase
in the numerical aperture.
 For a larger number of modes, MN can be approximated
by
2
1
2
2
9.4
2 









dnV
M N
Dr Ajay N Phirke
Contd.
where d = diameter of the core of the fiber and V = V –
number or normalized frequency.
The normalized frequency V is a relation among the
fiber size, the refractive indices and the wavelength.
V is the normalized frequency or simply the V
number and is given by
where a is the fiber core radius,  is the operating
wavelength, n1 the core refractive index and  the
relative refractive index difference.
2
1
1 )2(
2
N.A
2

















 n
aa
V
Dr Ajay N Phirke
Contd.
To reduce the dispersion, the N.A should not be decreased
beyond a limit for the following reasons:
First, injecting light into fiber with low N.A becomes
difficult. Lower N.A means lower acceptance angle,
which requires the entering light to have a very shallow
angle.
Second, leakage of energy is more likely, and hence
losses increase.
The core diameter of the typical multimode fiber
varies between 50 m and about 200 m, with cladding
thickness typically equal to the core radius.
Dr Ajay N Phirke
Step index multimode (50-200 / 100-250)
Characteristics
• High core diameter
• Large core size, so source power can be efficiently
coupled to the fiber
• High numerical aperture
• High attenuation (4-6 dB / km)
• Low bandwidth (50 MHz-km)
• Less expensive
• LED light source
Used in short, low-speed datalinks
Also useful in high-radiation environments, because it
can be made with pure silica core
Dr Ajay N Phirke
Multimode Step-Index Fiber
• Multimode fiber has a core diameter of 50 or
62.5 microns (sometimes even larger)
– Allows several light paths or modes
– This causes modal dispersion – some modes take longer to
pass through the fiber than others because they travel a
longer distance
– See animation at link Ch 2f Index of
refraction
Dr Ajay N Phirke
Graded index fibers :
 In graded index fiber the refractive index n in the
core varies as we move away from the centre.
 The refractive index of the core is made to vary in
the form of parabolic manner such that the
maximum refractive index is present at the centre of
the core.
Dr Ajay N Phirke
Contd.
 Each dashed circle represents a different refractive
index, decreasing as we move away from the fiber
center.
 A ray incident on these boundaries between na – nb,
nb – nc etc., is refracted.
 Eventually at n2 the ray is turned around and totally
reflected.
Dr Ajay N Phirke
Contd.
• The light rays will be propagated in the form skew
rays (or) helical rays which will not cross the fiber axis
at any time and are propagating around the fiber axis
in a helical or spiral manner.
• The effective acceptance angle of the graded-index
fiber is somewhat less than that of an equivalent
step-index fiber. This makes coupling fiber to the
light source more difficult.
Dr Ajay N Phirke
The number of modes in a graded-index fiber is about
half that in a similar step-index fiber,
The lower the number of modes in the graded-index
fiber results in lower dispersion than is found in the
step-index fiber. For the graded-index fiber the
dispersion is approximately (Here L = Length of the
fiber; c = velocity of light).
(Here L = Length of the fiber; c = velocity of light).
Dr Ajay N Phirke
Countd.
• The size of the graded-index fiber is about the same
as the step-index fiber. The manufacture of graded-
index fiber is more complex. It is more difficult to
control the refractive index well enough to produce
accurately the variations needed for the desired
index profile.
Dr Ajay N Phirke
Graded index multimode (50-200 /100-250)
Characteristics
• High core diameter
62.5/125 micron has been most widely used
Works well with LEDs, but cannot be used for Gigabit
Ethernet
50/125 micron fiber and VSELS are used for faster networks
• Small numerical aperture
• Low attenuation
• Intermediate bandwidth
• Most expensive
• Laser / LED
• Useful for “premises networks” like LANs, security
systems, etc
Dr Ajay N Phirke
Sources and Wavelengths
• Multimode fiber is used with
– LED sources at wavelengths of 850 and 1300 nm
for slower local area networks
– Lasers at 850 and 1310 nm for networks running
at gigabits per second or more
Dr Ajay N Phirke
Multimode Graded-Index Fiber
• The index of refraction gradually changes
across the core
– Modes that travel further also move faster
– This reduces modal dispersion so the bandwidth is greatly
increased
Index of
refraction
Dr Ajay N Phirke
Single mode vs. Multimode Fibers
Single-Mode Multimode
• Small core
• Less dispersion
• Carry a single ray of light, usually
generated from a laser.
• Employ for long distance
applications (100Km)
• Uses as Backbone and distances of
several thousands meters.
• Larger core than single mode cable.
• Allows greater dispersion and
therefore, loss of signal.
• Used for shorter distance
application, but shorter than single-
mode (up to 2Km)
• It uses LED source that generates
differtes angles along cable.
• Often uses in LANs or small
distances such as campus networks.Dr Ajay N Phirke
Single-mode step-index Fiber
Advantages:
• Minimum dispersion: all rays take same path, same time to travel down
the cable. A pulse can be reproduced at the receiver very accurately.
• Less attenuation, can run over longer distance without repeaters.
• Larger bandwidth and higher information rate
Disadvantages:
• Difficult to couple light in and out of the tiny core
• Highly directive light source (laser) is required
• Interfacing modules are more expensive
Dr Ajay N Phirke
Multi Mode
• Multimode step-index Fibers:
– inexpensive
– easy to couple light into Fiber
– result in higher signal distortion
– lower TX rate
• Multimode graded-index Fiber:
– intermediate between the other two types of
Fibers
Dr Ajay N Phirke
• In Step-index fibers index of refraction changes radically
between the core and the cladding
• Graded-index fiber is a compromise multimode fiber, but
the index of refraction gradually decreases away from the
center of the core
• Graded-index fiber has less dispersion than a multimode
step-index fiber
Dr Ajay N Phirke
Dr Ajay N Phirke
Step-index and Graded-index
• Step index multimode was developed first, but
rare today because it has a low bandwidth (50
MHz-km)
• It has been replaced by graded-index
multimode with a bandwidth up to 2 GHz-km
Dr Ajay N Phirke
Dr Ajay N Phirke
Fiber modes --- single mode and multi-mode fibers
V-number
,2
2
2
1
2
2
2
nn
nn
b eff


 ,)/996.01428.1( 2
Vb 
,)(
2 2/12
2
2
1 nn
a
V 


,41.2)(
2 2/12
2
2
1  nn
a
V
c
cutoff


Number of modes when V>>2.41
,
2
2
V
M 
Normalized propagation constant
for V between 1.5 – 2.5.
Mode field diameter (MFD)
),
1
1(22
V
aw 
An index value V, defined as the normalized frequency is used to
determines how many different guided modes a fiber can support.
Dr Ajay N Phirke
Waveguide calculation of Fiber
Mode
• Here is fiber mode calculation based on Waveguide Calculation
by Fiber Optics for Sale Company (USA)
• V number determines the numbers of guided modes.
• When V number is smaller than
2.405 only one mode can be
guided by the fiber, this is called
single mode fiber.
• When V Numer is larger than
2.405 severals modes can be
guided by the fiber.
• As higer V number as larger
number of modes, this is called
Multimode Fiber
Dr Ajay N Phirke
Plastic Optical Fiber
• Large core (1 mm) step-index multimode
fiber
• Easy to cut and work with, but high
attenuation (1 dB / meter) makes it useless
for long distances
Dr Ajay N Phirke
Fiber Optic Specifications
• Attenuation
– Loss of signal, measured in dB
• Dispersion
– Blurring of a signal, affects bandwidth
• Bandwidth
– The number of bits per second that can be sent
through a data link
• Numerical Aperture
– Measures the largest angle of light that can be
accepted into the core
Dr Ajay N Phirke
Dispersion
 Chromatic Dispersion
 Speed of light is a function of wavelength
 This phenomena also results in pulse widening
 Single mode fibers have very little chromatic
dispersion
 Material Dispersion
 Index of refraction is a function of wavelength
 As the wavelength changes material dispersion varies
 It is designed to have zero-material dispersion
1
2
3
Dr Ajay N Phirke
Absorption Losses In Optic Fiber
Loss(dB/km)
1
0
0.7 0.8
Wavelength (m)
0.9 1.0 1.1 1.2 1.3 1.4 1.5 1.6 1.7
2
3
4
5
6
Peaks caused
by OH- ions
Infrared
absorption
Rayleigh scattering
& ultraviolet
absorption
Single-mode Fiber Wavelength Division Multiplexer
(980/1550nm, 1310/1550nm, 1480/1550nm, 1550, 1625nm)
Windows of operation:
825-875 nm
1270-1380 nm
1475-1525 nm
Dr Ajay N Phirke
Fiber Alignment Impairments
Axial displacement Gap displacement
Angular displacement Imperfect surface finish
Causes of power loss as the light travels through the fiber!
Dr Ajay N Phirke
Areas of Application
• Telecommunications
• Local Area Networks
• Cable TV
• CCTV
• Optical Fiber Sensors
Dr Ajay N Phirke
Fiber to the Home
http://www.noveraoptics.com/technology/fibertohome.php
Dr Ajay N Phirke
Fiber to the Home
• Applications:
– HDTV (20 MB/s ) – on average three channels per
family!
– telephony, internet surfing, and real-time gaming
the access network (40 Mb/s)
– Total dedicated bandwidth: 100 Mb/s
 Components (single-mode fiber optic distribution
network)
– optical line terminal (OLT)
– central office (CO)
– passive remote node (RN),
– optical network terminals (ONT) at the home
locations
Dr Ajay N Phirke
Dr Ajay N Phirke
Dispersion
• Dispersion in fiber optics results from the fact that in
multimode propagation, the signal travels faster in some
modes than it would in others
• Single-mode fibers are relatively free from dispersion
except for intramodal dispersion
• Graded-index fibers reduce dispersion by taking advantage
of higher-order modes
• One form of intramodal dispersion is called material
dispersion because it depends upon the material of the
core
• Another form of dispersion is called waveguide dispersion
• Dispersion increases with the bandwidth of the light sourceDr Ajay N Phirke
Examples of Dispersion
Dr Ajay N Phirke
Losses
• Losses in optical fiber result from attenuation in the
material itself and from scattering, which causes some
light to strike the cladding at less than the critical angle
• Bending the optical fiber too sharply can also cause
losses by causing some of the light to meet the cladding
at less than the critical angle
• Losses vary greatly depending upon the type of fiber
– Plastic fiber may have losses of several hundred dB
per kilometer
– Graded-index multimode glass fiber has a loss of
about 2–4 dB
per kilometer
– Single-mode fiber has a loss of 0.4 dB/km or lessDr Ajay N Phirke
Dr Ajay N Phirke
Dr Ajay N Phirke
Attenuation
• Modern fiber material is very pure, but there is still some
attenuation
• The wavelengths used are chosen to avoid absorption bands
– 850 nm, 1300 nm, and 1550 nm
– Plastic fiber uses 660 nm LEDs
• Image from iec.org (Link Ch 2n)
Dr Ajay N Phirke
• Fiber has these advantages compared with
metal wires
– Bandwidth – more data per second
– Longer distance
– Faster
– Special applications like medical imaging and
quantum key distribution are only possible with
fiber because they use light directly
Dr Ajay N Phirke
Dr Ajay N Phirke
Solved Problem (1) : Calculate the V – number and number of
modes propagating through the fiber having a = 50 μm, n1 = 1.
53, n2 = 1.50 and λ = 1μm.
n1 = 1.53 ; n2 = 1.50; λ = 1μm.
 
1
2 a 2 a 2 2 2V - Number N.A (n n )1 2
1
2 3.142 50 2 2 21.53 1.50
1
94.72
 
    
 
 
 

   
   
   
4486
2
72.94
2
22

V
M N
V – number = 94.72 ; No. of modes = 4486
Dr Ajay N Phirke
Dr Ajay N Phirke

Fibre optics

  • 1.
    Dr Ajay NPhirke
  • 2.
    • Communication systemswith light as the carrier and optical fiber as communication medium • Optical fiber is used to contain and guide light waves – Typically made of glass or plastic – Propagation of light in atmosphere is impractical • This is similar to cable guiding electromagnetic waves • Capacity comparison – Microwave at 10 GHz – Light at 100 Tera Hz (1014 ) Dr Ajay N Phirke
  • 3.
    • 1880 AlexanderG. Bell – Photo phone, transmit sound waves over beam of light • 1930: TV image through uncoated fiber cables – Few years later image through a single glass fiber • 1951: Flexible fiberscope: Medical applications • 1956: The term “fiber optics” used for the first time • 1958: Paper on Laser & Maser History Dr Ajay N Phirke
  • 4.
    • 1960: Laserinvented • 1967: New Communications medium: cladded fiber • 1960s: Extremely lossy fiber: – More than 1000 dB /km • 1970: Corning Glass Work NY, Fiber with loss of less than 2 dB/km • 70s & 80s : High quality sources and detectors • Late 80s : Loss as low as 0.16 dB/km • 1990: Deployment of SONET (Synchronous Optical Network, a standard for connectingfiber-optic transmission systems ) Dr Ajay N Phirke
  • 5.
    • Long distancesignal transmission (over 100 km) • Large bandwidth, light weight and small diameter • Long length (2,4, 12 km) • Easy installation and upgrades • No conductivity • Security • Designed for future applications needs Dr Ajay N Phirke
  • 6.
    • Capacity: muchwider bandwidth (10 GHz) • Crosstalk immunity • Immunity to static interference – Lightening – Electric motor – Florescent light • Higher environment immunity – Weather, temperature, etc. Dr Ajay N Phirke
  • 7.
    Disadvantages • Higher initialcost in installation • Interfacing cost • Strength – Lower tensile strength • Remote electric power • More expensive to repair/maintain – Tools: Specialized and sophisticated Dr Ajay N Phirke
  • 8.
    • Light frequencyis divided into three general bands • Remember: – When dealing with light we use wavelength: • l=c/f • c=300E6 m/sec Light Spectrum Dr Ajay N Phirke
  • 9.
    For long links,repeaters are needed to compensate for signal lossDr Ajay N Phirke
  • 10.
    • Light source: –Amount of light emitted is proportional to the drive current – Two common types: • LED (Light Emitting Diode) • ILD (Injection Laser Diode) • Source–to-fiber-coupler (similar to a lens): – A mechanical interface to couple the light emitted by the source into the optical fiber  Light detector:  PIN (p-type-intrinsic-n-type)  APD (avalanche photo diode)  Both convert light energy into current Dr Ajay N Phirke
  • 11.
    Plastic jacketGlass orplastic claddingFiber core Dr Ajay N Phirke
  • 12.
    Dr Ajay NPhirke
  • 13.
    • Core – Glassor plastic with a higher index of refraction than the cladding – Carries the signal • Cladding – Glass or plastic with a lower index of refraction than the core • Buffer – Protects the fiber from damage and moisture • Jacket – Holds one or more fibers in a cable Dr Ajay N Phirke
  • 14.
    • Plastic coreand cladding • Glass core with plastic cladding PCS (Plastic-Clad Silicon) • Glass core and glass cladding SCS: Silica-clad silica • Under research: non silicate: Zinc- chloride – 1000 time as efficient as glass Dr Ajay N Phirke
  • 15.
    Plastic Fiber • Usedfor short distances • Higher attenuation, but easy to install • Better withstand stress • Less expensive • 60% less weight Dr Ajay N Phirke
  • 16.
    Glass fibers : Theglass fibers are generally fabricated by fusing mixtures of metal oxides and silica glasses. Silica has a refractive index of 1.458 at 850 nm. To produce two similar materials having slightly different indices of refraction for the core and cladding, either fluorine or various oxides such as B2O3, GeO2 or P2O3 are added to silica. Examples: SiO2 core; P2O3 – SiO2 cladding GeO2 – SiO2 core; SiO2 cladding P2O5 – SiO2 core; SiO2 claddingDr Ajay N Phirke
  • 17.
    Plastic fibers : The plastic fibers are typically made of plastics and are of low cost.  Although they exhibit considerably greater signal attenuation than glass fibers, the plastic fibers can be handled without special care due to its toughness and durability.  Due to its high refractive index differences between the core and cladding materials, plastic fibers yield high numerical aperture and large angle of acceptance.  A polymethyl methacrylate core (n1 = 1.59) and a cladding made of its co- polymer (n2 = 1.40).  A polysterene core (n1 = 1.60) and a methylmetha crylate cladding (n1 = 1.49). Dr Ajay N Phirke
  • 18.
    • When theLight Ray pass from a higher index material to a lower index material, light refraction occurs. • When light incidents at interface between the core and the cladding has differents angles some power are refracting back and some power enter into the cladding  As the angle is increases larger than the target no more light enter into the Cladding layer and all the light reflect back into the core. This is called “Total Internal Reflection”. Core Cladding Dr Ajay N Phirke
  • 19.
    Refraction & TotalInternal Reflection Dr Ajay N Phirke
  • 20.
    n decreases stepby step from one layer to next upper layer; very thin layers. Continuous decrease in n gives a ray path changing continuously. TIR TIR (a) A ray in thinly stratifed medium becomes refracted as it passes from one layer to the next upper layer with lower n and eventually its angle satisfies TIR. (b) In a medium where n decreases continuously the path of the ray bends continuously. (a) (b) © 1999 S.O. Kasap, Optoelectronics (Prentice Hall) Total Internal Reflection Dr Ajay N Phirke
  • 21.
    Refraction  Refraction isthe change in direction of a wave due to a change in its speed  Refraction of light is the most commonly seen example  Any type of wave can refract when it interacts with a medium  Refraction is described by Snell's law, which states that the angle of incidence is related to the angle of refraction by :  The index of refraction is defined as the speed of light in vacuum divided by the speed of light in the medium: n=c/v Dr Ajay N Phirke
  • 22.
    Numerical Aperture • Thenumerical aperture of the fiber is closely related to the critical angle and is often used in the specification for optical fiber and the components that work with it • The numerical aperture is given by the formula: • The Numerical Aperture (NA) is a measure of how much light can be collected by an optical system such as an optical fibre or a microscope lens. The NA is related to the acceptance angle a, which indicates the size of a cone of light that can be accepted by the fibre. NA = naSin a = (n1 2 – n2 2)1/2 Where n1 = refractive index of core n2 = refractive index of cladding na = refractive index of air (1.00) Dr Ajay N Phirke
  • 23.
    cladding n1 n2 core n2 cladding air a n2 n1 core The acceptance angle(i) is the largest incident angle ray that can be coupled into a guided ray within the fiber The Numerical Aperture (NA) is the sin(i) this is defined analogously to that for a lens Dr Ajay N Phirke
  • 24.
    Consider an opticalfibre having a core of refractive index n1 and cladding of refractive index n2. let the incident light makes an angle i with the core axis as shown in figure . Then the light gets refracted at an angle θ and fall on the core-cladding interface at an angle where, By Snell’s law at the point of entrance of light in to the optical fiber we get, Dr Ajay N Phirke
  • 25.
    When light travelsfrom core to cladding it moves from denser to rarer medium and so it may be totally reflected back to the core medium if  ‘ exceeds the critical angle 'c. The critical angle is that angle of incidence in denser medium (n1) for which angle of refraction become 90°. Using Snell’s laws at core cladding interface, or Therefore, for light to be propagated within the core of optical fiber as guided wave, the angle of incidence at core-cladding interface should be greater than 'c. As i increases,  increases and so ' decreases. Therefore, there is maximum value of angle of incidence beyond which, it does not propagate rather it is refracted in to cladding medium . This maximum value of i say im is called maximum angle of acceptance and n0 sin im is termed as the numerical aperture (NA).Dr Ajay N Phirke
  • 26.
    Dr Ajay NPhirke
  • 27.
    Fiber Types • Modesof operation (the path which the light is traveling on) • Index profile –Step –Graded Dr Ajay N Phirke
  • 28.
    Types Of OpticalFiber Single-mode step-index Fiber Multimode step-index Fiber Multimode graded-index Fiber n1 core n2 cladding no air n2 cladding n1 core Variable n no air Light ray Index profile Dr Ajay N Phirke
  • 29.
    Remember: A micron(short for micrometer) is one-millionth of a meter Dr Ajay N Phirke
  • 30.
    Single mode Fiber •Single mode fiber has a core diameter of 8 to 9 microns, which only allows one light path or mode – Images from arcelect.com (Link Ch 2a) Index of refraction Best for high speeds and long distances Used by telephone companies and CATVDr Ajay N Phirke
  • 31.
    Single mode fibers: Ina fiber, if only one mode is transmitted through it, then it is said to be a single mode fiber. A typical single mode fiber may have a core radius of 3 μm and a numerical aperture of 0.1 at a wavelength of 0.8 μm. The condition for the single mode operation is given by the V number of the fiber which is defined as such that V ≤ 2.405. Here, n1 = refractive index of the core; a = radius of the core; λ = wavelength of the light propagating through the fiber; Δ = relative refractive indices difference.    2π2 1an V  Dr Ajay N Phirke
  • 32.
    The single modefiber has the following characteristics:  Only one path is available.  V-number is less than 2.405  Core diameter is small  No dispersion  Higher band width (1000 MHz)  Used for long haul communication  Fabrication is difficult and costly Dr Ajay N Phirke
  • 33.
    SINGLE MODE FIBERMULTI MODE FIBER Dr Ajay N Phirke
  • 34.
     Multi modefibers :  If more than one mode is transmitted through optical fiber, then it is said to be a multimode fiber.  The larger core radii of multimode fibers make it easier to launch optical power into the fiber and facilitate the end to end connection of similar powers.  Some of the basic properties of multimode optical fibers are listed below :  More than one path is available  V-number is greater than 2.405 Dr Ajay N Phirke
  • 35.
    Countd. • Core diameteris higher • Higher dispersion • Lower bandwidth (50MHz) • Used for short distance communication • Fabrication is less difficult and not costly Optical fibers based on refractive index profile : Based on the refractive index profile of the core and cladding, the optical fibers are classified into two types: Step index fiber Graded index fiber. Dr Ajay N Phirke
  • 36.
    Basic Step indexFiber Structure Dr Ajay N Phirke
  • 37.
    Step index fiber:  In a step index fiber, the refractive index changes in a step fashion, from the centre of the fiber, the core, to the outer shell, the cladding.  It is high in the core and lower in the cladding. The light in the fiber propagates by bouncing back and forth from core-cladding interface.  The step index fibers propagate both single and multimode signals within the fiber core.  The light rays propagating through it are in the form of meridinal rays which will cross the fiber core axis during every reflection at the core – cladding boundary and are propagating in a zig – zag manner. Dr Ajay N Phirke
  • 38.
    Step index singlemode fibers :  The light energy in a single-mode fiber is concentrated in one mode only.  This is accomplished by reducing  and or the core diameter to a point where the V is less than 2.4.  In other words, the fiber is designed to have a V number between 0 and 2.4.  This relatively small value means that the fiber radius and , the relative refractive index difference, must be small.  No intermodal dispersion exists in single mode fibers because only one mode exists. Dr Ajay N Phirke
  • 39.
    Contd. • With carefulchoice of material, dimensions and l, the total dispersion can be made extremely small, less than 0.1 ps /(km  nm), making this fiber suitable for use with high data rates. • In a single-mode fiber, a part of the light propagates in the cladding. • The cladding is thick and has low loss. • Typically, for a core diameter of 10 m, the cladding diameter is about 120 m. • Handling and manufacturing of single mode step index fiber is more difficult. Dr Ajay N Phirke
  • 40.
    Step Index singlemode (10 / 70) Characteristics • Very small core diameter • Low numerical aperture • Low attenuation • Very High Bandwidth • Very high capacity • Very expensive • Need laser as a source Appl: Sea cable Dr Ajay N Phirke
  • 41.
    Step index multimodefibers :  A multimode step index fiber is shown.  In such fibers light propagates in many modes.  The total number of modes MN increases with increase in the numerical aperture.  For a larger number of modes, MN can be approximated by 2 1 2 2 9.4 2           dnV M N Dr Ajay N Phirke
  • 42.
    Contd. where d =diameter of the core of the fiber and V = V – number or normalized frequency. The normalized frequency V is a relation among the fiber size, the refractive indices and the wavelength. V is the normalized frequency or simply the V number and is given by where a is the fiber core radius,  is the operating wavelength, n1 the core refractive index and  the relative refractive index difference. 2 1 1 )2( 2 N.A 2                   n aa V Dr Ajay N Phirke
  • 43.
    Contd. To reduce thedispersion, the N.A should not be decreased beyond a limit for the following reasons: First, injecting light into fiber with low N.A becomes difficult. Lower N.A means lower acceptance angle, which requires the entering light to have a very shallow angle. Second, leakage of energy is more likely, and hence losses increase. The core diameter of the typical multimode fiber varies between 50 m and about 200 m, with cladding thickness typically equal to the core radius. Dr Ajay N Phirke
  • 44.
    Step index multimode(50-200 / 100-250) Characteristics • High core diameter • Large core size, so source power can be efficiently coupled to the fiber • High numerical aperture • High attenuation (4-6 dB / km) • Low bandwidth (50 MHz-km) • Less expensive • LED light source Used in short, low-speed datalinks Also useful in high-radiation environments, because it can be made with pure silica core Dr Ajay N Phirke
  • 45.
    Multimode Step-Index Fiber •Multimode fiber has a core diameter of 50 or 62.5 microns (sometimes even larger) – Allows several light paths or modes – This causes modal dispersion – some modes take longer to pass through the fiber than others because they travel a longer distance – See animation at link Ch 2f Index of refraction Dr Ajay N Phirke
  • 46.
    Graded index fibers:  In graded index fiber the refractive index n in the core varies as we move away from the centre.  The refractive index of the core is made to vary in the form of parabolic manner such that the maximum refractive index is present at the centre of the core. Dr Ajay N Phirke
  • 47.
    Contd.  Each dashedcircle represents a different refractive index, decreasing as we move away from the fiber center.  A ray incident on these boundaries between na – nb, nb – nc etc., is refracted.  Eventually at n2 the ray is turned around and totally reflected. Dr Ajay N Phirke
  • 48.
    Contd. • The lightrays will be propagated in the form skew rays (or) helical rays which will not cross the fiber axis at any time and are propagating around the fiber axis in a helical or spiral manner. • The effective acceptance angle of the graded-index fiber is somewhat less than that of an equivalent step-index fiber. This makes coupling fiber to the light source more difficult. Dr Ajay N Phirke
  • 49.
    The number ofmodes in a graded-index fiber is about half that in a similar step-index fiber, The lower the number of modes in the graded-index fiber results in lower dispersion than is found in the step-index fiber. For the graded-index fiber the dispersion is approximately (Here L = Length of the fiber; c = velocity of light). (Here L = Length of the fiber; c = velocity of light). Dr Ajay N Phirke
  • 50.
    Countd. • The sizeof the graded-index fiber is about the same as the step-index fiber. The manufacture of graded- index fiber is more complex. It is more difficult to control the refractive index well enough to produce accurately the variations needed for the desired index profile. Dr Ajay N Phirke
  • 51.
    Graded index multimode(50-200 /100-250) Characteristics • High core diameter 62.5/125 micron has been most widely used Works well with LEDs, but cannot be used for Gigabit Ethernet 50/125 micron fiber and VSELS are used for faster networks • Small numerical aperture • Low attenuation • Intermediate bandwidth • Most expensive • Laser / LED • Useful for “premises networks” like LANs, security systems, etc Dr Ajay N Phirke
  • 52.
    Sources and Wavelengths •Multimode fiber is used with – LED sources at wavelengths of 850 and 1300 nm for slower local area networks – Lasers at 850 and 1310 nm for networks running at gigabits per second or more Dr Ajay N Phirke
  • 53.
    Multimode Graded-Index Fiber •The index of refraction gradually changes across the core – Modes that travel further also move faster – This reduces modal dispersion so the bandwidth is greatly increased Index of refraction Dr Ajay N Phirke
  • 54.
    Single mode vs.Multimode Fibers Single-Mode Multimode • Small core • Less dispersion • Carry a single ray of light, usually generated from a laser. • Employ for long distance applications (100Km) • Uses as Backbone and distances of several thousands meters. • Larger core than single mode cable. • Allows greater dispersion and therefore, loss of signal. • Used for shorter distance application, but shorter than single- mode (up to 2Km) • It uses LED source that generates differtes angles along cable. • Often uses in LANs or small distances such as campus networks.Dr Ajay N Phirke
  • 55.
    Single-mode step-index Fiber Advantages: •Minimum dispersion: all rays take same path, same time to travel down the cable. A pulse can be reproduced at the receiver very accurately. • Less attenuation, can run over longer distance without repeaters. • Larger bandwidth and higher information rate Disadvantages: • Difficult to couple light in and out of the tiny core • Highly directive light source (laser) is required • Interfacing modules are more expensive Dr Ajay N Phirke
  • 56.
    Multi Mode • Multimodestep-index Fibers: – inexpensive – easy to couple light into Fiber – result in higher signal distortion – lower TX rate • Multimode graded-index Fiber: – intermediate between the other two types of Fibers Dr Ajay N Phirke
  • 57.
    • In Step-indexfibers index of refraction changes radically between the core and the cladding • Graded-index fiber is a compromise multimode fiber, but the index of refraction gradually decreases away from the center of the core • Graded-index fiber has less dispersion than a multimode step-index fiber Dr Ajay N Phirke
  • 58.
    Dr Ajay NPhirke
  • 59.
    Step-index and Graded-index •Step index multimode was developed first, but rare today because it has a low bandwidth (50 MHz-km) • It has been replaced by graded-index multimode with a bandwidth up to 2 GHz-km Dr Ajay N Phirke
  • 60.
    Dr Ajay NPhirke
  • 61.
    Fiber modes ---single mode and multi-mode fibers V-number ,2 2 2 1 2 2 2 nn nn b eff    ,)/996.01428.1( 2 Vb  ,)( 2 2/12 2 2 1 nn a V    ,41.2)( 2 2/12 2 2 1  nn a V c cutoff   Number of modes when V>>2.41 , 2 2 V M  Normalized propagation constant for V between 1.5 – 2.5. Mode field diameter (MFD) ), 1 1(22 V aw  An index value V, defined as the normalized frequency is used to determines how many different guided modes a fiber can support. Dr Ajay N Phirke
  • 62.
    Waveguide calculation ofFiber Mode • Here is fiber mode calculation based on Waveguide Calculation by Fiber Optics for Sale Company (USA) • V number determines the numbers of guided modes. • When V number is smaller than 2.405 only one mode can be guided by the fiber, this is called single mode fiber. • When V Numer is larger than 2.405 severals modes can be guided by the fiber. • As higer V number as larger number of modes, this is called Multimode Fiber Dr Ajay N Phirke
  • 63.
    Plastic Optical Fiber •Large core (1 mm) step-index multimode fiber • Easy to cut and work with, but high attenuation (1 dB / meter) makes it useless for long distances Dr Ajay N Phirke
  • 64.
    Fiber Optic Specifications •Attenuation – Loss of signal, measured in dB • Dispersion – Blurring of a signal, affects bandwidth • Bandwidth – The number of bits per second that can be sent through a data link • Numerical Aperture – Measures the largest angle of light that can be accepted into the core Dr Ajay N Phirke
  • 65.
    Dispersion  Chromatic Dispersion Speed of light is a function of wavelength  This phenomena also results in pulse widening  Single mode fibers have very little chromatic dispersion  Material Dispersion  Index of refraction is a function of wavelength  As the wavelength changes material dispersion varies  It is designed to have zero-material dispersion 1 2 3 Dr Ajay N Phirke
  • 66.
    Absorption Losses InOptic Fiber Loss(dB/km) 1 0 0.7 0.8 Wavelength (m) 0.9 1.0 1.1 1.2 1.3 1.4 1.5 1.6 1.7 2 3 4 5 6 Peaks caused by OH- ions Infrared absorption Rayleigh scattering & ultraviolet absorption Single-mode Fiber Wavelength Division Multiplexer (980/1550nm, 1310/1550nm, 1480/1550nm, 1550, 1625nm) Windows of operation: 825-875 nm 1270-1380 nm 1475-1525 nm Dr Ajay N Phirke
  • 67.
    Fiber Alignment Impairments Axialdisplacement Gap displacement Angular displacement Imperfect surface finish Causes of power loss as the light travels through the fiber! Dr Ajay N Phirke
  • 68.
    Areas of Application •Telecommunications • Local Area Networks • Cable TV • CCTV • Optical Fiber Sensors Dr Ajay N Phirke
  • 69.
    Fiber to theHome http://www.noveraoptics.com/technology/fibertohome.php Dr Ajay N Phirke
  • 70.
    Fiber to theHome • Applications: – HDTV (20 MB/s ) – on average three channels per family! – telephony, internet surfing, and real-time gaming the access network (40 Mb/s) – Total dedicated bandwidth: 100 Mb/s  Components (single-mode fiber optic distribution network) – optical line terminal (OLT) – central office (CO) – passive remote node (RN), – optical network terminals (ONT) at the home locations Dr Ajay N Phirke
  • 71.
    Dr Ajay NPhirke
  • 72.
    Dispersion • Dispersion infiber optics results from the fact that in multimode propagation, the signal travels faster in some modes than it would in others • Single-mode fibers are relatively free from dispersion except for intramodal dispersion • Graded-index fibers reduce dispersion by taking advantage of higher-order modes • One form of intramodal dispersion is called material dispersion because it depends upon the material of the core • Another form of dispersion is called waveguide dispersion • Dispersion increases with the bandwidth of the light sourceDr Ajay N Phirke
  • 73.
  • 74.
    Losses • Losses inoptical fiber result from attenuation in the material itself and from scattering, which causes some light to strike the cladding at less than the critical angle • Bending the optical fiber too sharply can also cause losses by causing some of the light to meet the cladding at less than the critical angle • Losses vary greatly depending upon the type of fiber – Plastic fiber may have losses of several hundred dB per kilometer – Graded-index multimode glass fiber has a loss of about 2–4 dB per kilometer – Single-mode fiber has a loss of 0.4 dB/km or lessDr Ajay N Phirke
  • 75.
    Dr Ajay NPhirke
  • 76.
    Dr Ajay NPhirke
  • 77.
    Attenuation • Modern fibermaterial is very pure, but there is still some attenuation • The wavelengths used are chosen to avoid absorption bands – 850 nm, 1300 nm, and 1550 nm – Plastic fiber uses 660 nm LEDs • Image from iec.org (Link Ch 2n) Dr Ajay N Phirke
  • 78.
    • Fiber hasthese advantages compared with metal wires – Bandwidth – more data per second – Longer distance – Faster – Special applications like medical imaging and quantum key distribution are only possible with fiber because they use light directly Dr Ajay N Phirke
  • 79.
    Dr Ajay NPhirke
  • 80.
    Solved Problem (1): Calculate the V – number and number of modes propagating through the fiber having a = 50 μm, n1 = 1. 53, n2 = 1.50 and λ = 1μm. n1 = 1.53 ; n2 = 1.50; λ = 1μm.   1 2 a 2 a 2 2 2V - Number N.A (n n )1 2 1 2 3.142 50 2 2 21.53 1.50 1 94.72                           4486 2 72.94 2 22  V M N V – number = 94.72 ; No. of modes = 4486 Dr Ajay N Phirke
  • 81.
    Dr Ajay NPhirke